Chemistry Exam  >  Chemistry Notes  >  Physical Chemistry  >  Gibbs-Duhem Equation & Chemical Potential

Gibbs-Duhem Equation & Chemical Potential | Physical Chemistry PDF Download

Gibbs-Duhem Equation

An important relationship among the differentials of the chemical potentials for a system follows from the relationships we have just developed. From the fact that the Gibbs free energy,  G(P,T,nA,nB,nC,nD) , is homogeneous of order one in the composition variables, we find that the Gibbs free energy of the system is related to its partial molar derivatives by
Gibbs-Duhem Equation & Chemical Potential | Physical Chemistry
The differential of the left hand side is
Gibbs-Duhem Equation & Chemical Potential | Physical Chemistry 
and the differential of the right hand side is
Gibbs-Duhem Equation & Chemical Potential | Physical Chemistry
Since these differential expressions must be equal, we have
Gibbs-Duhem Equation & Chemical Potential | Physical Chemistry
for any change in this system.
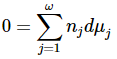
While we have considered the particular case of a system containing the species  A, B, C, and D, it is clear that the same arguments apply to any system. For a system that contains  ω  species, we can write the result in general form as
Gibbs-Duhem Equation & Chemical Potential | Physical Chemistry
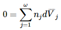
This relationship is known as the chemical-potential Gibbs-Duhem equation. It is a constraint on the  dμj  that must be satisfied when any change occurs in a system whose thermodynamic functions are continuous functions of its composition variables. If pressure and temperature are constant and this equation is satisfied, the system is at equilibrium—it is on a Gibbsian equilibrium manifold—and the chemical-potential Gibbs-Duhem equation becomes
Gibbs-Duhem Equation & Chemical Potential | Physical Chemistry
In the next two sections, we develop a particularly useful expression for  dμj . We can obtain similar relationships for other partial molar quantities. These relationships are also called Gibbs-Duhem equations. Because the derivation requires only that the thermodynamic function be homogeneous of order one, the same relationships exist among the differentials of the partial molar derivatives of any extensive thermodynamic function. For partial molar volumes at constant pressure and temperature, we find
Gibbs-Duhem Equation & Chemical Potential | Physical Chemistry

Dependence of Chemical Potential on Other Variables

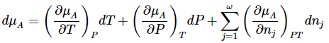
The chemical potential of a substance in a particular system is a function of all of the variables that affect the Gibbs free energy of the system. For component  A , we can express this by writing
Gibbs-Duhem Equation & Chemical Potential | Physical Chemistry 
for which the total differential is
Gibbs-Duhem Equation & Chemical Potential | Physical Chemistry
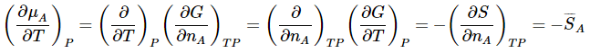
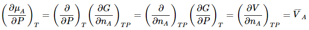
Recalling the definition of the chemical potential and the fact that the mixed second-partial derivatives of a state function are equal, we have
Gibbs-Duhem Equation & Chemical Potential | Physical Chemistry
Similarly,
Gibbs-Duhem Equation & Chemical Potential | Physical Chemistry
Thus, the total differential of the chemical potential for species A can be written as
Gibbs-Duhem Equation & Chemical Potential | Physical Chemistry
To illustrate the utility of this result, we can use it to derive the Clapeyron equation for equilibrium between two phases of a pure substance. We can now use the total differential of the chemical potential to present essentially the same derivation using a simpler argument. Letting the two phases be α and β, the total differentials for a system that contains both phases becomes
Gibbs-Duhem Equation & Chemical Potential | Physical Chemistry
and
Gibbs-Duhem Equation & Chemical Potential | Physical Chemistry
Since equilibrium between phases α and β means that  μαβ, we have also that  dμα=dμβ for any process in which the phase equilibrium is maintained. Moreover, α and  β are pure phases, so that μα and μβ are independent of nα and nβ. Then
Gibbs-Duhem Equation & Chemical Potential | Physical Chemistry
Hence,
Gibbs-Duhem Equation & Chemical Potential | Physical Chemistry
and the rest of the derivation follows as before.

The document Gibbs-Duhem Equation & Chemical Potential | Physical Chemistry is a part of the Chemistry Course Physical Chemistry.
All you need of Chemistry at this link: Chemistry
84 videos|142 docs|67 tests

FAQs on Gibbs-Duhem Equation & Chemical Potential - Physical Chemistry

1. What is the Gibbs-Duhem equation?
Ans. The Gibbs-Duhem equation is a mathematical relationship that describes the dependence of chemical potential on other variables in a system. It states that the sum of the chemical potentials of all the components in a system, multiplied by their respective mole fractions, is equal to zero.
2. How does the Gibbs-Duhem equation relate to the chemical potential?
Ans. The Gibbs-Duhem equation relates the chemical potential of each component in a system to changes in temperature, pressure, and composition. It provides a mathematical framework to understand how the chemical potential of one component changes with respect to changes in other variables.
3. Why is the Gibbs-Duhem equation important in thermodynamics?
Ans. The Gibbs-Duhem equation is important in thermodynamics because it allows us to understand and predict the behavior of chemical systems. By considering the relationship between chemical potential and other variables, such as temperature and pressure, we can analyze phase equilibria, chemical reactions, and the behavior of mixtures.
4. Can the Gibbs-Duhem equation be applied to any chemical system?
Ans. Yes, the Gibbs-Duhem equation can be applied to any chemical system, as long as it is in equilibrium. It is a fundamental equation in thermodynamics and is valid for both ideal and non-ideal solutions, as well as for pure substances.
5. How can the Gibbs-Duhem equation be derived?
Ans. The Gibbs-Duhem equation can be derived from the fundamental equations of thermodynamics, such as the equations for entropy and enthalpy. It involves applying the chain rule to differentiate the total differential of the Gibbs free energy with respect to temperature, pressure, and composition. The resulting equation represents the relationship between chemical potentials and other variables in a system.
Related Searches

study material

,

shortcuts and tricks

,

mock tests for examination

,

past year papers

,

practice quizzes

,

Gibbs-Duhem Equation & Chemical Potential | Physical Chemistry

,

Gibbs-Duhem Equation & Chemical Potential | Physical Chemistry

,

Free

,

Semester Notes

,

Exam

,

Objective type Questions

,

Viva Questions

,

ppt

,

Summary

,

pdf

,

MCQs

,

Previous Year Questions with Solutions

,

Gibbs-Duhem Equation & Chemical Potential | Physical Chemistry

,

Important questions

,

video lectures

,

Sample Paper

,

Extra Questions

;