Chemistry Exam  >  Chemistry Notes  >  Physical Chemistry  >  Catalysis & Adsorption Isotherms

Catalysis & Adsorption Isotherms | Physical Chemistry PDF Download

CATALYSIS

A catalyst is a substance that participates in chemical reaction by increasing the rate of reaction, yet the catalyst itself remains intact after the reaction is complete.
The mechanism describing a catalytic process is as follows:

Catalysis & Adsorption Isotherms | Physical Chemistry

Where S represents the reactant; C is catalyst and P is the product. The reactant or substrate-catalyst complex is represented by SC and is an intermediate.
The rate expression for product formation is

 Catalysis & Adsorption Isotherms | Physical Chemistry             …(1)

Because SC is an intermediate than apply S.S.A. on the formation of SC.

Catalysis & Adsorption Isotherms | Physical Chemistry
Catalysis & Adsorption Isotherms | Physical Chemistry                               …(2)
Catalysis & Adsorption Isotherms | Physical Chemistry= composite constant 

then   Catalysis & Adsorption Isotherms | Physical Chemistry                           …(3)

The relationship between initial concentration and the concentration of all species present after the reaction is:
          [S]0 = [S] + [SC] + [P]
          [C]0 = [C] + [SC]
then   [S] = [S]– [SC] – [P]               …(4)
&        [C] = [C]0 – [SC]                             …(5)
Substituting these values in equation (2), we get

 Catalysis & Adsorption Isotherms | Physical Chemistry

Km[SC] = ([S]0 – [SC] – [P]) ([C]0 – [SC])

Catalysis & Adsorption Isotherms | Physical Chemistry 

then rate of the reaction becomes

 Catalysis & Adsorption Isotherms | Physical Chemistry

Case I.             

[C]0 <<  [S]0

i.e. much more substrate is present in comparison to catalyst. Then

 Catalysis & Adsorption Isotherms | Physical Chemistry

if                           km < [S]0

Then Catalysis & Adsorption Isotherms | Physical Chemistry

i.e. zero order reaction with respect to substrate.

&  Catalysis & Adsorption Isotherms | Physical Chemistry

Catalysis & Adsorption Isotherms | Physical Chemistry

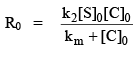
 when concentration of substrate [S]0 >> km then reaction rate

R0 = k2[C]0 = Rmax

i.e. the rate of reaction will reach a limiting value where the rate becomes zero order in substrate concentration.
 

Case II.

[C]0 >>  [S]0

 Catalysis & Adsorption Isotherms | Physical Chemistry

i.e. the reaction rate is first order in [S]0, but can be first or zero order in [C]0 depending on the size of [C]relative to km.


Homogeneous and Heterogeneous Catalysis.

A homogeneous catalyst is a catalyst that exist in the same phase as the species involved in the reaction, and heterogeneous catalysts exist in a different phase. Enzymes surve as an example of a homogeneous catalyst, they exist in solution and catalyze reactions that occur in solution.
In heterogeneous catalysis reaction, an important step in reactions involving solid catalysis is the absorption of one or more of the reactants to the solid surface. The particles absorb to the surface without changing their internal bonding. An equilibrium exists between the free and surfaceabsorbed species or adsorbate and surface adsorption and deadsorption can be obtained.
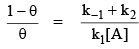
A critical parameter in evaluating surface adsorption is the fractional coverage, θ, defined as

 Catalysis & Adsorption Isotherms | Physical Chemistry

The variation of θ with pressure at fixed temperature is called adsorption isotherm.

(a)  The Langmuir Isotherm : The simplest kinetic model describing the adsorption process is known as the Langmuir model, where adsorption is described by the following mechanism

 Catalysis & Adsorption Isotherms | Physical Chemistry 

R is reagent, M is an unoccupied absorption site of catalyst and RM is an occupied adsorption site. ka and kd is the rate constant for adsorption and deadsorption.
Three approximations are employed in the Langmuir model:

(1)  Adsorption is complete once monolayer coverage has been reached.

(2)  All adsorption site are equivalent and the surface is uniform

(3)  Adsorption and deadsorption are uncooperative processes. The occupancy state of the adsorption site will not affect the probability of adsorption or deadsorption for adjacent site.

 

The rate of change in θ will depends on the rate constant for adsorption ka, reagent pressure P and the number of vacant site which is equal to the total number of adsorption sites, N, times the fraction of sites that are open (1 – θ)

 Catalysis & Adsorption Isotherms | Physical Chemistry

The change in θ due to deadsorption is 

 Catalysis & Adsorption Isotherms | Physical Chemistry

At equilibrium, the change in θ with time is zero i.e

. (ka PN + kdN) θ = kaPN

 Catalysis & Adsorption Isotherms | Physical Chemistry

Catalysis & Adsorption Isotherms | Physical Chemistry

where k is the equilibrium constant defined as Catalysis & Adsorption Isotherms | Physical Chemistry 

This equation is the equation for the Langmuir isotherm.
In many instances adsorption is accompanied by dissociation of the adsorbate, a process that is described by the following mechanism:

 Catalysis & Adsorption Isotherms | Physical Chemistry

Catalysis & Adsorption Isotherms | Physical Chemistry

&  Catalysis & Adsorption Isotherms | Physical Chemistry

The condition for no net change leads to the isotherm.

 Catalysis & Adsorption Isotherms | Physical Chemistry

i.e. the surface coverage now depends more weakly on pressure than for non-dissociative adsorption.

(b)  The BET isotherm.
If initial adsorbed layer can be act as a substance for further  adsorption, then, instead of the isotherm leveling off the some saturated value at high pressure, it can be expected to rise 

 indefinitely. The most widely used isotherm dealing with multiplayer adsorption was derived by Brunauer, Emmett and Teller, and is called the BET isotherm.

 Catalysis & Adsorption Isotherms | Physical Chemistry

P° = vapour pressure above a layer of absorbate
Vmono = volume of monolayer coverage.
C = constant The Langmuir-Hinshelwood mechanism for adsorption and catalysis.

(1)  Unimolecular surface Reaction.
A is reactant and S is the vacant site on surface.
If r is the rate of the reaction, then according to the Langnuir-H. hypothesis,

 r ∝ θ

r = k2θ

Apply S.S.A. for the formation of [AS].

 Catalysis & Adsorption Isotherms | Physical Chemistry
Catalysis & Adsorption Isotherms | Physical Chemistry

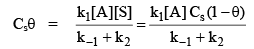
If Cs is the total concentration of act ive site on surface, then the concentration [S] of the vacant sites on the surface is equal to the product of Cs and (1 – θ). Thus

[S] = Cs (1 - θ)

Also, the concentration of AS on the surface is,

 [AS] = Csθ

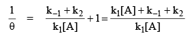
 then   Catalysis & Adsorption Isotherms | Physical Chemistry

or     Catalysis & Adsorption Isotherms | Physical Chemistry

or   Catalysis & Adsorption Isotherms | Physical Chemistry

or     Catalysis & Adsorption Isotherms | Physical Chemistry

Catalysis & Adsorption Isotherms | Physical Chemistry                   …(1)
thus, 

Catalysis & Adsorption Isotherms | Physical Chemistry                      ...(2)

The concentration is expressed in terms of partial pressure
Then

 Catalysis & Adsorption Isotherms | Physical Chemistry

or    Catalysis & Adsorption Isotherms | Physical Chemistry                  ...(3)

Two limiting cases 

Case I.

Catalysis & Adsorption Isotherms | Physical Chemistry
∴         r = k1PA it is first order w.r.t. A

Case II. k2 << k1P+ k–1

 Catalysis & Adsorption Isotherms | Physical Chemistry
Catalysis & Adsorption Isotherms | Physical Chemistry
∵ Catalysis & Adsorption Isotherms | Physical Chemistry
Catalysis & Adsorption Isotherms | Physical Chemistry

Two situations arise depending upon the pressure:

(1)  At low pressure θ → 0 and keq PA << 1 so that
Catalysis & Adsorption Isotherms | Physical Chemistry

It is first order w.r.t. PA or [A].

(a) At high pressure; θ → 1 and keqP>> 1 so that 

 r = k2
it is zero order with respect to PA or [A].

 Catalysis & Adsorption Isotherms | Physical Chemistry

(2)  Bimolecular surface reaction

Catalysis & Adsorption Isotherms | Physical Chemistry
Catalysis & Adsorption Isotherms | Physical Chemistry

then it follow the rate law

Catalysis & Adsorption Isotherms | Physical Chemistry

The document Catalysis & Adsorption Isotherms | Physical Chemistry is a part of the Chemistry Course Physical Chemistry.
All you need of Chemistry at this link: Chemistry
84 videos|142 docs|67 tests

FAQs on Catalysis & Adsorption Isotherms - Physical Chemistry

1. What is catalysis and how does it relate to adsorption isotherms?
Catalysis is a process where a catalyst speeds up the rate of a chemical reaction without being consumed in the process. Adsorption isotherms, on the other hand, describe the relationship between the amount of adsorbate (substance being adsorbed) and the concentration of the adsorbate in the gas or liquid phase at a constant temperature. Catalysis can occur on the surface of a catalyst material, and adsorption isotherms provide a way to study and understand the adsorption behavior of the reactants and products involved in catalytic reactions.
2. What are the different types of adsorption isotherms?
There are several types of adsorption isotherms commonly observed, including Langmuir, Freundlich, BET (Brunauer-Emmett-Teller), and Temkin isotherms. The Langmuir isotherm assumes a monolayer adsorption with no interaction between adsorbed molecules, while the Freundlich isotherm describes heterogeneous adsorption with varying adsorption energies. The BET isotherm considers multilayer adsorption on a solid surface, and the Temkin isotherm incorporates the interaction between adsorbed molecules.
3. How are adsorption isotherms used in catalysis research and development?
Adsorption isotherms provide valuable information about the surface properties of catalysts, including their surface area, pore size distribution, and active site availability. By studying the adsorption behavior of reactants and products on catalyst surfaces, researchers can gain insights into the mechanism of catalytic reactions and optimize catalyst design for improved performance. Adsorption isotherms also help determine the extent of catalyst poisoning or deactivation by adsorbed species.
4. What factors influence the shape of adsorption isotherms?
The shape of adsorption isotherms is influenced by various factors, including temperature, pressure, nature of the adsorbate, and properties of the adsorbent material. Higher temperatures generally result in lower adsorption capacities, while increased pressure can enhance adsorption. The nature of the adsorbate, such as its molecular size and polarity, affects the interaction with the adsorbent surface. The surface properties of the adsorbent, such as its porosity and surface charge, also play a role in determining the shape of the isotherm.
5. How can adsorption isotherms be used to determine the surface area of a catalyst material?
Adsorption isotherms, particularly the BET isotherm, can be used to estimate the surface area of a catalyst material. The BET equation relates the amount of adsorbate adsorbed to the pressure of the adsorbate gas at a given temperature. By plotting the experimental data and fitting it to the BET equation, the surface area of the catalyst material can be determined. The slope of the linear region in the BET plot provides the surface area value, which is crucial for understanding the catalytic activity and efficiency of the material.
Related Searches

Catalysis & Adsorption Isotherms | Physical Chemistry

,

Free

,

shortcuts and tricks

,

Catalysis & Adsorption Isotherms | Physical Chemistry

,

Previous Year Questions with Solutions

,

Extra Questions

,

Catalysis & Adsorption Isotherms | Physical Chemistry

,

Important questions

,

Sample Paper

,

MCQs

,

pdf

,

ppt

,

Summary

,

Objective type Questions

,

Viva Questions

,

study material

,

Semester Notes

,

past year papers

,

Exam

,

video lectures

,

practice quizzes

,

mock tests for examination

;