Mechanical Engineering Exam  >  Mechanical Engineering Notes  >  Design of Machine Elements  >  GATE Past Year Questions: Brakes, Clutches & Ropes

GATE Past Year Questions: Brakes, Clutches & Ropes | Design of Machine Elements - Mechanical Engineering PDF Download

Q1: A band brake shown in the figure has a coefficient of friction of 0.3 . The band can take a maximum force of 1.5kN. The maximum braking force (F) that can be safely applied is _____ N. (rounded off the nearest integer).  [GATE ME 2024]
GATE Past Year Questions: Brakes, Clutches & Ropes | Design of Machine Elements - Mechanical EngineeringAns:
115 to 119
Data given, μ = 0.3
F = 1.5kN = 1500 N
θ = 180º = π
F.B.D. of system is
GATE Past Year Questions: Brakes, Clutches & Ropes | Design of Machine Elements - Mechanical Engineering∑M0 = 0
F × 1000 − T2 × 200 = 0
F = T2/5
GATE Past Year Questions: Brakes, Clutches & Ropes | Design of Machine Elements - Mechanical Engineering
T2 = 584.492 N
So, F = GATE Past Year Questions: Brakes, Clutches & Ropes | Design of Machine Elements - Mechanical Engineering
= 116.9 N ≈ 117 N

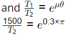
Q1: The braking system shown in the figure uses a belt to slow down a pulley rotating in the clockwise direction by the application of a force P. The belt wraps around the pulley over an angle α = 270 degrees. The coefficient of friction between the belt and the pulley is 0.3. The influence of centrifugal forces on the belt is negligible.
During braking, the ratio of the tensions T1 to T2 in the belt is equal to __________. (Rounded off to two decimal places)
Take π = 3.14.  [GATE ME 2023]
GATE Past Year Questions: Brakes, Clutches & Ropes | Design of Machine Elements - Mechanical EngineeringAns:
4.05 to 4.15
μ = 0.3
α = 270º = 3π/2
T1/T2 = eμα 
So, GATE Past Year Questions: Brakes, Clutches & Ropes | Design of Machine Elements - Mechanical Engineering

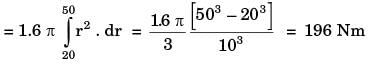
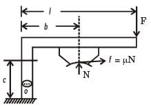
Q1: A short shoe drum (radius 260 mm) brake is shown in the figure. A force of 1 kN is applied to the lever. The coefficient of friction is 0.4.
GATE Past Year Questions: Brakes, Clutches & Ropes | Design of Machine Elements - Mechanical EngineeringThe magnitude of the torque applied by the brake is ________N.m (round off to one decimal place).    [GATE ME 2021 SET-1]
Ans:
199 to 201
GATE Past Year Questions: Brakes, Clutches & Ropes | Design of Machine Elements - Mechanical EngineeringTaking moment about 'O'
RN(500) + Fγ[310 − 260] - 1000 x 1000 = 0
RN(500) + 0.4(RN)(50) - 1000 x 1000 = 0
RN = 1923.076 N
Fr = µR= 769.23 N
Tf = Fr x R = 200 N - m

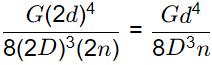
Q1: A helical spring has spring constant k. If the wire diameter, spring diameter and the number of coils are all doubled then the spring constant of the new spring becomes   [GATE ME 2020 SET-2]
(a) k/2
(b) k
(c) 8k
(d) 16k
Ans: (b)
k(sping ) = Gd4/8D3n
knew = GATE Past Year Questions: Brakes, Clutches & Ropes | Design of Machine Elements - Mechanical Engineering

Hence knew = k

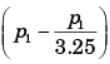
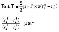
Q2: In a disc-type axial clutch, the frictional contact takes place within an annular region with outer and inner diameters 250 mm and 50 mm, respectively. An axial force F1 is needed to transmit a torque by a new clutch. However, to transmit the same torque, one needs an axial force F2 when the clutch wears out. If contact pressure remains uniform during operation of a new clutch while the wear is assumed to be uniform for an old clutch and the coefficient of friction does not change, then the ratio F1/F2 is_________ (round off to 2 decimal places).  [GATE ME 2020 SET-1]
Ans:
0.85 to 0.89
T = μW × Rm
Tnew μ × W × Rnew
Tnew μ × Wnew x GATE Past Year Questions: Brakes, Clutches & Ropes | Design of Machine Elements - Mechanical Engineering

Todd = μ × W × Rold
Tnew = Tdd
Wnew GATE Past Year Questions: Brakes, Clutches & Ropes | Design of Machine Elements - Mechanical Engineering

GATE Past Year Questions: Brakes, Clutches & Ropes | Design of Machine Elements - Mechanical Engineering = 0.871

Question for GATE Past Year Questions: Brakes, Clutches & Ropes
Try yourself:A wire rope is designated as 6 x 19 standard hoisting. The numbers 6 × 19 represent

[2003]

View Solution

Question for GATE Past Year Questions: Brakes, Clutches & Ropes
Try yourself:A clutch has outer and inner diameters 100 mm and 40 mm respectively. Assuming a uniform pressure of 2 MPa and coefficient of friction of liner material 0.4, the torque carrying capacity of the clutch is

[2008]

View Solution

Question for GATE Past Year Questions: Brakes, Clutches & Ropes
Try yourself:A disk clutch is required to transmit 5 kW at 2000 rpm. The disk has a friction lining with coefficient of friction equal to 0.25. Bore radius of friction lining is equal to 25 mm. Assume uniform contact pressure of 1 MPa. The value of outside radius of the friction lining is

[2006]

View Solution

Question for GATE Past Year Questions: Brakes, Clutches & Ropes
Try yourself:Axial operation claw clutches having selflocking tooth profile

[1987]

View Solution

Question for GATE Past Year Questions: Brakes, Clutches & Ropes
Try yourself:For the brake shown in the figure, which one of the following is TRUE?
GATE Past Year Questions: Brakes, Clutches & Ropes | Design of Machine Elements - Mechanical Engineering

 [2016,Set-2]

 

View Solution

Question for GATE Past Year Questions: Brakes, Clutches & Ropes
Try yourself:A force of 400 N is applied to the brake drum of 0.5 m diameter in a band brake system as shown in figure, where the wrapping angle is 180°. If the coefficient of friction between the drum and the band is 0.25, the braking torque applied, in Nm is
GATE Past Year Questions: Brakes, Clutches & Ropes | Design of Machine Elements - Mechanical Engineering

[2012]

View Solution

Question for GATE Past Year Questions: Brakes, Clutches & Ropes
Try yourself:A band brake having bandwidth of 80 mm, drum diameter of 250 mm, coefficient of friction of 0.25 and angle of wrap of 270 degrees is required to exert a friction torque of 1000 N m.The maximum tension (in kN) developed in the band is

[2010]

View Solution

Question for GATE Past Year Questions: Brakes, Clutches & Ropes
Try yourself:A block-brake shown below has a face width of 300 mm and a mean coefficient of friction of 0.25. For an activating force of 400 N, the braking torque in Nm is

GATE Past Year Questions: Brakes, Clutches & Ropes | Design of Machine Elements - Mechanical Engineering

[2007]

View Solution

Question for GATE Past Year Questions: Brakes, Clutches & Ropes
Try yourself:In a band brake the ratio of tight side band tension to the tension on the slack side is 3. If the angle of overlap of band on the drum is 180°, the coefficient of friction required between drum and the band is

[2003]

View Solution

The document GATE Past Year Questions: Brakes, Clutches & Ropes | Design of Machine Elements - Mechanical Engineering is a part of the Mechanical Engineering Course Design of Machine Elements.
All you need of Mechanical Engineering at this link: Mechanical Engineering
51 videos|102 docs|77 tests

FAQs on GATE Past Year Questions: Brakes, Clutches & Ropes - Design of Machine Elements - Mechanical Engineering

1. What are the main types of brakes used in mechanical systems?
Ans. The main types of brakes used in mechanical systems include disc brakes, drum brakes, hydraulic brakes, air brakes, and electromagnetic brakes. Each type operates on different principles and is suited for specific applications, such as automotive braking, industrial machinery, or aerospace systems.
2. How do clutches function in mechanical systems?
Ans. Clutches function by connecting and disconnecting the engine power to the transmission in vehicles. They allow for smooth engagement and disengagement of gears, enabling the driver to change gears without damaging the transmission. The most common types of clutches include friction clutches, hydraulic clutches, and electromagnetic clutches.
3. What are the key factors to consider when designing a brake system?
Ans. Key factors to consider when designing a brake system include the type of vehicle or machinery, the maximum load and speed, the required stopping distance, heat dissipation, material selection for components, and safety standards. Additionally, environmental conditions and maintenance requirements should also be taken into account.
4. What is the importance of friction in clutches and brakes?
Ans. Friction is crucial in clutches and brakes as it provides the necessary force to engage or disengage components. In brakes, friction converts kinetic energy into thermal energy, slowing down or stopping the vehicle. In clutches, friction allows for the transfer of torque between the engine and transmission. Proper material selection and surface treatment are vital to ensure effective friction performance.
5. How do ropes transmit force in mechanical applications?
Ans. Ropes transmit force in mechanical applications through tension. They can be used to lift, pull, or secure loads and are often employed in systems like pulleys and winches. The effectiveness of rope systems depends on factors such as the material, diameter, length, and the angle of application of the force. Proper knotting and rigging techniques are essential for safe and effective use.
Related Searches

Objective type Questions

,

GATE Past Year Questions: Brakes

,

pdf

,

GATE Past Year Questions: Brakes

,

mock tests for examination

,

GATE Past Year Questions: Brakes

,

Clutches & Ropes | Design of Machine Elements - Mechanical Engineering

,

Viva Questions

,

Previous Year Questions with Solutions

,

video lectures

,

Sample Paper

,

ppt

,

Summary

,

Free

,

Extra Questions

,

MCQs

,

Exam

,

Clutches & Ropes | Design of Machine Elements - Mechanical Engineering

,

Clutches & Ropes | Design of Machine Elements - Mechanical Engineering

,

Important questions

,

shortcuts and tricks

,

study material

,

past year papers

,

practice quizzes

,

Semester Notes

;