Physics Exam  >  Physics Notes  >  Modern Physics  >  Galilean and Lorentz Transformations

Galilean and Lorentz Transformations | Modern Physics PDF Download

Galilean Transformations

Galilean and Lorentz Transformations | Modern Physics

Suppose frame S' is moving with constant velocity v relative to an inertial frame S. The transformation equations between the two frames is  
Galilean and Lorentz Transformations | Modern Physics , x' = x - vt, y' = y, z' = z, t' = t
The above transformations of coordinates from one inertial frame to another are referred to as Galilean transformations.
And inverse Galilean transformation is given by
x = x' + vt, y = y', z = z', t = t'
The velocity transformation is given

Galilean and Lorentz Transformations | Modern Physics
Tire acceleration transformation is given

Galilean and Lorentz Transformations | Modern Physics
It is found that the acceleration measured in both frames is the same. So it is an inertial frame.
When velocity transformation is analyzed as u' = c, where c is the velocity of light.
u = c + v
It is seen that the velocity of light is dependent on the reference frame which is physically not accepted. So, for high velocity i.e., v ≈ c, Galilean transformation is inadequate.
So, for velocity u ≈ c, there is a need for different types of transformation, which is given by Lorentz transformation.

Lorentz Transformation

Postulates of Special Theory of Relativity

(i) There is no universal frame of reference pervading all over space, so there is no such thing as "absolute motion”.
(ii) The law of Physics is the same in all frames of reference moving at constant velocity with respect to each other.
(iii) The speed of light in free space has the same value for all inertial observers.

Derivation of Lorentz Transformation 

Lorentz transformation has to be such that
(a) It is linear in x and x', so that a single event in frame S corresponds to a single event in frame S'.
(b) For lower velocity it reduces to Galilean transformation.
(c) The inverse transformation exists.
Let us assume
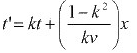
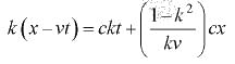
x' = k (x - vt), x = k (x' + vt') ,y' = y and z' = z
Putting the value, x' = k (x - vt) in x = k (x' + vt') one will get,
x= k2 (x - vt) + kvt' and
Galilean and Lorentz Transformations | Modern Physics 
Now, x = ct in S frame and x' = ct' in S' frame
Galilean and Lorentz Transformations | Modern Physics
Solving this equation for k, then
Galilean and Lorentz Transformations | Modern Physics

Galilean and Lorentz Transformations | Modern Physics

Consequences of Lorentz Transformation 

Length Contraction 

To measure the length of an object in motion, relative to the observer, the position of two endpoints is recorded simultaneously. The length of the object in the direction of motion appeared smaller to the observer.
I0 = x'2 - x'1, I = x2 - x1
x'2 - x'1 = γ(x1 - vt) - γ(x2 - vt)
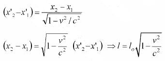
(x'2 - x'1) = γ(x2 - x1)
Galilean and Lorentz Transformations | Modern Physics

Galilean and Lorentz Transformations | Modern Physics

Thus l < l0, this means that the length of the rod as measured by an observer relative to which the rod is in motion, is smaller than its proper length.
Such a contraction of length in the direction of motion relative to the observer is called Lorentz Fitzgerald contraction.

Time Dilation

When two observers are in relative uniform motion and uninfluenced by any gravitational mass, the point of view of each will be that the other's (moving) clock is ticking at a slower rate than the local clock. The faster the relative velocity, the greater the magnitude of time dilation. This case is sometimes called a special relativistic time dilation.
A clock being at rest in the S' frame measures the time t'1 and t'2 of two events occurring at a fixed position x'. The time interval Δt measures from S frame appears slow (Δt0) from S' frame i.e., to the observer, the moving clock will appear to go slow.
Δt' = t'2 - t'1 = Δt0 ⇒ Δt = t2 - t1
Galilean and Lorentz Transformations | Modern Physics 

Galilean and Lorentz Transformations | Modern Physics
Δt0 → Proper time, Δt → time interval measured from S frame Δt > Δt0 

The document Galilean and Lorentz Transformations | Modern Physics is a part of the Physics Course Modern Physics.
All you need of Physics at this link: Physics
37 videos|17 docs|19 tests

FAQs on Galilean and Lorentz Transformations - Modern Physics

1. What are Galilean Transformations and how do they differ from Lorentz Transformations?
Ans. Galilean Transformations are the equations used to relate the coordinates of an event as measured by two observers in uniform relative motion. They do not take into account the effects of special relativity such as time dilation and length contraction, unlike Lorentz Transformations which do.
2. What are the consequences of Lorentz Transformations in terms of relativistic effects?
Ans. The consequences of Lorentz Transformations include time dilation, length contraction, relativistic mass increase, and the equivalence of mass and energy as described by Einstein's famous equation E=mc^2.
3. How does the concept of relativistic energy differ from classical energy in the context of special relativity?
Ans. Relativistic energy takes into account the increase in mass of an object as its velocity approaches the speed of light, leading to the concept of relativistic mass. This differs from classical energy which does not consider the effects of special relativity.
4. How is the Doppler Effect in light different from the Doppler Effect in sound, and how is it related to the concept of relative velocity?
Ans. The Doppler Effect in light is characterized by a shift in frequency and wavelength of light waves due to the relative motion of the source and observer. This is different from the Doppler Effect in sound, as light waves travel at a constant speed and do not require a medium for propagation. The concept of relative velocity plays a crucial role in determining the observed frequency shift in both cases.
5. What role do four vectors play in maintaining relativistic invariance in physical equations, and how do they differ from three-dimensional vectors in classical mechanics?
Ans. Four vectors are used in special relativity to describe physical quantities such as position, momentum, and energy in four-dimensional spacetime. They differ from three-dimensional vectors in classical mechanics by incorporating time as the fourth dimension, ensuring that physical laws remain invariant under Lorentz transformations.
Related Searches

ppt

,

MCQs

,

Important questions

,

Galilean and Lorentz Transformations | Modern Physics

,

Viva Questions

,

Exam

,

video lectures

,

study material

,

Objective type Questions

,

past year papers

,

Semester Notes

,

Previous Year Questions with Solutions

,

Galilean and Lorentz Transformations | Modern Physics

,

mock tests for examination

,

shortcuts and tricks

,

Free

,

practice quizzes

,

Summary

,

Galilean and Lorentz Transformations | Modern Physics

,

pdf

,

Extra Questions

,

Sample Paper

;