Q1: A company orders gears in conditions identical to those considered in the economic order quantity (EOQ) model in inventory control. The annual demand is 8000 gears, the cost per order is 300 rupees, and the holding cost is 12 rupees per month per gear. The company uses an order size that is 25% more than the optimal order quantity determined by the EOQ model. The percentage change in the total cost of ordering and holding inventory from that associated with the optimal order quantity is [GATE ME 2024]
(a) 2.5
(b) 5
(c) 0
(d) 12.5
Ans: (a)
D = 8000 gear/year
C0 = 300
Ch = 12/ month =144/ year

Qactual = 1.25 × EOQ = 1.25 × 182.5
= 1.25 × 182.5 = 228.125
Total cost at EOQ

Total cost at actual order (Qactual)


Q1: With reference to the Economic Order Quantity (EOQ) model, which one of the options given is correct? [GATE ME 2023]
(a) Curve P1: Total cost, Curve P2: Holding cost, Curve P3: Setup cost, and Curve P4: Production cost.
(b) Curve P1: Holding cost, Curve P2: Setup cost, Curve P3: Production cost, and Curve P4: Total cost.
(c) Curve P1: Production cost, Curve P2: Holding cost, Curve P3: Total cost, and Curve P4: Setup cost.
(d) Curve P1: Total cost, Curve P2: Production cost, Curve P3: Holding cost, and Curve P4: Setup cost.
Ans:(a)

Q1: The demand of a certain part is 1000 parts/year and its cost is Rs. 1000/part. The orders are placed based on the economic order quantity (EOQ). The cost of ordering is Rs. 100/order and the lead time for receiving the orders is 5 days. If the holding cost is Rs. 20/part/year, the inventory level for placing the orders is ________ parts (round off to the nearest integer). [GATE ME 2022 SET-2]
Ans:13 to 15
Inventory control:
Annual demand (D) = 1000 units
Lead time (LT) = 5 days
Inventory level for placing the order = Re-order level (ROL)
Rate of consumption (d) = D/365
ROL = d × LT = (1000/365) x 5 = 13.69 ≈ 14 units

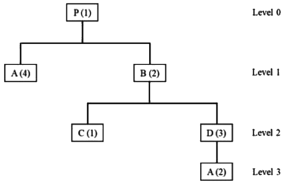
Q2: The product structure diagram shows the number of different components required at each level to produce one unit of the final product P. If there are 50 units of on-hand inventory of component A, the number of additional units of component A needed to produce 10 units of product P is _________ (in integer). [GATE ME 2022 SET-1]
Ans:110 to 110
To produce 10 units of 'P'
No. of units of 'A' required = (4 x 10) + (2 x 3 x 2 x 10) = 160 units
Net requirement of 'A' = 160 - 50 = 110 units
Q3: Which one of the following is NOT a form of inventory? [GATE ME 2022 SET-1]
(a) Raw materials
(b) Work-in-process materials
(c) Finished goods
(d) CNC Milling Machines
Ans: (d)
CNC milling machines will not be treated as inventory.
Q1: A factory produces m(i = 1, 2, ... m) products, each of which requires processing on n(j = 1, 2, ... n) workstations. Let aij be the amount of processing time that one unit of the ith product requires on the jth workstation. Let the revenue from selling one unit of the ith product be ri and hi be the holding cost per unit per time period for the ith product. The planning horizon consists of T(t = 1, 2, ... T) time periods. The minimum demand that must be satisfied in time period t is dit, and the capacity of the jth workstation in time period t is cjt. Consider the aggregate planning formulation below, with decision variables Sit (amount of product i sold in time period t), Xit (amount of product i manufactured in time period t) and Iit (amount of product i held in inventory at the end of time period t.

subject to
Sit ≥ dit ∀i, t
< capacity constraint >
< inventory balance constraint >
Xit, Sit, Iit ≥ 0; Ii0 = 0
The capacity constraints and inventory balance constraints for this formulation are [GATE ME 2021 SET-2]
(a) 
(b) 
(c) 
(d) 
Ans:(a)
m → i ... m ← product
n → i ... n ← workstation

ri → selling price
hi→ holding cost
T → t = 1, 2, … T
dit → demand of product in time t
cjt → capacity of workstation in time t
Sit → Number of product sold in time t
xit → Number of product produced in time t
Iit → Number of product i hold in inventory at end of period t
Capacity constraint
aij xit ≤ cjt
Inventory constraint
lit = Ii,t−1 + xit − Sit
Q1: For a single item inventory system, the demand is continuous, which is 10000 per year. The replacement is instantaneous and backorders (S units) per cycle are allowed as shown in the figure.
As soon as the quantity (Q units) ordered from the supplier is received, the backordered quantity is issued to the customers. The ordering cost is Rs. 300 per order. The carrying cost is Rs. 4 per unit per year. The cost of backordering is Rs. 25 per unit per year. Based on the total cost minimization criteria, the maximum inventory reached in the system is ________ (round off to nearest integer). [GATE ME 2020 SET-2]
Ans:1130 to 1140
Given data: D = 10000 items/year, C
o = Rs. 300/order,
C
h = Rs. 4/unit/year, C
b = Rs. 25/unit/year,
For minimum tool cost
Quantity ordered,


Q = 1319.09 unit
Now, for minimum cost, optimum units backordered
(Q − S) × Ch =(S) x Cb
S(Cb + Ch) = Q x Ch

Maximum inventory in the system, Qmax = Q − S
=1319.09 − 181.94
=1137.15 unit
≈1137 units
Alternate:
Maximum inventory in system 

Q2: Consider two cases as below.
Case 1: A company buys 1000 pieces per year of a certain part from vendor 'X'. The changeover time is 2 hours and the price is Rs. 10 per piece. The holding cost rate per part is 10% per year.
Case 2: For the same part, another vendor 'Y' offers a design where the changeover time is 6 minutes, with a price of Rs. 5 per piece, and a holding cost rate per part of 100% per year. The order size is 800 pieces per year from 'X' and 200 pieces per year from 'Y'.
Assume the cost of downtime as Rs. 200 per hour. The percentage reduction in the annual cost for Case 2, as compared to Case 1 is___________ (round off to 2 decimal places). [GATE ME 2020 SET-1]
Ans:8.19 to 8.23
Given, for case (i)
Q = 1000, C = Rs110,. r = 10% and Cost of downtime = 200/hr, Change over time = 2hrs
Then,
Ch = 10 × (10/100) = Rs1/ unit/year
Cd = 200 × 2 = 400/ order

Total cost for Case 1

x 400 + 1000 x 10 = Rs. 10894.427
Case (ii)
800 units are ordered from vendor X then total cost from vendor X, only the units will change other conditions (holding and downtime cost) will remain the same as the vendor is the same
For quantities ordered from the vendor x

Total cost for vendor x

For vendor Y
Q = 200, C = Rs5,. r = 100% and Cost of downtime = 200/hr, Change over time = 6 minutes Then,
Ch = 5 × (100/100) = Rs 5/ unit / year
Cd = 200 × (6/60) = 20/ order

Total cost for the second case

Q3: For an assembly line, the production rate was 4 pieces per hour and the average processing time was 60 minutes. The WIP inventory was calculated. Now, the production rate is kept the same, and the average processing time is brought down by 30 percent. As a result of this change in the processing time, the WIP inventory [GATE ME 2020 SET-1]
(a) decreases by 25%
(b) increases by 25%
(c) decreases by 30%
(d) increases by 30%
Ans: (c)
WIP = Throughput rate x Processing time
(WIP)1 = 4 x 1 = 4 units
(Processing Time)2 = 1 x 0.7 = 0.7
Throughput rate = 4
(WIP)2 = 4 x 0.7 = 2.8
% decrease = 30%
Q4: In the Critical Path Method (CPM), the cost-time slope of an activity is given by [GATE ME 2020 SET-1]
(a) 
(b) 
(c) 
(d) 
Ans: (d)
Question for GATE Past Year Questions: Inventory Control
Try yourself:A local tyre distributor expects to sell approximately 9600 steel belted radial tyres next year. Annual carrying cost is Rs. 16 per tyre and ordering cost is Rs. 75. The economic order quantity of the tyres is
[2018]
Explanation

Given, D = 9600 tyres/year, Ch = Rs. 16 tyre/year, Co = Rs. 75

Report a problem
Question for GATE Past Year Questions: Inventory Control
Try yourself:A manufacturer can produce 12000 bearings per day. The manufacturer received an order of 8000 bearings per day from a customer. The cost of holding a bearing in stock is Rs. 0.20 per month. Setup cost per production run is Rs. 500. Assuming 300 working days in a year, the frequency of production run should be
[2014]
Explanation
Report a problem
Question for GATE Past Year Questions: Inventory Control
Try yourself:A component can be produced by any of the four processes I, II, III and IV. The fixed cost and the variable cost for each of the processes are listed below. The most economical process for producing a batch of 100 pieces is

[2014]
Explanation
TC = Fixed Cost + Variable cost
TCI = 20 + 100 × 3 = Rs.320
TCII = 50 + 100 × 1 = Rs.150
TCIII = 40 + 100 × 2 = Rs.240
TCIV = 10 + 100 × 4 = Rs.410
Since the total cost for Process II is minimum So II is the cost for economical point of view
Report a problem
Question for GATE Past Year Questions: Inventory Control
Try yourself: Annual demand for window frames is 10000.Each frame costs Rs. 200 and ordering cost is Rs. 300 per order. Inventory holding cost is Rs. 40 per frame per year. The supplier is willing to offer 2% discount if the order quantity is 1000 or more, and 4% if order quantity is 2000 or more. If the total cost is to be minimized, the retailer should
[2010]
Explanation

= Rs.196150
Since total cost is minimum at Q = 2000 Therefore 4% discount can be accepted.
Report a problem
Question for GATE Past Year Questions: Inventory Control
Try yourself:A company uses 2555 units of an item annually.Delivery lead time is 8 days. The reorder point (in number of units) to achieve optimum inventory is
[2009]
Explanation
Reorder level = LT × d + SS

Report a problem
Question for GATE Past Year Questions: Inventory Control
Try yourself:The net requirements of an item over 5 consecutive weeks are 50-0-15-20-20. The inventory carrying cost and ordering cost are Rs. 1 per item per week and Rs. 100 per order respectively. Starting inventory is zero. Use "Least Unit Cost Technique" for developing the plan. The cost of the plan (in Rs.) is
[2007]
Explanation
Ch = 1 per unit per week
CO = 100/order
The order is placed two times, 65 units at starting and 40 units after 3rd week.

Total cost of plan = 115 + 15 + 120 = 250 Rs.
Report a problem
Question for GATE Past Year Questions: Inventory Control
Try yourself:In machine shop, pins of 15 mm diameter are produced at a rate of 1000 per month and the same is consumed at a rate of 500 per month.The production and consumption continue simultaneously till the maximum inventory is reached. Then inventory is allowed to reduce to zero due to consumption. The lot size of production is 1000. If backlog is not allowed, the maximum inventory level is
[2007]
Explanation
Report a problem
Question for GATE Past Year Questions: Inventory Control
Try yourself:The maximum level of inventory of an item is 100 and it is achieved with infinite replenishment rate. The inventory becomes zero over one and half month due to consumption at a uniform rate. This cycle continues through out the year. Ordering cost is Rs. 100 per order and inventory carrying cost is Rs. 10 per item per month. Annual cost (in Rs.) of the plan, neglecting material cost, is
[2007 : 2 Marks]
Explanation
Number of cycle required per year = 

Ordering cost = 8 × 100 = Rs. 800,
Average inventory per cycle = 100/2 = 50,
Inventory carrying cost = 50 × 12 × 10 = Rs. 6000
∴ Total cost = 800 + 6000 = 6800
Report a problem
Question for GATE Past Year Questions: Inventory Control
Try yourself:A stockist wishes to optimize the number of perishable items he needs to stock in any month in his store. The demand distribution for this perishable item is

The stockist pays Rs. 70 for each item and he sells each at Rs. 90. If the stock is left unsold in any month, he can sell the item at Rs. 50 each. There is no penalty for unfulfilled demand. To maximize the expected profit, the optimal stock level is
[2006]
Explanation
P (d ≥ Q) = Probability that the demand for Q units or more
MP = Marginal profit per unit sold = 90 – 70 = Rs. 20
ML = Marginal profit per unit sold = 70 – 50 = Rs. 20

Since P = 0.5 is between the cumulative probability 0.45 and 0.8.
Hence to maximize profit, optimal stock level is 4.
Report a problem
Question for GATE Past Year Questions: Inventory Control
Try yourself:Consider the following data for an item. Annual demand : 2500 units per year Ordering cost: Rs. 100 per order, Inventory holding rate: 25% of unit price Price quoted by a supplierThe optimum order quantity (in units) is
[2006]
Explanation
D = 2500 units/years
CO = Rs. 100/order
Ch = (0.25) Unit + Price

Since Total cost minimum at Q = 500 units
∴ the optimal order quality is Q = 500 units
Report a problem
Question for GATE Past Year Questions: Inventory Control
Try yourself:A company has an annual demand of 1000 units, ordering cost of Rs. 100/ order and carrying cost of Rs. 100/unit-year. If the stockout costs are estimated to be nearly Rs. 400 each time the company runs out-of-stock, the safety stock justified by the carrying cost will be
[2004]
Explanation
Report a problem
Question for GATE Past Year Questions: Inventory Control
Try yourself:There are two products P and Q with the following characteristics

The Economic Order Quantity (EOQ) of products P and Q will be in the ratio?
[2004]
Explanation
Report a problem
Question for GATE Past Year Questions: Inventory Control
Try yourself:Market demand for springs is 8,00,000 per annum.A company purchases these spring in lots and sells them. The cost of making a purchase order is Rs. 1,200. The cost of Storage of springs is Rs. 120 per stored piece per annum. The economic order quantity is
[2003]
Explanation
Report a problem
Question for GATE Past Year Questions: Inventory Control
Try yourself:In computing Wilson's economic lot size for an item, by mistake the demand rate estimate used was 40% higher than the true demand rate. Due to this error in the lot size computation, the total cost of setup plus inventory holding per unit time. Would rise above the true optimum by approximately
[1999]
Explanation
Q∗∝√D
Q∗1∝√1.4D
∝√1.4√D∝√1.4 Q∗
Now initial inventory cost =DQ∗C0+Q∗2Cn
Now total inventory cost
=1.4D√1.4 Q∗C0+√1.4 Q∗2Cn
=√1.4(DQ∗C0+Q∗2Cn)
=√1.4 (initial inventory cost)
= 1.183 (initial inventory cost)
Total rise = 18.3%
Report a problem
Question for GATE Past Year Questions: Inventory Control
Try yourself:In inventory planning, extra in ventory is unnecessarily carried to the end of the planning period when using one of the following lot size decision policies:
[1998]
Explanation
- A decision about how much to order has great significance in inventory management.
- The quantity to be purchased should neither be small nor big because the costs of buying and carrying materials are very high.
- Economic order quantity is the size of the lot to be purchased which is economically viable.
- This is the number of materials that can be purchased at minimum costs.
- Generally, economic order quantity is the point at which inventory carrying costs are equal to order costs.
- First, EOQ policy is not optimal in MRP system because the assumptions of constant demand are not met.
- As compared with a lot-for-lot policy, the setup costs for an EOQ policy will generally be lower and holding costs will be higher.
- Second, in an EOQ policy, extra inventory is unnecessarily carried to the end of the planning horizon.
At EOQ:
Ordering cost = Holding cost

Report a problem
Question for GATE Past Year Questions: Inventory Control
Try yourself:If the demand for an item is doubled and the ordering cost halved, the economic order quantity
[1995]
Explanation
Report a problem
Question for GATE Past Year Questions: Inventory Control
Try yourself: When the annual demand of a product is 24000 units, the EOQ (Economic Order Quantity) is 2000 units. If the annual demand is 48000 units the most appropriate EOQ will be
[1991]
Explanation
The correct option is C 2800 units
Given that:
Annual demand, D = 24000 units
Economic order quantity, EOQ = 2000 units
Annual demand increases to 48000,
then, D' = 48000 = 2 × 24000 = 2D
Economic order quantity when demand is 48000,
EOQ′=√2 EOQ=√2×2000
=2828.427 units=2800 unit
Report a problem
Question for GATE Past Year Questions: Inventory Control
Try yourself: In an ideal inventory control system, the economic lot size for a part is 1000. If the annual demand for the part is doubled, the new economic lot size required will be
[1989]
Explanation
Report a problem
Question for GATE Past Year Questions: Inventory Control
Try yourself:One of the following statements about PRS (Periodic Reordering System) is not true identify.
[1998]
Explanation
The correct option is C, PRS requires continuous monitoring of inventory levels
In the periodic reordering system, Inventory level is reviewed after a fixed period of time and fresh order is placed at that time. So, PRS doesn't require continuous monitoring of inventory levels.
Report a problem
Question for GATE Past Year Questions: Inventory Control
Try yourself:Setup costs do not include
[1997]
Explanation
The correct option is D, Cost of processing the work piece
When the units are produced within the production system, then the cost associated with bringing shut down system, again into play is called setup cost. It includes maintenance cost, cost associated with arrangement of workers, raw material, tool extra, schedule chart preparation cost.
Report a problem