Mechanical Engineering Exam  >  Mechanical Engineering Notes  >  Design of Machine Elements  >  GATE Past Year Questions: Fatigue Strength & S-N Diagram

GATE Past Year Questions: Fatigue Strength & S-N Diagram | Design of Machine Elements - Mechanical Engineering PDF Download

Q1: The S-N curve from a fatigue test for steel is shown. Which one of the options gives the endurance limit?  [GATE ME 2023]
GATE Past Year Questions: Fatigue Strength & S-N Diagram | Design of Machine Elements - Mechanical Engineering(a)Sut
(b) S2
(c) S3
(d) S4
Ans: 
(d) 
For some ferrous (iron base) and titanium alloys, the S-N curve becomes horizontal at higher N values; or there is a limiting stress level, called the fatigue limit (also sometimes the endurance limit), below which fatigue will not occur. This fatigue limit represents the largest value of fluctuating stress that will not cause failure for essentially an infinite number of cycles. For many steels, fatigue limits range between 35% and 60% of the tensile strength.
GATE Past Year Questions: Fatigue Strength & S-N Diagram | Design of Machine Elements - Mechanical Engineering


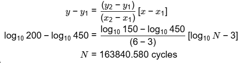
Q1: The figure shows the relationship between fatigue strength (S) and fatigue life (N) of a material. The fatigue strength of the material for a life of 1000 cycles is 450 MPa, while its fatigue strength for a life of 10 6 cycles is 150 MPa.  [GATE ME 2021, SET-2]

GATE Past Year Questions: Fatigue Strength & S-N Diagram | Design of Machine Elements - Mechanical Engineering

The life of a cylindrical shaft made of this material subjected to an alternating stress of 200 MPa will then be cycles (round off to the nearest integer).
Ans: 
(152000 to 165000)

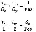
GATE Past Year Questions: Fatigue Strength & S-N Diagram | Design of Machine Elements - Mechanical EngineeringEquation of line GATE Past Year Questions: Fatigue Strength & S-N Diagram | Design of Machine Elements - Mechanical Engineering
GATE Past Year Questions: Fatigue Strength & S-N Diagram | Design of Machine Elements - Mechanical Engineering

Question for GATE Past Year Questions: Fatigue Strength & S-N Diagram
Try yourself:Endurance limit of a beam subjected to pure bending decreases with

[2019 , Set 2]

View Solution

Question for GATE Past Year Questions: Fatigue Strength & S-N Diagram
Try yourself:A cylindrical shaft is subjected to an alternating stress of 100 MPa. Fatigue strength to sustain 1000 cycles is 490 MPa. If the corrected endurance strength is 70 MPa, estimated shaft life will be

[2006]

View Solution

Question for GATE Past Year Questions: Fatigue Strength & S-N Diagram
Try yourself:The S-N curve for steel becomes asymptotic nearly at

[2004]

View Solution

Question for GATE Past Year Questions: Fatigue Strength & S-N Diagram
Try yourself:In terms of theoretical stress concentration factor kt and fatigue stress concentration factor kt, the notch sensitivity q is expressed as

[2004]

View Solution

Question for GATE Past Year Questions: Fatigue Strength & S-N Diagram
Try yourself:Which one of the following is the most conservation fatigue failure criterion?

[2015, Set-1]

View Solution

Question for GATE Past Year Questions: Fatigue Strength & S-N Diagram
Try yourself:A static load is mounted at the centre of a shaft rotating at uniform angular velocity. This shaft will be designed for

[2002]

View Solution

Question for GATE Past Year Questions: Fatigue Strength & S-N Diagram
Try yourself:The yield strength of a steel shaft is twice its endurance limit. Which of the following torque fluctuations represent the most critical situation according to Soderberg criterion?

[1993]

View Solution

Question for GATE Past Year Questions: Fatigue Strength & S-N Diagram
Try yourself:The process of shot peening increases the fatigue life of steel springs mainly because it results in

[1990]

View Solution

Question for GATE Past Year Questions: Fatigue Strength & S-N Diagram
Try yourself:Stress concentration in a machine component of a ductile material is not so harmful as it is in a brittle material because

[1989]

View Solution

Question for GATE Past Year Questions: Fatigue Strength & S-N Diagram
Try yourself:A ductile material having an endurance limit of 196 N/mm2 and the yield point at 294 N/mm2 is stressed under variable load. The maximum and minimum stresses are 147 N/mm2 and 49 N/mm2. The fatigue stress concentration factor is 1.32. The available factor of safety for this loading is

[1987]

View Solution

The document GATE Past Year Questions: Fatigue Strength & S-N Diagram | Design of Machine Elements - Mechanical Engineering is a part of the Mechanical Engineering Course Design of Machine Elements.
All you need of Mechanical Engineering at this link: Mechanical Engineering
51 videos|102 docs|77 tests

FAQs on GATE Past Year Questions: Fatigue Strength & S-N Diagram - Design of Machine Elements - Mechanical Engineering

1. What is fatigue strength in mechanical engineering?
Ans. Fatigue strength refers to the maximum stress level that a material can withstand for a given number of stress cycles before failure occurs due to fatigue. It is an important parameter in mechanical engineering as it helps determine the durability and reliability of components subjected to cyclic loading.
2. How is fatigue strength determined for a material?
Ans. Fatigue strength is determined through experimental testing using an S-N diagram. The S-N diagram is a plot of stress amplitude (S) against the number of stress cycles to failure (N). By subjecting the material to different stress amplitudes and counting the number of cycles until failure, the fatigue strength can be determined.
3. What is an S-N diagram and how is it used in mechanical engineering?
Ans. An S-N diagram, also known as a fatigue curve or Wöhler curve, is a graphical representation of the relationship between stress amplitude (S) and the number of stress cycles to failure (N). It is used in mechanical engineering to characterize the fatigue behavior of a material and determine its endurance limit, fatigue strength, and fatigue life under cyclic loading conditions.
4. What factors affect the fatigue strength of a material?
Ans. Several factors influence the fatigue strength of a material, including stress concentration, surface finish, temperature, and mean stress. Stress concentration can cause localized high stress areas, reducing the fatigue strength. Surface finish affects the initiation and propagation of fatigue cracks. Temperature can affect the material's microstructure and its resistance to fatigue. Mean stress, which is the average stress over a stress cycle, can also significantly affect fatigue strength.
5. How can the fatigue strength of a component be improved in mechanical engineering?
Ans. There are several ways to improve the fatigue strength of a component. These include using materials with higher fatigue limits, reducing stress concentrations through design modifications, improving surface finish to reduce stress concentration, applying surface treatments like shot peening to introduce compressive residual stresses, and controlling the operating temperature to minimize the effect on the material's fatigue resistance. Additionally, proper maintenance and inspection practices can help identify and address any potential fatigue-related issues before failure occurs.
Related Searches

GATE Past Year Questions: Fatigue Strength & S-N Diagram | Design of Machine Elements - Mechanical Engineering

,

GATE Past Year Questions: Fatigue Strength & S-N Diagram | Design of Machine Elements - Mechanical Engineering

,

pdf

,

Important questions

,

video lectures

,

MCQs

,

Semester Notes

,

past year papers

,

Objective type Questions

,

practice quizzes

,

Summary

,

Extra Questions

,

GATE Past Year Questions: Fatigue Strength & S-N Diagram | Design of Machine Elements - Mechanical Engineering

,

shortcuts and tricks

,

Sample Paper

,

mock tests for examination

,

study material

,

Previous Year Questions with Solutions

,

ppt

,

Free

,

Viva Questions

,

Exam

;