Electrical Engineering (EE) Exam  >  Electrical Engineering (EE) Notes  >  Basic Electrical Technology  >  Generation of Sinusoidal Voltage Waveform (AC) & Some Fundamental Concepts

Generation of Sinusoidal Voltage Waveform (AC) & Some Fundamental Concepts | Basic Electrical Technology - Electrical Engineering (EE) PDF Download

In this lesson, firstly, how a sinusoidal waveform (ac) is generated, is described, and then the terms, such as average and effective (rms) values, related to periodic voltage or current waveforms, are explained. Lastly, some examples to find average and root mean square (rms) values of some periodic waveforms are presented.

Keywords: Sinusoidal waveforms, Generation, Average and RMS values of Waveforms.

After going through this lesson, the students will be able to answer the following questions:

1. What is an ac voltage waveform?
2. How a sinusoidal voltage waveform is generated, with some detail?
3. For periodic voltage or current waveforms, to compute or obtain the average and rms values, and also the time period.
4. To compare the different periodic waveforms, using above values.

Generation of Sinusoidal (AC) Voltage Waveform

Generation of Sinusoidal Voltage Waveform (AC) & Some Fundamental Concepts | Basic Electrical Technology - Electrical Engineering (EE)

A multi-turn coil is placed inside a magnet with an air gap as shown in Fig. 12.1. The flux lines are from North Pole to South Pole. The coil is rotated at an angular speed,  Generation of Sinusoidal Voltage Waveform (AC) & Some Fundamental Concepts | Basic Electrical Technology - Electrical Engineering (EE)

Generation of Sinusoidal Voltage Waveform (AC) & Some Fundamental Concepts | Basic Electrical Technology - Electrical Engineering (EE) speed of the coil (rev/sec, or rps)

N = 60 .n = speed of the coil (rev/min, or rpm)
l = length of the coil (m)
b = width (diameter) of the coil (m)
T = No. of turns in the coil

B = flux density in the air gap (Wb/m2)
v= π bn = tangential velocity of the coil (m/sec)

Generation of Sinusoidal Voltage Waveform (AC) & Some Fundamental Concepts | Basic Electrical Technology - Electrical Engineering (EE)

At a certain instant t, the coil is an angle (rad), θ = ωt with the horizontal (Fig. 12.2). The emf (V) induced on one side of the coil (conductor) is Bvl sinθ , θ can also be termed as angular displacement.
The emf induced in the coil (single turn) is Generation of Sinusoidal Voltage Waveform (AC) & Some Fundamental Concepts | Basic Electrical Technology - Electrical Engineering (EE)
The total emf induced or generated in the multi-turn coil is Generation of Sinusoidal Voltage Waveform (AC) & Some Fundamental Concepts | Basic Electrical Technology - Electrical Engineering (EE)
This emf as a function of time, can be expressed as, Generation of Sinusoidal Voltage Waveform (AC) & Some Fundamental Concepts | Basic Electrical Technology - Electrical Engineering (EE)The graph of Generation of Sinusoidal Voltage Waveform (AC) & Some Fundamental Concepts | Basic Electrical Technology - Electrical Engineering (EE) which is a sinusoidal waveform, is shown in Fig. 12.4a

Generation of Sinusoidal Voltage Waveform (AC) & Some Fundamental Concepts | Basic Electrical Technology - Electrical Engineering (EE)

It may be noted these values of flux φ and flux linkage ψ , are maximum, with the coil being at horizontal position, θ = 0 . These values change, as the coil moves from the horizontal position (Fig. 12.2). So, also is the value of induced emf as stated earlier.

The maximum value of the induced emf is,   Generation of Sinusoidal Voltage Waveform (AC) & Some Fundamental Concepts | Basic Electrical Technology - Electrical Engineering (EE)
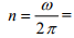
Determination of frequency (f) in the ac generator. In the above case, the frequency (Hz) of the emf generated is Generation of Sinusoidal Voltage Waveform (AC) & Some Fundamental Concepts | Basic Electrical Technology - Electrical Engineering (EE) of poles being 2, i.e. having only one pole pair. In the ac generator, no. of poles = p, and the speed (rps) = n, then the frequency in Hz or cycles/sec, is f = no. of cycles/sec = no. of cycles per rev × no. of rev per sec = no. of pairs of poles × no. of rev per sec =(p/2)n

Generation of Sinusoidal Voltage Waveform (AC) & Some Fundamental Concepts | Basic Electrical Technology - Electrical Engineering (EE)
Example

For a 4-pole ac generator to obtain a voltage having a frequency of 50 Hz, the speed is, 

Generation of Sinusoidal Voltage Waveform (AC) & Some Fundamental Concepts | Basic Electrical Technology - Electrical Engineering (EE)

For a 2-pole (p = 2) machine, the speed should be 3,000 rpm. Similarly, the speed of the machine having different no. of poles, required to generate a frequency of 50 Hz can be computed. Sinusoidal voltage waveform having frequency, f with time period (sec), T = 1/f

Periodic Voltage or Current Waveform

Average value

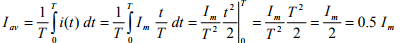
The current waveform shown in Fig. 12.3a, is periodic in nature, with time period, T. It is positive for first half cycle, while it is negative for second half cycle. The average value of the waveform, i(t) is defined as

Generation of Sinusoidal Voltage Waveform (AC) & Some Fundamental Concepts | Basic Electrical Technology - Electrical Engineering (EE)

Please note that, in this case, only half cycle, or half of the time period, is to be used for computing the average value, as the average value of the waveform over full cycle is zero (0).

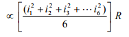
If the half time period (T/2) is divided into 6 equal time intervals (ΔT),

Generation of Sinusoidal Voltage Waveform (AC) & Some Fundamental Concepts | Basic Electrical Technology - Electrical Engineering (EE)

Please note that no. of time intervals is n = 6.

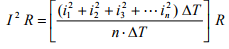
Root Mean Square (RMS) value

For this current in half time period subdivided into 6 time intervals as given above, in the resistance R, the average value of energy dissipated is given by

Generation of Sinusoidal Voltage Waveform (AC) & Some Fundamental Concepts | Basic Electrical Technology - Electrical Engineering (EE)

Generation of Sinusoidal Voltage Waveform (AC) & Some Fundamental Concepts | Basic Electrical Technology - Electrical Engineering (EE)
Generation of Sinusoidal Voltage Waveform (AC) & Some Fundamental Concepts | Basic Electrical Technology - Electrical Engineering (EE)

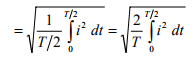
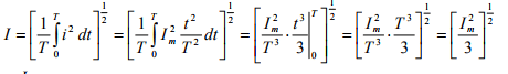
The graph of the square of the current waveform, i 2(t) is shown in Fig. 12.3b. Let I be the value of the direct current that produces the same energy dissipated in the resistance R, as produced by the periodic waveform with half time period subdivided into n time intervals,

Generation of Sinusoidal Voltage Waveform (AC) & Some Fundamental Concepts | Basic Electrical Technology - Electrical Engineering (EE)
Generation of Sinusoidal Voltage Waveform (AC) & Some Fundamental Concepts | Basic Electrical Technology - Electrical Engineering (EE)

Generation of Sinusoidal Voltage Waveform (AC) & Some Fundamental Concepts | Basic Electrical Technology - Electrical Engineering (EE)

This value is termed as Root Mean Square (RMS) or effective one. Also to be noted that the same rms value of the current is obtained using the full cycle, or the time period.

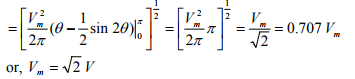
Average and RMS Values of Sinusoidal Voltage Waveform

Generation of Sinusoidal Voltage Waveform (AC) & Some Fundamental Concepts | Basic Electrical Technology - Electrical Engineering (EE)
Generation of Sinusoidal Voltage Waveform (AC) & Some Fundamental Concepts | Basic Electrical Technology - Electrical Engineering (EE)

As shown earlier, normally the voltage generated, which is also transmitted and then distributed to the consumer, is the sinusoidal waveform with a frequency of 50 Hz in this country. The waveform of the voltage v(t), and the square of waveform, v2 (t), are shown in figures 12.4a and12.4b respectively.

Generation of Sinusoidal Voltage Waveform (AC) & Some Fundamental Concepts | Basic Electrical Technology - Electrical Engineering (EE)
Generation of Sinusoidal Voltage Waveform (AC) & Some Fundamental Concepts | Basic Electrical Technology - Electrical Engineering (EE)

Generation of Sinusoidal Voltage Waveform (AC) & Some Fundamental Concepts | Basic Electrical Technology - Electrical Engineering (EE)

Generation of Sinusoidal Voltage Waveform (AC) & Some Fundamental Concepts | Basic Electrical Technology - Electrical Engineering (EE)

Generation of Sinusoidal Voltage Waveform (AC) & Some Fundamental Concepts | Basic Electrical Technology - Electrical Engineering (EE)

If time t, is used as a variable, instead of angleθ ,
Generation of Sinusoidal Voltage Waveform (AC) & Some Fundamental Concepts | Basic Electrical Technology - Electrical Engineering (EE)

In the same way, the rms value, V can be determined.

If the average value of the above waveform is computed over total time period T, it comes out as zero, as the area of first (positive) half cycle is the same as that of second (negative) half cycle. However, the rms value remains same, if it is computed over total time period.

The different factors are defined as:

Generation of Sinusoidal Voltage Waveform (AC) & Some Fundamental Concepts | Basic Electrical Technology - Electrical Engineering (EE)

Note: The rms value is always greater than the average value, except for a rectangular waveform, in which case the heating effect remains constant, so that the average and the rms values are same.

Example

The examples of the two waveforms given are periodic in nature.

1. Triangular current waveform (Fig. 12.5)

Time period = T

Generation of Sinusoidal Voltage Waveform (AC) & Some Fundamental Concepts | Basic Electrical Technology - Electrical Engineering (EE)

Generation of Sinusoidal Voltage Waveform (AC) & Some Fundamental Concepts | Basic Electrical Technology - Electrical Engineering (EE)

Generation of Sinusoidal Voltage Waveform (AC) & Some Fundamental Concepts | Basic Electrical Technology - Electrical Engineering (EE)

Generation of Sinusoidal Voltage Waveform (AC) & Some Fundamental Concepts | Basic Electrical Technology - Electrical Engineering (EE)

Generation of Sinusoidal Voltage Waveform (AC) & Some Fundamental Concepts | Basic Electrical Technology - Electrical Engineering (EE)

Two factors of the waveform are:

Generation of Sinusoidal Voltage Waveform (AC) & Some Fundamental Concepts | Basic Electrical Technology - Electrical Engineering (EE)

To note that the form factor is slightly higher than that for the sinusoidal waveform, while the peak factor is much higher.

Generation of Sinusoidal Voltage Waveform (AC) & Some Fundamental Concepts | Basic Electrical Technology - Electrical Engineering (EE)

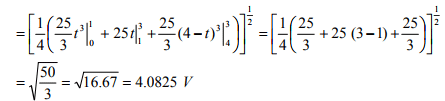
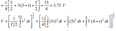
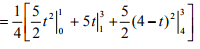
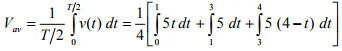
2. Trapezoidal voltage waveform (Fig. 12.6)
Time period (T) = 8 ms
Half time period (T/2) = 8/2 = 4 ms

Generation of Sinusoidal Voltage Waveform (AC) & Some Fundamental Concepts | Basic Electrical Technology - Electrical Engineering (EE)
Generation of Sinusoidal Voltage Waveform (AC) & Some Fundamental Concepts | Basic Electrical Technology - Electrical Engineering (EE)

Please note that time, t is in ms, and slope, m is in V/ms. Also to be noted that, as in the case of sinusoidal waveform, only half time period is taken here for the computation of the average and rms values.

Generation of Sinusoidal Voltage Waveform (AC) & Some Fundamental Concepts | Basic Electrical Technology - Electrical Engineering (EE)

Generation of Sinusoidal Voltage Waveform (AC) & Some Fundamental Concepts | Basic Electrical Technology - Electrical Engineering (EE)

Generation of Sinusoidal Voltage Waveform (AC) & Some Fundamental Concepts | Basic Electrical Technology - Electrical Engineering (EE)

Generation of Sinusoidal Voltage Waveform (AC) & Some Fundamental Concepts | Basic Electrical Technology - Electrical Engineering (EE)

Two factors of the waveform are:

Generation of Sinusoidal Voltage Waveform (AC) & Some Fundamental Concepts | Basic Electrical Technology - Electrical Engineering (EE)

To note that the both the above factors are slightly lower than those for the sinusoidal waveform.

Similarly, the average and rms or effective values of periodic voltage or current waveforms can be computed.

In this lesson, starting with the generation of single phase ac voltage, the terms, such as average and rms values, related to periodic voltage and current waveforms are explained with examples. In the next lesson, the background material required – the representation of sinusoidal voltage/current as phasors, the rectangular and polar forms of the phasors, as complex quantity, and the mathematical operations – addition/subtraction and multiplication/division, using phasors as complex quantity, are discussed in detail with numerical examples. In the following lessons, the study of circuits fed from single phase ac supply, is presented.

The document Generation of Sinusoidal Voltage Waveform (AC) & Some Fundamental Concepts | Basic Electrical Technology - Electrical Engineering (EE) is a part of the Electrical Engineering (EE) Course Basic Electrical Technology.
All you need of Electrical Engineering (EE) at this link: Electrical Engineering (EE)
74 docs|62 tests

FAQs on Generation of Sinusoidal Voltage Waveform (AC) & Some Fundamental Concepts - Basic Electrical Technology - Electrical Engineering (EE)

1. How is a sinusoidal voltage waveform generated in AC circuits?
Ans. A sinusoidal voltage waveform is generated in AC circuits through the use of alternating current. Alternating current continuously changes direction, resulting in a voltage waveform that oscillates between positive and negative values. This oscillation produces a sinusoidal waveform.
2. What are some fundamental concepts related to sinusoidal voltage waveforms?
Ans. Some fundamental concepts related to sinusoidal voltage waveforms include amplitude, frequency, and phase. The amplitude represents the peak value of the waveform, the frequency is the number of oscillations per second, and the phase indicates the position of the waveform relative to a reference point.
3. How can the amplitude of a sinusoidal voltage waveform be changed?
Ans. The amplitude of a sinusoidal voltage waveform can be changed by adjusting the voltage source. For example, in a circuit with a variable transformer, the output voltage can be increased or decreased by adjusting the transformer's settings. Additionally, amplifiers can be used to increase the amplitude of a signal.
4. What is the significance of frequency in a sinusoidal voltage waveform?
Ans. Frequency is a significant parameter in a sinusoidal voltage waveform as it determines the number of oscillations or cycles that occur per second. It is measured in hertz (Hz). Different applications and devices require specific frequencies, and understanding the frequency of a waveform is essential for designing and operating electrical systems effectively.
5. How does phase affect sinusoidal voltage waveforms?
Ans. Phase refers to the position of a sinusoidal voltage waveform relative to a reference point. It indicates whether the waveform is ahead of or behind the reference point in time. Phase shifts occur when waveforms are combined or pass through different components in a circuit. Understanding the phase is crucial for analyzing circuit behavior, including voltage and current relationships in AC circuits.
Related Searches

Generation of Sinusoidal Voltage Waveform (AC) & Some Fundamental Concepts | Basic Electrical Technology - Electrical Engineering (EE)

,

Extra Questions

,

practice quizzes

,

Sample Paper

,

Important questions

,

Viva Questions

,

Objective type Questions

,

pdf

,

Previous Year Questions with Solutions

,

past year papers

,

study material

,

mock tests for examination

,

Generation of Sinusoidal Voltage Waveform (AC) & Some Fundamental Concepts | Basic Electrical Technology - Electrical Engineering (EE)

,

video lectures

,

ppt

,

Exam

,

Free

,

Semester Notes

,

Summary

,

Generation of Sinusoidal Voltage Waveform (AC) & Some Fundamental Concepts | Basic Electrical Technology - Electrical Engineering (EE)

,

shortcuts and tricks

,

MCQs

;