Geometric Progression | Quantitative Aptitude for CA Foundation PDF Download

Geometric Progression

Let us consider the following sequence of numbers :

(1) 1, 2, 4, 8, 16, .....

(2) 3, 1, 1/3, 1/9, 1/27,.....

(3) 1, – 3, 9, – 27, ..... 

(4) x, x2 , x, x4 , .......

If we see the patterns of the terms of every sequence in the above examples each term is related to the leading term by a definite rule. 

For Example (1), the first term is 1, the second term is twice the first term, the third term is 22 times of the leading term.

Again for Example (2), the first term is 3, the second term is 1/3 times of the first term, third term is 1/32 times of the first term.

A sequence with this property is called a gemetric progression.

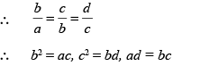
A sequence of numbers in which the ratio of any term to the term which immediately precedes is the same non zero number (other than1), is called a geometric progression or simply G. P.

This ratio is called the common ratio.

Thus,  Geometric Progression | Quantitative Aptitude for CA Foundation is called the common ratio of the geometric progression.

Examples (1) to (4) are geometric progressions with the first term 1, 3, 1,x and with common ratio 2, 1/3, -3 and x respectively.

The most general form of a G. P. with the first term a and common ratio r is a, ar, ar2, ar3,.....

General Term-

Let us consider a geometric progression with the first term a and common ratio r. Then its terms are given by 
 a, ar, ar2, ar3,.....

In this case,
 t1 = a = ar1-1
 t2 = ar = ar2-1
 t3= ar2 = ar3-1
 t4 = ar3 = ar4-1
 ..... .....

On generalisation, we get the expression for the nth term as 

tn = arn-1 ........(A)

Some Properties of a G.P.

(i) If all the terms of a G. P. are multiplied by the same non-zero quantity, the resulting series is also in G. P. The resulting G. P. has the same common ratio as the original one.

If a, b, c, d, ... are in G. P.

then ak, bk, ck, dk ... are also in G. P. ( k ≠ 0)

(ii) If all the terms of a G. P. are raised to the same power, the resulting series is also in G. P.

Let a, b, c, d ... are in G. P. 

then ak, bk, ck, dk, ... are also in G. P. ( k ≠ 0 ) 

The common ratio of the resulting G. P. will be obtained by raising the same power to the original common ratio.

Example 1.  Find the 6th term of the G.P.:  4, 8, 16, ..

Solution : In this case the first term (a) = 4 

Common ratio (r) = 8 ÷ 4 = 2

Now using the formula tn = arn–1, we get

t6 = 4 × 2 6–1 = 4 × 32 = 128

Hence, the 6th term of the G. P. is 128.

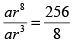
Example 2. The 4th and the 9th term of a G. P. are 8 and 256 respectively. Find the G.P. 

Solution : Let a be the first term and r be the common ratio of the G. P., then

t4 = ar4–1 = ar3 

t9 = ar9–1 = ar8

According to the question, ar8 = 256 ....... (1)

and ar3 = 8 ......(2)

∴  Geometric Progression | Quantitative Aptitude for CA Foundation

or r5 = 32 = 25

∴  r = 2

Again from (2), a × 2 3 = 8

∴ a = 8/8 = 1

Therefore,  the G.P. is 1, 2, 4, 8, 16, ...

Example 3. Which term of the G. P.:  5, –10, 20, – 40, ... is 320?

Solution :  In this case, a = 5; r = -10/2 = -5

Suppose that 320 is the nth term of the G. P.

By the formula, tn = arn–1, we get

tn = 5. (–2)n–1

∴ 5. (–2)n–1 = 320     (Given)

∴ (–2)n–1 = 64 = (–2)

∴ n – 1 = 6 

∴ n = 7 Hence, 320 is the 7th term of the G. P.

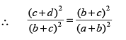
Example 4. If a, b, c, and d are in G. P., then show that (a + b)2, (b + c)2, and (c + d)are also in G. P.

Solution : Since a, b, c, and d are in G. P.,

Geometric Progression | Quantitative Aptitude for CA Foundation .......(1)

Now, (a + b)2 (c + d)2 = [( a + b ) ( c + d )]2 = (ac + bc + ad + bd)2 

= (b2 + c2 + 2bc)2 ...[Using (1)]

= [(b + c)2]2

Geometric Progression | Quantitative Aptitude for CA Foundation

Thus, (a + b)2, (b + c)2, (c + d)2 are in G. P.

The document Geometric Progression | Quantitative Aptitude for CA Foundation is a part of the CA Foundation Course Quantitative Aptitude for CA Foundation.
All you need of CA Foundation at this link: CA Foundation
101 videos|209 docs|89 tests

FAQs on Geometric Progression - Quantitative Aptitude for CA Foundation

1. What is the formula for finding the nth term of a geometric progression?
Ans. The formula for finding the nth term of a geometric progression is given by: $$a_n = a_1 \cdot r^{(n-1)}$$ where $a_n$ is the nth term, $a_1$ is the first term, r is the common ratio, and n is the term number.
2. How do you determine if a sequence is a geometric progression?
Ans. To determine if a sequence is a geometric progression, you need to check if the ratio between consecutive terms is constant. If the ratio between any two consecutive terms is the same, then the sequence is a geometric progression.
3. What is the sum formula for a finite geometric progression?
Ans. The sum formula for a finite geometric progression is given by: $$S_n = \frac{a_1 \cdot (1 - r^n)}{1 - r}$$ where $S_n$ is the sum of the first n terms, $a_1$ is the first term, r is the common ratio, and n is the number of terms.
4. How do you find the common ratio of a geometric progression?
Ans. To find the common ratio of a geometric progression, you need to divide any term by its previous term. The result will be the common ratio. For example, if the second term is 4 and the first term is 2, then the common ratio is 4/2 = 2.
5. Can the common ratio of a geometric progression be negative?
Ans. Yes, the common ratio of a geometric progression can be negative. The sign of the common ratio determines the direction of the progression. A positive common ratio indicates an increasing sequence, while a negative common ratio indicates a decreasing sequence.
Related Searches

Exam

,

Semester Notes

,

Sample Paper

,

mock tests for examination

,

Viva Questions

,

shortcuts and tricks

,

Previous Year Questions with Solutions

,

study material

,

Objective type Questions

,

past year papers

,

MCQs

,

practice quizzes

,

Summary

,

pdf

,

Geometric Progression | Quantitative Aptitude for CA Foundation

,

Geometric Progression | Quantitative Aptitude for CA Foundation

,

Free

,

Geometric Progression | Quantitative Aptitude for CA Foundation

,

video lectures

,

ppt

,

Extra Questions

,

Important questions

;