Q1: Which one of the following failure theories is the most conservative design approach against fatigue failure? [GATE ME 2024]
(a) Soderberg line
(b) Modified Goodman line
(c) Gerber line
(d) Yield line
Ans: (a)
Gerber Line. A parabolic curve joining Se on the ordinate to Sut on the abscissa is called the Gerber line.
Soderberg Line A straight line joining Se on the ordinate to Syt on the abscissas called the Soderberg line.
Goodman Line. A straight line joining Se on the ordinate to Sut on the abscissa is called the Goodman line.
The Gerber parabola fits the failure points of test data in the best possible way. The goodman line fits beneath the scatter of this data. Both Gerber parabola and Goodman line intersect at ( Se ) on the ordinate to ( Sut ) on the abscissa. However, the Goodman line is more safe from design considerations because it is completely inside the Gerber parabola and inside the failure points. The Soderberg line is a more conservative failure criterion and there is no need to consider even yielding in this case.
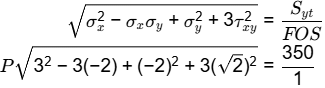
Q1: A structural member under loading has a uniform state of plane stress which in usual notations is given by σ x = 3 P, σ y = − 2 P , τ x y = √2 P where P > 0 . The yield strength of the material is 350 MPa. If the member is designed using the maximum distortion energy theory, then the value of P P at which yielding starts (according to the maximum distortion energy theory) is [GATE ME 2022,SET-2]
(a) 70 Mpa
(b) 90 Mpa
(c) 120 Mpa
(d) 75 Mpa
Ans: (a)
σ x = 3
σ y = − 2 P
τ = √2 P
According to maximum distortion energy theory,

P x 5 = 350
P = 70 Mpa
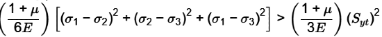
Q1: The von Mises stress at a point in a body subjected to forces is proportional to the square root of the [GATE ME 2021 SET-2]
(a) total strain energy per unit volume
(b) plastic strain energy per unit volume
(c) dilatational strain energy per unit volume
(d) distortional strain energy per unit volume
Ans: (d)
Condition for failure as per M.D.E.T.
Distortion energy per unit volume under tri-axial state of stress > Distortion energy per unit volume under uni-axial state of stress.
Hence, 
(Von Mises effective stress)
Syt = Von Mises effective stress is defined as the uni-axial yield stress that would create same distortion energy created by the tri-axial state of stress.
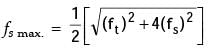
Q2: A machine part in the form of cantilever beam is subjected to fluctuating load as shown in the figure. The load varies from 800 N to 1600 N. The modified endurance, yield and ultimate strengths of the material are 200 MPa, 500 MPa and 600 MPa, respectively. [GATE ME 2021, SET-1]

The factor of safety of the beam using modified Goodman criterion is _______ (round off to one decimal place).
Ans: (1.9 to 2.1)
A : Critical Point
σmax, A = σb, max at A due to 1600 N = 6M/bd2 = 6 x 1600 x 200/12 x (2σ)2
σ max = 200MPa
σmin, A = σb, max at A due to 800 N
= 6 x 800 x 200/12 x (20)2 = 100MPa

150/600 + 50/200 ≤ 1/N
N ≤ 2
N ≈ 2
Langer Criterion:
≤ 1/N
150/500 + 50/500 ≤ 1/N (N ≤ 2.5)
N = 2.5
Modified Goodman = Safe result of [Goodman or Langer]
Question for GATE Past Year Questions: Static, Dynamic Loading & Failure Theories
Try yourself:A machine element is subjected to the following bi-axial state of stress; σx = 80 MPa; σy = 20 MPa; τxy = 40 MPa. If the shear strength of the material is 100 MPa, the factor of safety as per Tresca's maximum shear stress theory is
[2015, Set-1]
Explanation
Report a problem
Question for GATE Past Year Questions: Static, Dynamic Loading & Failure Theories
Try yourself:Consider the two states of stress as shown in configurations I and II in the figure below.
From the standpoint of distortion energy (vonMises) criterion, which one of the following statements is true?
[2014, Set-2]
Question for GATE Past Year Questions: Static, Dynamic Loading & Failure Theories
Try yourself:Which one of the following is not correct?
[2014, Set-3]
Question for GATE Past Year Questions: Static, Dynamic Loading & Failure Theories
Try yourself:Which theory of failure will you use for aluminium components under steady loading is
[1998]
Question for GATE Past Year Questions: Static, Dynamic Loading & Failure Theories
Try yourself:A small element at the critical section of a component in biaxial state of stress with the two principal stresses being 360 MPa and 140 MPa. The maximum working stress according to distortion energy theory is
[1997]
Explanation
According to distortion energy theorem

= 314.32 MPa
Report a problem
Question for GATE Past Year Questions: Static, Dynamic Loading & Failure Theories
Try yourself:In the design of shafts made of ductile materials subjected to twisting moment and bending moment, the recommended theory of failure is
[1988]
Question for GATE Past Year Questions: Static, Dynamic Loading & Failure Theories
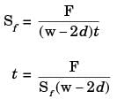
Try yourself:Consider the schematic of a riveted lap Joint subjected to tensile load F, as shown below.
Let d be the diameter of the rivets, and Sf be the maximum permissible tensile stress in the plates. What should be the minimum value for the thickness of the plates to guard against tensile failure of the plates? Assume the plates to be identical.
[2017, Set-1]
Explanation
Tensile stress

Report a problem
Question for GATE Past Year Questions: Static, Dynamic Loading & Failure Theories
Try yourself:For the given fluctuating fatigue load, the values of stress amplitude and stress ratio are respectively
[2015, Set-3]
Explanation
Report a problem
Question for GATE Past Year Questions: Static, Dynamic Loading & Failure Theories
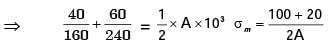
Try yourself:A bar is subjected to fluctuating tensile load from 20 kN to 100 kN. The material has yield strength of 240 MPa and endurance limit in reversed bending is 160 MPa. According to the Soderberg principle, the area of cross-section in mm2 of the bar for a factor of safety of 2 is
[2013]
Explanation
Soderberg criteria is:


A = 1000 mm2
Report a problem
Question for GATE Past Year Questions: Static, Dynamic Loading & Failure Theories
Try yourself:A forged steel link with uniform diameter of 30 mm at the centre is subjected to an axial force that varies from 40 kN in compression to 160 kN in tension. The tensile (Su), yield (Sy) and corrected endurance (Se) strengths of the steel material are 600 MPa, 420 MPa and 240 MPa respectively. The factor of safety against fatigue endurance as per Soderberg's criterion is
[2009]
Explanation
Report a problem
Question for GATE Past Year Questions: Static, Dynamic Loading & Failure Theories
Try yourself:The piston rod of diameter 20 mm and length 700 mm in a hydraulic cylinder is subjected to a compressive force of 10 kN due to the internal pressure. The end conditions for the rod may be assumed as guided at the piston end and hinged at the other end. The Young's modulus is 200 GPa. The factor of safety for the piston rod is
[2007]
Question for GATE Past Year Questions: Static, Dynamic Loading & Failure Theories
Try yourself:A thin spherical pressure vessel of 200 mm diameter and 1 mm thickness is subjected to an internal pressure varying from 4 to 8 MPa.Assume that the yield, ultimate, and endurance strength of material are 600,800 and 400 MPa respectively. The factor of safety as per Goodman's relation is
[2007]
Explanation
Report a problem
Question for GATE Past Year Questions: Static, Dynamic Loading & Failure Theories
Try yourself:A carpenter glues a pair of cylindrical wooden logs by bonding their end faces at an angle of θ = 30° as shown in the figure.

The glue used at the interface fails if
Criterion 1 : the maximum normal stress exceeds 2.5 MPa
Criterion 2 : the maximum shear stress exceeds 1.5 MPa
Assume that the interface fails before the logs fail. When a uniform tensile stress of 4 MPa is applied, the interface
[2018, Set-1]
Explanation
Normal stress on inclined plane
σ = σx cos2θ
= 4 × cos2 30 = 3 MPa
Shear stress on inclined plane

= 2 × sin 60° = 1.73 MPa
Since both the stress exceeds the given limits, answer is option (c).
Report a problem
Question for GATE Past Year Questions: Static, Dynamic Loading & Failure Theories
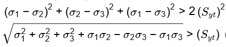
Try yourself:If σ1 and σ3 are the algebraically largest and smallest principal stresses respectively, the value of the maximum shear stress is
[2018, Set-1]
Explanation
Maximum shear stress = Radius of Mohr’s Circle (for plane stress condition)

Report a problem
Question for GATE Past Year Questions: Static, Dynamic Loading & Failure Theories
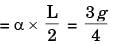
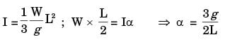
Try yourself:A pin jointed uniform rigid rod of weight W and length L is supported horizontally by an external force F as shown in the figure below.

The force F is suddenly removed. At the instant of force removal, the magnitude of vertical reaction developed at the support is
[2013]
Explanation
Report a problem
Question for GATE Past Year Questions: Static, Dynamic Loading & Failure Theories
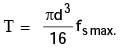
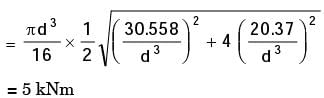
Try yourself:A solid shaft can resist a bending moment of 3.0 kNm and a twisting moment of 4.0 kNm together, then the maximum torque that can be applied is
[1996]
Explanation
Report a problem
Question for GATE Past Year Questions: Static, Dynamic Loading & Failure Theories
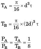
Try yourself:Two shafts A and B are made of the same material. The diameter of shaft B is twice that of shaft A The ratio of power which can be transmitted by shaft A to that of shaft B is
[1994]
Explanation
Report a problem
Question for GATE Past Year Questions: Static, Dynamic Loading & Failure Theories
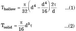
Try yourself:The outside diameter of a hollow shaft that is twice its inside diameter the ratio of its torque carrying capacity to that of a solid shaft of the same material and the same outside diameter is
[1993]
Explanation

By dividing (1) with (2)

Report a problem
Question for GATE Past Year Questions: Static, Dynamic Loading & Failure Theories
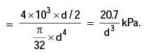
Try yourself:A large uniform plate containing a rivet hole subjected to uniform uniaxial tension of 95 MPa.
The maximum stress in the plate is
[1992]
Explanation
Report a problem
Question for GATE Past Year Questions: Static, Dynamic Loading & Failure Theories
Try yourself:Torque to weight ratio for a circular shaft transmitting power is directly proportional to the
[1991]
Explanation
Report a problem