Mechanical Engineering Exam  >  Mechanical Engineering Notes  >  Heat Transfer  >  Heat Transfer by Natural Convection - 3

Heat Transfer by Natural Convection - 3 | Heat Transfer - Mechanical Engineering PDF Download

Illustration 5.1

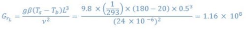
A hot oven is maintained at 180 oC having vertical door 50 cm high is exposed to the atmospheric air at 20oC. Calculate the average heat transfer coefficient at the surface of the door.

The various air properties at the average temperature [(180+20)/2 = 100oC] are,

k = 0.032 W/m oC;      Pr = 0.7;          Kinematic viscosity = 24 x 10-6 m2/s

At Tb = 20oC,  Heat Transfer by Natural Convection - 3 | Heat Transfer - Mechanical Engineering

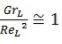
Solution 5.1

First we have to find the Grashof number,

Heat Transfer by Natural Convection - 3 | Heat Transfer - Mechanical Engineering

With the help of Gr and Pr, we can estimate the Ra number,

Ra = GrPr = 1.16 X 108 X 0.7 = 8.12 X 107

As Ra < 109, the eq.5.7 can be used,

Heat Transfer by Natural Convection - 3 | Heat Transfer - Mechanical Engineering
Heat Transfer by Natural Convection - 3 | Heat Transfer - Mechanical Engineering


5.3 Combined natural and forced convection

As we know that there is hardly any situation in which only natural or forced convective heat transfer occurs. Generally, in all the processes natural and forced convection heat transfer occur but depending upon the contribution made, the process may be approximated as either natural or forced convection problem.  However, certain situation needs to be addressed as combined natural and forced convection problem. The following is a thumb rule to determine the individual situations.

  1. Forced convection region i.e. negligible natural convection contribution Heat Transfer by Natural Convection - 3 | Heat Transfer - Mechanical Engineering
  2. Natural convection region i.e. negligible forced convection contribution Heat Transfer by Natural Convection - 3 | Heat Transfer - Mechanical Engineering
  3. Mixed convection i.e., significant contribution by both natural and forced convections Heat Transfer by Natural Convection - 3 | Heat Transfer - Mechanical Engineering

In this situation, the following equation may be used,

Heat Transfer by Natural Convection - 3 | Heat Transfer - Mechanical Engineering

where, Nu is the Nusselt number due to mixed convection, Nun is the Nusselt number due to natural convection, and Nuf is the Nusselt number due to forced convection. The value of m is generally taken as 3, whereas positive and negative signs can be used for the convection in the same and opposite directions, respectively.

 

Illustration 5.2

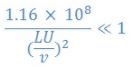
In the oven door described in illustration 5.1 is subjected to an upward flow of air (that is forced convection). What would be the minimum free stream velocity for which natural convection may be neglected?

Solution 5.2.

Section 5.3 above shows that for the following condition the effect of natural convection may be neglected,

Heat Transfer by Natural Convection - 3 | Heat Transfer - Mechanical Engineering

The value of Gr number calculated in the previous illustration was 1.16 X 108

Thus,

Heat Transfer by Natural Convection - 3 | Heat Transfer - Mechanical Engineering

U >> 0.24 m/s

Therefore, the bulk velocity of the air should be far greater that 0.24 m/s.

The document Heat Transfer by Natural Convection - 3 | Heat Transfer - Mechanical Engineering is a part of the Mechanical Engineering Course Heat Transfer.
All you need of Mechanical Engineering at this link: Mechanical Engineering
55 videos|108 docs|86 tests

FAQs on Heat Transfer by Natural Convection - 3 - Heat Transfer - Mechanical Engineering

1. What is natural convection and how does it contribute to heat transfer?
Ans. Natural convection is a type of heat transfer that occurs due to the movement of fluid caused by density differences. It happens when heated fluid expands, becomes lighter, and rises while the cooler fluid sinks. This process creates a natural circulation loop, transferring heat from the hot surface to the surroundings.
2. What factors affect natural convection heat transfer?
Ans. Several factors influence natural convection heat transfer. These include the temperature difference between the hot surface and the surrounding fluid, the physical properties of the fluid (e.g., viscosity and thermal conductivity), the geometry of the surface, and the presence of obstacles or boundaries that may disrupt the flow.
3. How can the heat transfer coefficient be calculated in natural convection?
Ans. The heat transfer coefficient in natural convection can be determined using empirical correlations. One commonly used correlation is the Nusselt number correlation, which relates the heat transfer coefficient to the Grashof number, Prandtl number, and aspect ratio of the surface. These correlations are based on experimental data and can vary depending on the specific application.
4. What are some practical applications of natural convection heat transfer?
Ans. Natural convection heat transfer finds application in various industrial processes. Some examples include cooling of electronic components, heating and ventilation systems, solar collectors, refrigeration systems, and chemical reactors. Understanding and optimizing natural convection is crucial for improving the efficiency and performance of these systems.
5. How does natural convection differ from forced convection in terms of heat transfer?
Ans. Natural convection and forced convection differ in the mechanism driving the fluid flow. In natural convection, the fluid movement is solely driven by buoyancy forces induced by temperature differences. On the other hand, forced convection involves the use of external means, such as fans or pumps, to force the fluid to circulate and enhance heat transfer. Forced convection is typically more efficient and controllable than natural convection.
Related Searches

MCQs

,

Extra Questions

,

Objective type Questions

,

shortcuts and tricks

,

Semester Notes

,

Exam

,

Viva Questions

,

Important questions

,

ppt

,

pdf

,

study material

,

Free

,

Heat Transfer by Natural Convection - 3 | Heat Transfer - Mechanical Engineering

,

past year papers

,

mock tests for examination

,

video lectures

,

Previous Year Questions with Solutions

,

Heat Transfer by Natural Convection - 3 | Heat Transfer - Mechanical Engineering

,

practice quizzes

,

Sample Paper

,

Heat Transfer by Natural Convection - 3 | Heat Transfer - Mechanical Engineering

,

Summary

;