Chemistry Exam  >  Chemistry Notes  >  Inorganic Chemistry  >  Homogeneous Catalysis in Organometallic Chemistry

Homogeneous Catalysis in Organometallic Chemistry | Inorganic Chemistry PDF Download

Introduction

In chemistry, homogeneous catalysis is catalysis in a solution by a soluble catalyst. Homogeneous catalysis refers to reactions where the catalyst is in the same phase as the reactants, principally in solution. In contrast, heterogeneous catalysis describes processes where the catalysts and substrate are in distinct phases, typically solid-gas, respectively. The term is used almost exclusively to describe solutions and implies catalysis by organometallic compounds. Homogeneous catalysis is established technology that continues to evolve. An illustrative major application is the production of acetic acid. Enzymes are examples of homogeneous catalysts.

Examples

Acid catalysis
The proton is a pervasive homogeneous catalyst because water is the most common solvent. Water forms protons by the process of self-ionization of water. In an illustrative case, acids accelerate (catalyze) the hydrolysis of esters:
CH3CO2CH3 + H2O ⇌ CH3CO2H + CH3OH
At neutral pH, aqueous solutions of most esters do not hydrolyze at practical rates.

Transition Metal-Catalysis
(i) Hydrogenation and related reactions
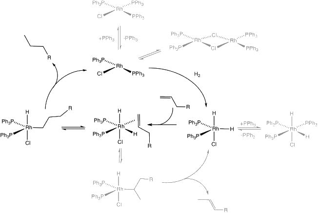
A prominent class of reductive transformations are hydrogenations. In this process, H2 added to unsaturated substrates. A related methodology, transfer hydrogenation, involves by transfer of hydrogen from one substrate (the hydrogen donor) to another (the hydrogen acceptor). Related reactions entail "HX additions" where X = silyl (hydrosilylation) and CN (hydrocyanation). Most large-scale industrial hydrogenations – margarine, ammonia, benzene-to-cyclohexane – are conducted with heterogeneous catalysts. Fine chemical syntheses, however, often rely on homogeneous catalysts.
Mechanism for the hydrogenation of an alkene catalyzed by the homogeneous catalyst Wilkinson`s catalyst.Mechanism for the hydrogenation of an alkene catalyzed by the homogeneous catalyst Wilkinson's catalyst.

(ii) Carbonylations
Hydroformylation, a prominent form of carbonylation, involves the addition of H and "C(O)H" across a double bond. This process is almost exclusively conducted with soluble rhodium- and cobalt-containing complexes
A related carbonylation is the conversion of alcohols to carboxylic acids. MeOH and CO react in the presence of homogeneous catalysts to give acetic acid, as practiced in the Monsanto process and Cativa processes. Related reactions include hydrocarboxylation and hydroesterifications.
(iii) Polymerization and metathesis of alkenes
A number of polyolefins, e.g. polyethylene and polypropylene, are produced from ethylene and propylene by Ziegler-Natta catalysis. Heterogeneous catalysts dominate, but many soluble catalysts are employed especially for stereospecific polymers. Olefin metathesis is usually catalyzed heterogeneously in industry, but homogeneous variants are valuable in fine chemical synthesis.

A constrained geometry complex. Such precatalysts are used for the production of polyolefins such as polyethylene and polypropylene.A constrained geometry complex. Such precatalysts are used for the production of polyolefins such as polyethylene and polypropylene.

(iv) Oxidations
Homogeneous catalysts are also used in a variety of oxidations. Is the Wacker process, acetaldehyde is produced from ethylene and oxygen. Many non-organometallic complexes are also widely used in catalysis, e.g. for the production of terephthalic acid from xylene. Alkenes are epoxidized and dihydroxylated by metal complexes, as illustrated by the Halcon Process and the Sharpless dihydroxylation.

Enzymes (including metalloenzymes)
Enzymes are homogeneous catalysts that are essential for life but are also harnessed for industrial processes. A well-studied example is carbonic anhydrase, which catalyzes the release of CO2 into the lungs from the bloodstream. Enzymes possess properties of both homogeneous and heterogeneous catalysts. As such, they are usually regarded as a third, separate category of catalyst. Water is a common reagent in enzymatic catalysis. Esters and amides are slow to hydrolyze in neutral water, but the rates are sharply affected by metalloenzymes, which can be viewed as large coordination complexes. Acrylamide is prepared by the enzyme-catalyzed hydrolysis of acrylonitrile. US demand for acrylamide was 253,000,000 pounds (115,000,000 kg) as of 2007.

Advantages and Disadvantages

  • Advantages
    Homogeneous catalysts are generally more selective than heterogeneous catalysts.
  • For exothermic processes, homogeneous catalysts dump heat into the solvent.
  • Homogeneous catalysts are easier to characterize precisely, so their reaction mechanisms are amenable to rational manipulation.

Disadvantages

  • The separation of homogeneous catalysts from products can be challenging. In some cases involving high activity catalysts, the catalyst is not removed from the product. In other cases, organic products are sufficiently volatile than they can be separated by distillation.
  • Homogeneous catalyst have limited thermal stability compared to heterogeneous catalysts. Many organometallic complexes degrade <100°C. Some pincer-based catalysts, however, operate near 200°C.
The document Homogeneous Catalysis in Organometallic Chemistry | Inorganic Chemistry is a part of the Chemistry Course Inorganic Chemistry.
All you need of Chemistry at this link: Chemistry
50 videos|92 docs|41 tests

FAQs on Homogeneous Catalysis in Organometallic Chemistry - Inorganic Chemistry

1. What is homogeneous catalysis in organometallic chemistry?
Ans. Homogeneous catalysis in organometallic chemistry refers to a process where a homogeneous catalyst, usually a metal complex, is used to facilitate chemical reactions in the same phase as the reactants. This catalyst is dissolved in the same solvent as the reactants, allowing for efficient and selective conversion of reactants into desired products. This type of catalysis is widely used in various industrial processes and has significant applications in organic synthesis.
2. How does homogeneous catalysis work in organometallic chemistry?
Ans. Homogeneous catalysis in organometallic chemistry typically involves the coordination of a metal center to a reactant molecule. This coordination step activates the reactant and allows it to undergo subsequent transformations more easily. The metal center can stabilize intermediate species, provide an alternative reaction pathway, or transfer electron density to facilitate bond formation or cleavage. The overall result is an acceleration of the reaction rate and enhancement of selectivity.
3. What are the advantages of homogeneous catalysis in organometallic chemistry?
Ans. Homogeneous catalysis in organometallic chemistry offers several advantages. Firstly, it enables reactions to occur under mild conditions, reducing the energy requirements and minimizing unwanted side reactions. Secondly, the use of homogeneous catalysts allows for precise control over reaction conditions, leading to high selectivity and yield. Additionally, homogeneous catalysis often exhibits high catalytic activity, enabling faster reaction rates and shorter reaction times. Finally, the homogeneous nature of the catalyst simplifies product separation and catalyst recovery.
4. What are some common examples of homogeneous catalysis in organometallic chemistry?
Ans. There are numerous examples of homogeneous catalysis in organometallic chemistry. Some commonly studied systems include transition metal complexes such as Wilkinson's catalyst (RhCl(PPh3)3), which is widely used for olefin hydrogenation. Another example is the Grubbs catalyst (Ru-based complex), employed in olefin metathesis reactions. Homogeneous catalysis is also frequently utilized in carbon-carbon bond formation using palladium-based catalysts, such as the Suzuki-Miyaura and Heck reactions. These examples highlight the versatility and importance of homogeneous catalysis in various synthetic transformations.
5. What are the challenges associated with homogeneous catalysis in organometallic chemistry?
Ans. While homogeneous catalysis in organometallic chemistry offers numerous benefits, there are also some challenges to consider. One major challenge is catalyst deactivation due to various factors, such as catalyst poisoning, aggregation, or decomposition under reaction conditions. Maintaining catalyst stability and activity over extended reaction times is crucial for achieving efficient catalysis. Another challenge is the design and synthesis of highly selective catalysts, as controlling reaction pathways and regioselectivity can be complex. Additionally, catalyst recovery and recycling can pose logistical and economic challenges, especially in large-scale processes. Ongoing research aims to address these challenges and develop improved catalyst systems for more sustainable and practical homogeneous catalysis.
Related Searches

Free

,

ppt

,

Homogeneous Catalysis in Organometallic Chemistry | Inorganic Chemistry

,

Homogeneous Catalysis in Organometallic Chemistry | Inorganic Chemistry

,

past year papers

,

Exam

,

Homogeneous Catalysis in Organometallic Chemistry | Inorganic Chemistry

,

mock tests for examination

,

MCQs

,

Previous Year Questions with Solutions

,

Semester Notes

,

shortcuts and tricks

,

Viva Questions

,

pdf

,

Important questions

,

Summary

,

study material

,

Objective type Questions

,

Sample Paper

,

Extra Questions

,

practice quizzes

,

video lectures

;