Mechanical Engineering Exam  >  Mechanical Engineering Notes  >  Fluid Mechanics for Mechanical Engineering  >  GATE Past Year Questions: Flow Through Pipes

GATE Past Year Questions: Flow Through Pipes | Fluid Mechanics for Mechanical Engineering PDF Download

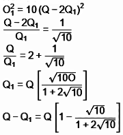
Q1: In the pipe network shown in the figure, all pipes have the same cross-section and can be assumed to have the same friction factor. The pipes connecting points W,N and S  with point J have an equal length L . The pipe connecting points J and E E has a length  10 L. The pressure at the ends  N, E and S  are equal. The flow rate in the pipe connecting W and J is Q. Assume that the fluid flow is steady, incompressible, and the pressure losses at the pipe entrance and junction are negligible. Consider the following statements: 
I. The flow rate in pipe connecting J and  E is Q/21. 
II. The pressure difference between J and N  is equal to the pressure difference between J and  E. 
Which one of the following options is CORRECT?  [GATE ME 2024]
GATE Past Year Questions: Flow Through Pipes | Fluid Mechanics for Mechanical Engineering(a) I is True and II is False
(b) I is False and II is True
(c) Both I and II are True
(d) Both I and II are False

Ans: (b)GATE Past Year Questions: Flow Through Pipes | Fluid Mechanics for Mechanical Engineering

Due to symmetry ( PN = PS ) and equal length and friction factor flow distributed in JN and JS will be same. Let it be Q1
From continuity, flow in J E =(Q − 2O1)
PN = PE = PS [Given]
GATE Past Year Questions: Flow Through Pipes | Fluid Mechanics for Mechanical Engineering
From (A) and (B),
GATE Past Year Questions: Flow Through Pipes | Fluid Mechanics for Mechanical Engineering
GATE Past Year Questions: Flow Through Pipes | Fluid Mechanics for Mechanical Engineering
Hence, correct option is I is False and II is true.


Q1: A high velocity water jet of cross section area = 0.01 m2 and velocity = 35 m /s enters a pipe filled with stagnant water. The diameter of the pipe is 0.32 m. This high velocity water jet entrains additional water from the pipe and the total water leaves the pipe with a velocity 6m/s as shown in the figure. [GATE ME 2021, SET-2]
GATE Past Year Questions: Flow Through Pipes | Fluid Mechanics for Mechanical EngineeringThe flow rate of entrained water is _______litres/s (round off to two decimal places).
Ans:
(130 to 134)
Applying continuity equation:
35 x 0.01 + q = 6 x π/4 x 0.322
q = 0.13255 m3/s
q = 132.55 lit/s


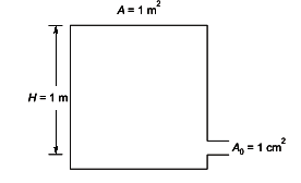
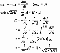
Q1: Water flows out from a large tank of cross-sectional area At = 1m2 through a small rounded orifice of cross-sectional area A0  = 1cm 2 , located at y = 0. Initially the water level, measured from y = 0, is H = 1m. The acceleration due to gravity is 9.8 m/s2 . [GATE ME 2021, SET-2]
GATE Past Year Questions: Flow Through Pipes | Fluid Mechanics for Mechanical Engineering

Neglecting any losses, the time taken by water in the tank to reach a level of y = H /4 is ________seconds (round off to one decimal place).
Ans: (2257 to 2259)GATE Past Year Questions: Flow Through Pipes | Fluid Mechanics for Mechanical EngineeringGATE Past Year Questions: Flow Through Pipes | Fluid Mechanics for Mechanical Engineering
t = 22.58 s

Question for GATE Past Year Questions: Flow Through Pipes
Try yourself:For steady, fully developed flow Inside straight pipe of diameter D, neglecting gravity effects, the pressure drop Δp over a length L and the wall shear stress tW are related by

[2013]

View Solution

Question for GATE Past Year Questions: Flow Through Pipes
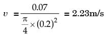
Try yourself:Water at 25°C is flowing throug a 1.0 km long G.I. pipe of 200 mm diameter at the rate of 0.07 m3/s. If value of Darcy friction factor for this pipe is 0.02 and density of water is 1000 kg/m3, the pumping power (in kW) required to maintain the flow is

[2009]

View Solution

The document GATE Past Year Questions: Flow Through Pipes | Fluid Mechanics for Mechanical Engineering is a part of the Mechanical Engineering Course Fluid Mechanics for Mechanical Engineering.
All you need of Mechanical Engineering at this link: Mechanical Engineering
56 videos|154 docs|75 tests

FAQs on GATE Past Year Questions: Flow Through Pipes - Fluid Mechanics for Mechanical Engineering

1. What are the main factors that affect flow through pipes?
Ans.The main factors that affect flow through pipes include fluid velocity, pipe diameter, pipe length, fluid viscosity, and the roughness of the pipe's internal surface. Additionally, pressure differences and temperature can also influence the flow characteristics.
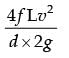
2. How do you calculate the head loss in a pipe due to friction?
Ans.Head loss due to friction in a pipe can be calculated using the Darcy-Weisbach equation, which states that \( h_f = f \frac{L}{D} \frac{v^2}{2g} \), where \( h_f \) is the head loss, \( f \) is the Darcy-Weisbach friction factor, \( L \) is the length of the pipe, \( D \) is the diameter of the pipe, \( v \) is the flow velocity, and \( g \) is the acceleration due to gravity.
3. What is the difference between laminar and turbulent flow in pipes?
Ans.Laminar flow occurs when the fluid flows in parallel layers with minimal disruption between them, typically at Reynolds numbers less than 2000. Turbulent flow, on the other hand, is characterized by chaotic changes in pressure and flow velocity, occurring at Reynolds numbers greater than 4000. Between these ranges, the flow is considered transitional.
4. How do you determine the appropriate pipe size for a given flow rate?
Ans.To determine the appropriate pipe size for a given flow rate, you can use the continuity equation and the Darcy-Weisbach equation to calculate the required diameter. The pipe size should be selected based on the desired flow velocity and acceptable head loss, ensuring that the flow remains within the laminar or turbulent range as needed.
5. What role does the Reynolds number play in flow through pipes?
Ans.The Reynolds number is a dimensionless quantity that helps predict flow patterns in different fluid flow situations. It is calculated as \( Re = \frac{ρvD}{μ} \), where \( ρ \) is the fluid density, \( v \) is the flow velocity, \( D \) is the pipe diameter, and \( μ \) is the dynamic viscosity. It determines whether the flow is laminar, transitional, or turbulent, which in turn affects the friction factor and head loss in the pipe.
Related Searches

pdf

,

video lectures

,

Important questions

,

Previous Year Questions with Solutions

,

GATE Past Year Questions: Flow Through Pipes | Fluid Mechanics for Mechanical Engineering

,

Sample Paper

,

shortcuts and tricks

,

GATE Past Year Questions: Flow Through Pipes | Fluid Mechanics for Mechanical Engineering

,

Exam

,

GATE Past Year Questions: Flow Through Pipes | Fluid Mechanics for Mechanical Engineering

,

Free

,

practice quizzes

,

MCQs

,

Summary

,

Objective type Questions

,

Extra Questions

,

Semester Notes

,

past year papers

,

mock tests for examination

,

Viva Questions

,

ppt

,

study material

;