Geometric Mean (G.M.) | Quantitative Aptitude for CA Foundation PDF Download

If a, G, b are in G. P., then G is called the geometric mean between a and b.

If three numbers are in G. P., the middle one is called the geometric mean between the other two.

If a, G1, G2, ..., Gn, b are in G. P.,

then G1, G2, ..., G are called n  G. M.'s between a and b.

The geometric mean of n numbers is defined as the nth root of their product.

Thus if a1, a2, ..., an are n numbers, then their

G. M. = (a1, a2, ... an)1/n

Let G be the G. M. between a and b, then a, G, b are in G. P.

Geometric Mean (G.M.) | Quantitative Aptitude for CA Foundation

or, G2 =ab

or G = √ab

∴  Geometric Mean (G.M.) | Quantitative Aptitude for CA Foundation

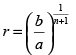
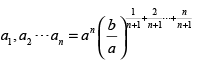
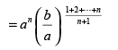
Given any two positive numbers a and b, any number of geometric means can be inserted  a1, a2, a3 ..., abe n geometric means between a and b.

then, a1, a2, a3 ..., a,b is a G.P.

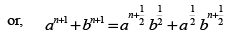
Thus, b being the (n + 2)th term, we have

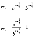
b = arn+1

or, rn+1 = b/a

or,  Geometric Mean (G.M.) | Quantitative Aptitude for CA Foundation

Hence, Geometric Mean (G.M.) | Quantitative Aptitude for CA Foundation

Geometric Mean (G.M.) | Quantitative Aptitude for CA Foundation

.......     .......

......    .......

Geometric Mean (G.M.) | Quantitative Aptitude for CA Foundation

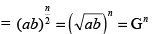
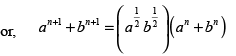
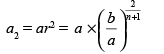
Further we can show that the product of these n  G. M.'s is equal to nth power of the single geometric mean between a and b.

Multiplying a1, a2, ... an, we have

Geometric Mean (G.M.) | Quantitative Aptitude for CA Foundation

Geometric Mean (G.M.) | Quantitative Aptitude for CA Foundation

Geometric Mean (G.M.) | Quantitative Aptitude for CA Foundation

Geometric Mean (G.M.) | Quantitative Aptitude for CA Foundation

Geometric Mean (G.M.) | Quantitative Aptitude for CA Foundation

= (single G. M. between a and b)n

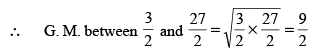
Example 1. Find the G. M. between 3/2 and 27/2.

Solution: We know that if a is the G. M. between a and b, then

G = √ab

Geometric Mean (G.M.) | Quantitative Aptitude for CA Foundation

Example 2. Insert three geometric means between 1 and 256.

Solution: Let G1, G2, G3, be the three geometric means between 1 and 256.

Then 1, G1, G2, G3, 256 are in G. P.

If r be the common ratio, then t5 = 256

i.e, ar4 = 256 = 1

r4 = 256

or, r2 = 16

or r =  ± 4

When r = 4, G1 = 1. 4 = 4, G2 = 1. (4)2 = 16 and G= 1. (4)3 = 64

When r = – 4, G1 = – 4, G2 = (1) (–4)2 = 16 and G3 = (1) (–4)3 = –64

∴ G.M. between 1 and 256 are 4, 16, 64, or, – 4, 16, –64.

Example 3. If 4, 36, 324 are in G. P. insert two more numbers in this progression so thatit again forms a G. P.

Solution:  G. M. between 4 and  Geometric Mean (G.M.) | Quantitative Aptitude for CA Foundation

 G. M. between 36 and Geometric Mean (G.M.) | Quantitative Aptitude for CA Foundation  

If we introduce 12 between 4 and 36 and 108 betwen 36 and 324, the numbers 4, 12, 36, 108, 324 form a G. P. 

∴ The two new numbers inserted are 12 and 108.

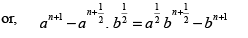
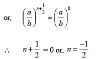
Example 4. Find the value of n such that Geometric Mean (G.M.) | Quantitative Aptitude for CA Foundation  may be the geometric mean between a and b.

Solution:  If x be G. M. between a and b, then

x = a1/2.b1/2

Geometric Mean (G.M.) | Quantitative Aptitude for CA Foundation

Geometric Mean (G.M.) | Quantitative Aptitude for CA Foundation

Geometric Mean (G.M.) | Quantitative Aptitude for CA Foundation

Geometric Mean (G.M.) | Quantitative Aptitude for CA Foundation

Geometric Mean (G.M.) | Quantitative Aptitude for CA Foundation

Geometric Mean (G.M.) | Quantitative Aptitude for CA Foundation

Geometric Mean (G.M.) | Quantitative Aptitude for CA Foundation

The document Geometric Mean (G.M.) | Quantitative Aptitude for CA Foundation is a part of the CA Foundation Course Quantitative Aptitude for CA Foundation.
All you need of CA Foundation at this link: CA Foundation
101 videos|209 docs|89 tests

FAQs on Geometric Mean (G.M.) - Quantitative Aptitude for CA Foundation

1. What is the formula for calculating the geometric mean?
Ans. The formula for calculating the geometric mean is obtained by taking the nth root of the product of n numbers. It can be expressed as GM = (x1 * x2 * x3 * ... * xn)^(1/n), where x1, x2, x3, ..., xn are the given numbers.
2. How is the geometric mean different from the arithmetic mean?
Ans. The geometric mean is different from the arithmetic mean as it is calculated by taking the nth root of the product of numbers, whereas the arithmetic mean is calculated by summing up the numbers and dividing by the count of numbers. The geometric mean is commonly used to find the average growth rate or average ratio of numbers.
3. What are the applications of the geometric mean in real life?
Ans. The geometric mean has various applications in real life scenarios. It is commonly used in finance to calculate compound interest rates, investment returns, and portfolio performance. It is also used in statistics to compare growth rates, calculate average rates of change, and in various scientific calculations.
4. Is the geometric mean affected by extreme values in a dataset?
Ans. Yes, the geometric mean is affected by extreme values in a dataset. Since it involves taking the product of numbers, if there are extreme values (very large or very small), they can significantly impact the result. Therefore, it is important to consider the nature of the dataset and the presence of outliers before using the geometric mean.
5. Can the geometric mean be used for negative numbers?
Ans. No, the geometric mean cannot be directly used for negative numbers. It is defined for non-negative numbers only. However, if the negative numbers are in the form of ratios or proportions, they can be converted into positive numbers and the geometric mean can then be applied.
Related Searches

study material

,

shortcuts and tricks

,

Viva Questions

,

pdf

,

mock tests for examination

,

Summary

,

ppt

,

video lectures

,

Geometric Mean (G.M.) | Quantitative Aptitude for CA Foundation

,

Extra Questions

,

Sample Paper

,

Exam

,

Semester Notes

,

Free

,

past year papers

,

practice quizzes

,

Previous Year Questions with Solutions

,

Objective type Questions

,

MCQs

,

Important questions

,

Geometric Mean (G.M.) | Quantitative Aptitude for CA Foundation

,

Geometric Mean (G.M.) | Quantitative Aptitude for CA Foundation

;