Mechanical Engineering Exam  >  Mechanical Engineering Notes  >  Design of Machine Elements  >  GATE Past Year Questions: Bolted, Riveted & Welded Joint

GATE Past Year Questions: Bolted, Riveted & Welded Joint | Design of Machine Elements - Mechanical Engineering PDF Download

Q1: A bracket is attached to a vertical column by means of two identical rivets U and V separated by a distance of 2 a = 100 mm , as shown in the figure. The permissible shear stress of the rivet material is 50MPa. If a load P = 10 kN  is applied at an eccentricity e = 3 √7 a , the minimum crosssectional area of each of the rivets to avoid failure is ___________ mm[GATE ME 2022, SET-1]
GATE Past Year Questions: Bolted, Riveted & Welded Joint | Design of Machine Elements - Mechanical Engineering(a) 800
(b) 25
(c) 100√7
(d) 200
Ans: 
(a)
The given load is eccentric lateral load which results in
(i) primary shear due to direct loading
(ii) secondary shear due to eccentricity
(i) Primary shear:
GATE Past Year Questions: Bolted, Riveted & Welded Joint | Design of Machine Elements - Mechanical Engineering
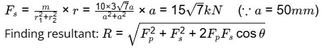
(ii) Secondary shear:

GATE Past Year Questions: Bolted, Riveted & Welded Joint | Design of Machine Elements - Mechanical Engineering
Here, θ is 90°
As secondary load is same on both rivets. Both are critical due to loading.
GATE Past Year Questions: Bolted, Riveted & Welded Joint | Design of Machine Elements - Mechanical Engineering

As FOS is considered as 1, A represents the minimum cross section area required.


Q2: A square threaded screw is used to lift a load W by applying a force F. Efficiency of square threaded screw is expressed as   [GATE ME 2022, SET-1]
(a) The ratio of work done by W per revolution to work done by F per revolution
(b) W/F

(c) F/W
(d) The ratio of work done by F per revolution to work done by W per revolution
Ans: 
(a) 
Screw efficiency= Work done in lifting the load/rev/Work done by the applied force/rev
Efficiency of screw jack η = tan α/tan ⁡( α + ϕ )


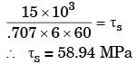
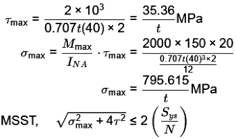
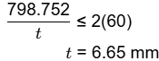
Q1: A cantilever beam of rectangular cross-section is welded to a support by means of two fillet welds as shown in figure. A vertical load of 2 kN acts at free end of the beam.  [GATE ME 2021
GATE Past Year Questions: Bolted, Riveted & Welded Joint | Design of Machine Elements - Mechanical Engineering

Considering that the allowable shear stress in weld is 60 N/mm 2 , the minimum size (leg) of the weld required is _______-mm (round off to one decimal place).
Ans: (6.4 to 6.9)
GATE Past Year Questions: Bolted, Riveted & Welded Joint | Design of Machine Elements - Mechanical Engineering
GATE Past Year Questions: Bolted, Riveted & Welded Joint | Design of Machine Elements - Mechanical Engineering


Q1: A bolt head has to be made at the end of a rod of diameter d = 12 mm by localized forging (upsetting) operation. The length of the unsupported portion of the rod is 40 mm. To avoid buckling of the rod, a closed forging operation has to be performed with a maximum die diameter of ________ mm.  [GATE ME 2020, SET-2]
Ans:
(18 to 19.5)
If l >3d then
Die dia  =1.5d 
=1.5 (12) 
=18mm  


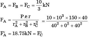
Q2: A rectangular steel bar of length 500 mm, width 100 mm, and thickness 15 mm is cantilevered to a 200 mm steel channel using 4 bolts, as shown.  [GATE ME 2020, SET-1]

GATE Past Year Questions: Bolted, Riveted & Welded Joint | Design of Machine Elements - Mechanical Engineering

Ans: (15.9 to 16.1)
GATE Past Year Questions: Bolted, Riveted & Welded Joint | Design of Machine Elements - Mechanical Engineering

GATE Past Year Questions: Bolted, Riveted & Welded Joint | Design of Machine Elements - Mechanical Engineering

Question for GATE Past Year Questions: Bolted, Riveted & Welded Joint
Try yourself:A 60 mm long and 6 mm thick fillet weld carries a steady load of 15 kN along the weld. The shear strength of the weld material is equal to 200 MPa.

The factor of safety is

[2006]

View Solution

Question for GATE Past Year Questions: Bolted, Riveted & Welded Joint
Try yourself:Weldments in fabricated steel be ams are designed for

[1987]

View Solution

Question for GATE Past Year Questions: Bolted, Riveted & Welded Joint
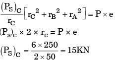
Try yourself:A single riveted lap Joint of two similar plates as shown in the figure below has the following geometrical and material details.
GATE Past Year Questions: Bolted, Riveted & Welded Joint | Design of Machine Elements - Mechanical Engineering
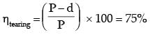
width of the plate ω = 200 mm, thickness of the plate t = 5 mm, number of rivets n = 3, diameter of the rivet dr = 10 mm, diameter of the rivet hole dr = 11 M mm, allowable tensile stress of the plate σp = 200 MPa, allowable shear stress of the rivet σs = 100 MPa and allowable bearing stress of the rivet σc = 150 MPa.

If the plates are to be designed to avoid tearing failure, the maximum permissible load P in kN is

[2013]

View Solution

Question for GATE Past Year Questions: Bolted, Riveted & Welded Joint
Try yourself:A single riveted lap Joint of two similar plates as shown in the figure below has the following geometrical and material details.
GATE Past Year Questions: Bolted, Riveted & Welded Joint | Design of Machine Elements - Mechanical Engineering
width of the plate ω = 200 mm, thickness of the plate t = 5 mm, number of rivets n = 3, diameter of the rivet dr = 10 mm, diameter of the rivet hole dr = 11 M mm, allowable tensile stress of the plate σp = 200 MPa, allowable shear stress of the rivet σs = 100 MPa and allowable bearing stress of the rivet σc = 150 MPa.

If the rivets are to be designed to avoid crushing failure, the maximum permissible load P in kN is

[2013]

View Solution

Question for GATE Past Year Questions: Bolted, Riveted & Welded Joint
Try yourself:A bracket (shown in figure) is rigidly mounted on wall using four rivets. Each rivet is 6 mm in diameter and has an effective length of 12 mm.
GATE Past Year Questions: Bolted, Riveted & Welded Joint | Design of Machine Elements - Mechanical Engineering
Direct shear stress (in MPa) in the most heavily loaded rivet is
View Solution

Question for GATE Past Year Questions: Bolted, Riveted & Welded Joint
Try yourself:If the ratio of the diameter of rivet hole to the pitch of rivets is 0.25, then the tearing efficiency of the Joint is

[1996]

View Solution

Question for GATE Past Year Questions: Bolted, Riveted & Welded Joint
Try yourself:Pre-tensioning of a bolted Joint is used to

[2018, Set-2]

View Solution

Question for GATE Past Year Questions: Bolted, Riveted & Welded Joint
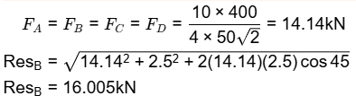
Try yourself:A steel plate, connected to a fixed Channel using three identical bolts A, B and C, carries a load of 6 kN as shown in the figure.
GATE Past Year Questions: Bolted, Riveted & Welded Joint | Design of Machine Elements - Mechanical Engineering
Considering the effect of direct load and moment, the magnitude of resultant shear force (in kN) on bolt C is

[2017, Set-2]

View Solution

Question for GATE Past Year Questions: Bolted, Riveted & Welded Joint
Try yourself:For the three bolt system shown in the figure, the bolt material has shear yield strength of 200 MPa. For a factor of safety of 2, the minimum metric specification required for the bolt is

GATE Past Year Questions: Bolted, Riveted & Welded Joint | Design of Machine Elements - Mechanical Engineering

[2014, Set-2]

View Solution

Question for GATE Past Year Questions: Bolted, Riveted & Welded Joint
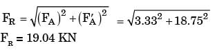
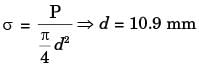
Try yourself:A steel bar of 10 × 50 mm is cantilevered with two M12 bolts (P and Q) to support a static load of 4 kN as shown in the figure.
GATE Past Year Questions: Bolted, Riveted & Welded Joint | Design of Machine Elements - Mechanical Engineering

The resultant shear stress on bolt P is closest to:

[2008]

View Solution

Question for GATE Past Year Questions: Bolted, Riveted & Welded Joint
Try yourself:A steel bar of 10 × 50 mm is cantilevered with two M12 bolts (P and Q) to support a static load of 4 kN as shown in the figure.
GATE Past Year Questions: Bolted, Riveted & Welded Joint | Design of Machine Elements - Mechanical Engineering

The primary and secondary shear loads on bolt P, respectively, are

View Solution

Question for GATE Past Year Questions: Bolted, Riveted & Welded Joint
Try yourself:A bolted Joint is shown below. The maximum shear stress, in MPa, in the bolts at A and B, respectively are
GATE Past Year Questions: Bolted, Riveted & Welded Joint | Design of Machine Elements - Mechanical Engineering

[2007]

View Solution

Question for GATE Past Year Questions: Bolted, Riveted & Welded Joint
Try yourself:In a bolted Joint two smooth members are connected with an axial tightening force of 2200 N. If the bolt used has metric threads of 4 mm pitch, the torque required for achieving the tightening force is

GATE Past Year Questions: Bolted, Riveted & Welded Joint | Design of Machine Elements - Mechanical Engineering

[2004]

View Solution

Question for GATE Past Year Questions: Bolted, Riveted & Welded Joint
Try yourself:Bolts in the flanged end of pressure vessel are usually pre-tensioned. Indicate which of the following statements is true

[1998]

View Solution

Question for GATE Past Year Questions: Bolted, Riveted & Welded Joint
Try yourself:The bolts in a rigid flanged coupling connecting two shafts transmitting power are subjected to

[1996]

View Solution

The document GATE Past Year Questions: Bolted, Riveted & Welded Joint | Design of Machine Elements - Mechanical Engineering is a part of the Mechanical Engineering Course Design of Machine Elements.
All you need of Mechanical Engineering at this link: Mechanical Engineering
49 videos|107 docs|77 tests

FAQs on GATE Past Year Questions: Bolted, Riveted & Welded Joint - Design of Machine Elements - Mechanical Engineering

1. What is the difference between a bolted joint and a riveted joint?
Ans. A bolted joint is formed by using bolts and nuts, whereas a riveted joint is formed by using rivets. The main difference between the two is that in a bolted joint, the bolts can be easily removed and the joint can be disassembled, while in a riveted joint, the rivets are permanently fixed and cannot be easily removed.
2. What are the advantages of using a welded joint over a bolted or riveted joint?
Ans. Welded joints have several advantages over bolted or riveted joints. Firstly, welded joints are stronger and more rigid, providing better load transfer between the joined parts. Secondly, welded joints are more resistant to fatigue and vibration, making them suitable for high-stress applications. Additionally, welded joints have a streamlined appearance and do not require additional fasteners, reducing manufacturing and assembly costs.
3. How can the strength of a bolted joint be improved?
Ans. The strength of a bolted joint can be improved by using larger diameter bolts, increasing the number of bolts, or using higher strength bolts. Additionally, using proper torque during bolt tightening and ensuring even distribution of the load can help improve the joint's strength. It is also important to choose the correct bolt material and surface treatment to minimize the risk of corrosion or failure.
4. What are the limitations of a riveted joint?
Ans. Riveted joints have some limitations compared to other types of joints. Firstly, the process of riveting requires skilled labor and specialized equipment, making it more time-consuming and costly. Secondly, riveted joints are not easily disassembled or adjusted, making them less suitable for applications that require frequent maintenance or changes. Lastly, riveted joints are more prone to corrosion at the rivet holes, which can weaken the joint over time.
5. Can a bolted joint be converted to a welded joint?
Ans. In some cases, a bolted joint can be converted to a welded joint. This conversion usually involves removing the bolts and replacing them with welds to permanently join the parts together. However, it is important to consider factors such as the material compatibility, structural integrity, and load requirements before making such a conversion. It is recommended to consult with a qualified engineer or follow relevant design codes and standards when considering a joint conversion.
Related Searches

GATE Past Year Questions: Bolted

,

Sample Paper

,

study material

,

ppt

,

Objective type Questions

,

Viva Questions

,

past year papers

,

Semester Notes

,

Free

,

pdf

,

video lectures

,

GATE Past Year Questions: Bolted

,

shortcuts and tricks

,

Exam

,

mock tests for examination

,

Previous Year Questions with Solutions

,

practice quizzes

,

Riveted & Welded Joint | Design of Machine Elements - Mechanical Engineering

,

Important questions

,

MCQs

,

Extra Questions

,

Summary

,

Riveted & Welded Joint | Design of Machine Elements - Mechanical Engineering

,

Riveted & Welded Joint | Design of Machine Elements - Mechanical Engineering

,

GATE Past Year Questions: Bolted

;