Civil Engineering (CE) Exam  >  Civil Engineering (CE) Notes  >  Gradients and Related Operators

Gradients and Related Operators - Civil Engineering (CE) PDF Download

Gradients and related operators 
In this section, we consider scalar and vector-valued functions that assign a scalar and vector to each element in the subset of the set of position vectors for the points in 3D space. If x denotes the position vector of points in the 3D space, then Gradients and Related Operators - Civil Engineering (CE)  is a function that assigns a scalar Φ to each point in the 3D space of interest and Φ is called the scalar field. A few examples of scalar fields are temperature, density, energy. Similarly, the vector field û(x) assigns a vector to each point in the 3D space of interest. Displacement, velocity, acceleration are a few examples of vector fields.

Let Gradients and Related Operators - Civil Engineering (CE) denote the region of the 3D space that is of interest, that is the set of position vectors of points that is of interest in the 3D space. Then a scalar field Φ, defined on a domain   Gradients and Related Operators - Civil Engineering (CE)  is said to be continuous if

Gradients and Related Operators - Civil Engineering (CE)

where Gradients and Related Operators - Civil Engineering (CE) denote the set of all position vectors of points in the 3D space  a is a constant vector. The scalar field φ is said to be differential if there exist a vector field w such that 

Gradients and Related Operators - Civil Engineering (CE)

It can be shown that there is at most one vector field, w satisfying the above equation (proof omitted). This unique vector field w is called the gradient of Φ and denoted by grad(Φ).
The properties of continuity and differentiability are attributed to a vector field u and a tensor field T defined on a domain D, if they apply to the scalar field u·a and a · Tba and bGradients and Related Operators - Civil Engineering (CE) Given that the vector field u, is differentiable, the gradient of u denoted by

Gradients and Related Operators - Civil Engineering (CE) 

The divergence and the curl of a vector u denoted as div(u) and curl(u), are respectively scalar valued and vector valued and are defined by

Gradients and Related Operators - Civil Engineering (CE)

When the tensor field T is differentiable, its divergence denoted by div(T), is the vector field defined by

Gradients and Related Operators - Civil Engineering (CE)

If grad(Φ) exist and is continuous, Φ is said to be continuously differentiable and this property extends to u and T if grad(u · a) and grad(a · Tb) exist and are continuous for all a, b ∈ Gradients and Related Operators - Civil Engineering (CE)

An important identity: For a continuously differentiable vector field, u

div((grad(u))t ) = grad(div(u)).                                              (2.211)

(Proof omitted)
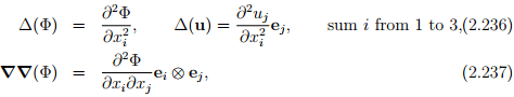
Let Φ and u be some scalar and vector field respectively. Then, the Laplacian operator, denoted by ∆ (or by ∇2 ), is defined as

∆(Φ) = div(grad(Φ)), ∆(u) = div(grad(u)).                          (2.212)

The Hessian operator, denoted by ∇∇ is defined as

∇∇(Φ) = grad(grad(Φ))                                                      (2.213)

If a vector field u is divergence free (i.e. div(u) = 0) then it is called solenoidal. It is called irrotational if curl(u) = o. It can be established that

curl(curl(u)) = grad(div(u)) − ∆(u).                                       (2.214)

Consequently, if a vector field, u is both solenoidal and irrotational, then ∆(u) = o (follows from the above equation) and such a vector field is said to be harmonic. If a scalar field Φ satisfies ∆(Φ) = 0, then Φ is said to be harmonic.

Potential theorem: Let u be a smooth point field on an open or closed simply connected region R and let curl(u) = o. Then there is a continuously differentiable scalar field on R such that

u = grad(Φ)                                                                     (2.215)

From the definition of grad (2.207), it can be seen that it is a linear operator. That is,

Gradients and Related Operators - Civil Engineering (CE)

Consequently, all other operators div, ∆ are also linear operators.

Before concluding this section we collect a few identities that are useful subsequently. Here Φ, Ψ are scalar fields, u, v are vector fields and A is second order tensor field.

Gradients and Related Operators - Civil Engineering (CE)

Till now, in this section we defined all the quantities in closed form but we require them in component form to perform the actual calculations. This would be the focus in the reminder of this section. In the following, let ei denote the Cartesian basis vectors and xi i = 1, 2, 3, the Cartesian coordinates.

Let Φ be differentiable scalar field, then it follows from equation (2.206), on replacing a by the base vectors ei in turn, that the partial derivatives  Gradients and Related Operators - Civil Engineering (CE) exist in D and that, moreover, w= Gradients and Related Operators - Civil Engineering (CE) . Hence

Gradients and Related Operators - Civil Engineering (CE)

Let u be differentiable vector field in D and a some constant vector in E. Then, using (2.228) we compute

Gradients and Related Operators - Civil Engineering (CE)

where ap and up are the Cartesian components of a and u respectively. Consequently, appealing to definition (2.207) we obtain

Gradients and Related Operators - Civil Engineering (CE)

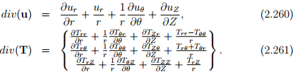
Then, according to the definition for divergence, (2.208)

Gradients and Related Operators - Civil Engineering (CE)

Next, we compute div(u ∧ a) to be
Gradients and Related Operators - Civil Engineering (CE)

using (2.231). Comparing the above result with the definition of curl in (2.209) we infer
Gradients and Related Operators - Civil Engineering (CE)

Finally, let T be a differentiable tensor field in Gradients and Related Operators - Civil Engineering (CE) , then we compute

Gradients and Related Operators - Civil Engineering (CE)

using equation (2.231). Then, we infer

Gradients and Related Operators - Civil Engineering (CE)

from the definition (2.210).

The component form for the other operators, namely Laplacian and Hessian can be obtained as respectively.

Gradients and Related Operators - Civil Engineering (CE)

Above we obtained the components of the different operators in Cartesian coordinate system, we shall now proceed to obtain the same with respect to other coordinate systems. While using the method illustrated here we could obtain the components in any orthogonal curvilinear system, we choose the cylindrical polar coordinate system for illustration.

First, we outline a general procedure to find the basis vectors for a given orthogonal curvilinear coordinates. A differential vector dp in the 3D vector space is written as dp = dxiei relative to Cartesian coordinates. The same coordinate independent vector in orthogonal curvilinear coordinates is written as

Gradients and Related Operators - Civil Engineering (CE)

where zdenotes curvilinear coordinates. But

Gradients and Related Operators - Civil Engineering (CE)

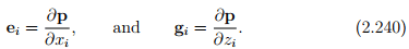
where gi is the basis vectors in the orthogonal curvilinear coordinates. Thus,
Gradients and Related Operators - Civil Engineering (CE)

Comparing equations (2.239) and (2.240) we obtain the desired transformation relation between the bases to be:

Gradients and Related Operators - Civil Engineering (CE)

The basis gso obtained will vary from point to point in the Euclidean space and will be orthogonal (by the choice of curvilinear coordinates) at each point but not orthonormal. Hence we define

Gradients and Related Operators - Civil Engineering (CE)
and use these as the basis vectors for the orthogonal curvilinear coordinates.

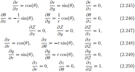
Let (x, y, z) denote the coordinates of a typical point in Cartesian coordinate system and (r, θ, Z) the coordinates of a typical point in cylindrical polar coordinate system. Then, the coordinate transformation from cylindrical polar to Cartesian and vice versa is given by:

Gradients and Related Operators - Civil Engineering (CE)

respectively. From these we compute

Gradients and Related Operators - Civil Engineering (CE)

Consequently, the orthonormal cylindrical polar basis vectors (er, eθ, eZ) and Cartesian basis vectors (e1, e2, e3) are related through the equations

Gradients and Related Operators - Civil Engineering (CE)

obtained using equation (2.242) along with a change in notation: ((ec)1, (ec )2,(ec )3) = (er, eθ, eZ).
Now, we can compute the components of grad(Φ) in cylindrical polar coordinates. Towards this, we obtain

Gradients and Related Operators - Civil Engineering (CE)

using the chain rule for differentiation.

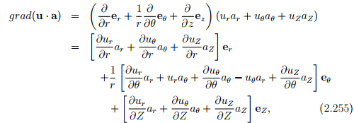
To obtain the components of grad(u) one can follow the same procedure outlined above or can compute the same using the above result and the definition of grad (2.207) as detailed below:

Gradients and Related Operators - Civil Engineering (CE)


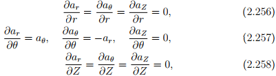
where we have used the following identities:

Gradients and Related Operators - Civil Engineering (CE)

obtained by recognizing that only the Cartesian components of a are to be treated as constants and not the cylindrical polar components, ar = acos(θ) + ay sin(θ), aθ = −ax sin(θ) + ay cos(θ), aZ = az. From (2.255) and (2.207) the matrix components of grad(u) in cylindrical polar coordinates are written as

Gradients and Related Operators - Civil Engineering (CE)

Using the techniques illustrated above the following identities can be established:

Gradients and Related Operators - Civil Engineering (CE)

The document Gradients and Related Operators - Civil Engineering (CE) is a part of Civil Engineering (CE) category.
All you need of Civil Engineering (CE) at this link: Civil Engineering (CE)

FAQs on Gradients and Related Operators - Civil Engineering (CE)

1. What is a gradient in image processing?
A gradient in image processing refers to the change in intensity or color values across an image. It represents the rate of change of pixel intensity in different directions and is often used to detect edges or boundaries within an image. The gradient can be calculated using various operators, such as the Sobel or Prewitt operators.
2. How are gradients calculated in image processing?
Gradients in image processing can be calculated using different operators, such as the Sobel, Prewitt, or Roberts operators. These operators involve convolving a small kernel or filter with the image to compute the gradient at each pixel. The kernel is usually a matrix of predefined coefficients that highlight the changes in intensity or color values across neighboring pixels.
3. What are the applications of gradients in image processing?
Gradients have various applications in image processing. They are commonly used for edge detection, where they help identify the boundaries between different regions or objects in an image. Gradients also play a crucial role in feature extraction, image enhancement, and object recognition algorithms. They provide valuable information about the local variations in an image, which can be utilized for different purposes.
4. Can gradients be used for image smoothing or blurring?
Gradients are generally not used for image smoothing or blurring. Instead, blurring or smoothing filters, such as Gaussian or median filters, are commonly employed for these tasks. Gradients are primarily used for detecting edges or boundaries, which require preserving or enhancing high-frequency components in an image. Smoothing, on the other hand, aims to reduce noise or unwanted details by averaging neighboring pixel values.
5. How do gradients help in image segmentation?
Gradients are helpful in image segmentation by highlighting the boundaries or edges between different regions or objects in an image. By calculating the gradient magnitude and direction at each pixel, it becomes possible to identify abrupt changes in intensity or color values, which often correspond to the boundaries between different objects. Gradients can be used as cues to separate and segment different regions within an image for further analysis or processing.
Download as PDF

Top Courses for Civil Engineering (CE)

Related Searches

Semester Notes

,

Gradients and Related Operators - Civil Engineering (CE)

,

Sample Paper

,

Previous Year Questions with Solutions

,

Important questions

,

study material

,

shortcuts and tricks

,

Summary

,

ppt

,

Gradients and Related Operators - Civil Engineering (CE)

,

mock tests for examination

,

Objective type Questions

,

video lectures

,

Gradients and Related Operators - Civil Engineering (CE)

,

practice quizzes

,

Viva Questions

,

pdf

,

Exam

,

Free

,

MCQs

,

Extra Questions

,

past year papers

;