Civil Engineering (CE) Exam  >  Civil Engineering (CE) Notes  >  General Results - Boundary Value Problem: Formulation

General Results - Boundary Value Problem: Formulation - Civil Engineering (CE) PDF Download

General results 

In this section, we record two results that are useful while solving boundary value problems. One result tells when one can expect an unique solution to a given boundary value problem. The other allows us to construct solutions to complex boundary conditions from simple cases.

Uniqueness of solution

Now, we are interested in showing that there could at most be one solution that could satisfy the prescribed displacement or mixed boundary conditions, in a given body made of a material that obeys Hooke’s law and in static equilibrium with no body forces acting on it. If traction boundary condition is specified, we shall see that the stress is uniquely determined but the displacement is not for the bodies made of a material that obeys Hooke’s law and in static equilibrium with no body forces acting on it. Towards this, we consider a general setting with B being some region occupied by the body and ∂B the boundary of the body. Let us also assume that displacement is prescribed over some part of the boundary ∂Bu and traction specified on the remaining part of the boundary, ∂Bσ. Let (u1, σ1) and (u2, σ2) be the two distinct solutions to a given boundary value problem. Let us define

u = u1 − u2, σ = σ1 − σ2.                 (7.108)

By virtue of (u11) and (u2, σ2) satisfying the specified boundary conditions,

u(x) = o, for x ∈ ∂Bu,                    (7.109)

t(n)(x) = σn = o, for x ∈ ∂Bσ.           (7.110)

First, we examine the term,
 

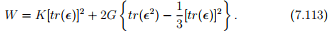
W = σ · grad(u) = σ ·€,               (7.111)

here to obtain the last equality we have used (2.104) and the fact that the Cauchy stress σ is a symmetric tensor. Since, we are interested in materials that obey isotropic Hooke’s law, we substitute for the stress from5

General Results - Boundary Value Problem: Formulation - Civil Engineering (CE)

in (7.111) to obtain

General Results - Boundary Value Problem: Formulation - Civil Engineering (CE)

5This equation is obtained by writing Lam`e constants in terms of bulk modulus, K and shear modulus, G and substituting in equation (7.2).

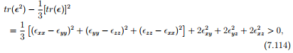
As recorded in table 6.1 G > 0 and K > 0. Further recognizing that irrespective of the sign of the Cartesian components of the strain,

General Results - Boundary Value Problem: Formulation - Civil Engineering (CE)

on assuming that € 6= 0. Thus, since each term in equation (7.113) is positive we infer that

              W > 0,                               (7.115)

as long as ∈ ≠ 0.
Next, we want to express

General Results - Boundary Value Problem: Formulation - Civil Engineering (CE)

in terms of the boundary conditions alone. Towards this, using the result in equation (2.219) we write

General Results - Boundary Value Problem: Formulation - Civil Engineering (CE)

Since the body is in static equilibrium and has no body forces acting on it, from equation (7.6) div(σ) = o. Using div(σ) = o in equation (7.117) and substituting the result in (7.116) we get

General Results - Boundary Value Problem: Formulation - Civil Engineering (CE)

where to obtain the last equality we have used the result (2.267). Substituting the conditions (7.109) and (7.110) on the displacement and stress, in (7.118) that

General Results - Boundary Value Problem: Formulation - Civil Engineering (CE)

Since, from equation (7.115) the integrand in the equation (7.119) is positive and W = 0 only if € = 0, it follows that  = 0 everywhere in the body.Then, it is straight forward to see that σ = 0, everywhere in the body. It can then be shown thet, we do this next for a special case , the conditions € = 0 everywhere in the body and (7.109) imply u = o everywhere in the body.
Integrating the first order differential equations on the Cartesian components of the displacement field when  = 0, we obtain

u = (K1y+K2z+K4)ex+(−K1x+K3z+K5)ey−(K2x+K3y−K6)ez,                          (7.120)

where Ki ’s are constants. Knowing the displacement of 3 points, say (x1, y1, z1), (x2, y2, z2) and (x3, y3, z3), that are not collinear to be zero, the constants Ki ’s could be uniquely determined by solving the following system of equations:

General Results - Boundary Value Problem: Formulation - Civil Engineering (CE)

As long as the three points are not collinear, it can be seen that the above set of equations are independent and hence, Ki = 0. However, if the displacement is not known at 3 points, as in the case of traction boundary condition being specified, the displacement field cannot be uniquely determined.
Hence, we conclude that the solution to the boundary value problem involving a body in static equilibrium, under the absence of body forces and made of a material that obeys isotropic Hooke’s law is unique except in cases where only traction boundary condition is specified. As a consequence of this theorem, if a solution has been found for a given boundary conditions it is the solution for a body in static equilibrium, under the absence of body forces and made of a material that obeys isotropic Hooke’s law.

 

Principle of superposition 

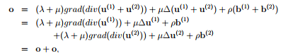
This principle states that For a given body made up of a material that obeys isotropic Hooke’s law, in static equilibrium and whose magnitude of displacement is small, if {u (1) ,σ (1)} is a solution to the prescribed body forces, b (1) and boundary conditions, General Results - Boundary Value Problem: Formulation - Civil Engineering (CE) and {u (2) ,σ (2)} is a solution to the prescribed body forces, b (2) and boundary conditions, General Results - Boundary Value Problem: Formulation - Civil Engineering (CE) then

General Results - Boundary Value Problem: Formulation - Civil Engineering (CE)

{u (1) + u (2) ,σ (1) + σ (2)} will be a solution to the problem with body forces, b (1) + b (2) and boundary conditions, General Results - Boundary Value Problem: Formulation - Civil Engineering (CE) The proof of the above statement follows immediately from the fact that equation (7.23) is linear. That is,

General Results - Boundary Value Problem: Formulation - Civil Engineering (CE)

where we have used the linearity property of the grad, div and ∆ operators (see section 2.8). This is one of the most often used principles to solve problems in engineering. 

The document General Results - Boundary Value Problem: Formulation - Civil Engineering (CE) is a part of Civil Engineering (CE) category.
All you need of Civil Engineering (CE) at this link: Civil Engineering (CE)

FAQs on General Results - Boundary Value Problem: Formulation - Civil Engineering (CE)

1. What is a boundary value problem?
Ans. A boundary value problem is a type of mathematical problem where the values of a function are specified at certain boundaries or limits. The goal is to find a solution that satisfies the given boundary conditions. In the context of the article, it refers to the formulation and solving of such problems using a general approach.
2. How is a boundary value problem formulated?
Ans. A boundary value problem is formulated by defining the differential equation that describes the behavior of the unknown function, along with the specified boundary conditions. The boundary conditions can be specified at one or both ends of the interval where the function is defined. The formulation involves setting up the equations and constraints that need to be satisfied to find a solution.
3. What is the significance of boundary value problems?
Ans. Boundary value problems are significant in various fields of science and engineering as they help in modeling and solving real-world problems. They provide a framework for understanding the behavior of physical systems and finding solutions that satisfy given conditions. Solving boundary value problems allows us to analyze and predict the behavior of systems under specific constraints.
4. What are some common methods for solving boundary value problems?
Ans. There are several methods for solving boundary value problems, depending on the complexity of the problem and the nature of the differential equation. Some common methods include shooting method, finite difference method, finite element method, and spectral methods. Each method has its own advantages and limitations, and the choice of method depends on the specific problem and available resources.
5. How can boundary value problems be applied in real-world scenarios?
Ans. Boundary value problems find applications in various fields such as physics, engineering, biology, finance, and computer science. For example, in physics, boundary value problems can be used to model the behavior of heat conduction in a solid material or the motion of a vibrating string. In engineering, they can be applied to analyze stress distribution in a structure or the flow of fluid in a pipe. By solving boundary value problems, researchers and engineers can gain insights into the behavior of systems and make informed decisions.
Download as PDF

Top Courses for Civil Engineering (CE)

Related Searches

Exam

,

Extra Questions

,

pdf

,

ppt

,

Important questions

,

Sample Paper

,

Free

,

General Results - Boundary Value Problem: Formulation - Civil Engineering (CE)

,

shortcuts and tricks

,

Viva Questions

,

Previous Year Questions with Solutions

,

study material

,

past year papers

,

Semester Notes

,

General Results - Boundary Value Problem: Formulation - Civil Engineering (CE)

,

Summary

,

video lectures

,

MCQs

,

mock tests for examination

,

General Results - Boundary Value Problem: Formulation - Civil Engineering (CE)

,

practice quizzes

,

Objective type Questions

;