Chemistry Exam  >  Chemistry Notes  >  Organic Chemistry  >  Identification of Functional Groups by Chemical Tests

Identification of Functional Groups by Chemical Tests | Organic Chemistry PDF Download

Tests for the Functional Groups Present in Organic Compounds

Molecules of organic compounds except that of hydrocarbons can be divided into two parts, a reactive part which is referred to as functional group and a skeleton of carbon atoms called alkyl group. The properties of a compound are largely determined by the functional group. Different compounds having same functional group have similar properties and are classified as family of compounds. Compounds having different functional groups have different properties and belong to different families of compounds. Some of the common functional groups present in organic compounds are:
Identification of Functional Groups by Chemical Tests | Organic Chemistry

Hydrocarbons

Compounds containing only carbon and hydrogen are called hydrocarbons. The other organic compounds are derived from hydrocarbons by replacement of one or more hydrogen atoms by other atoms or group of atoms (functional group) such as —OH, —CHO, —COOH, —Cl, etc. The hydrocarbons are classified into saturated and unsaturated hydrocarbons.

Saturated Hydrocarbons (Alkanes)

These hydrocarbons contain single bonds only between C—C and between C—H. These are i saturated hydrocarbons because the four valencies of all carbon atoms are satisfied with single bonds. Because of the low reactivity, they are also called paraffins. Since carbon atoms can form long chains—straight as well as branched and rings, they are divided into two types: alkanes or aliphatic hydrocarbons and cycloalkanes. Some of the members of alkanes are:
Identification of Functional Groups by Chemical Tests | Organic Chemistry

Unsaturated Hydrocarbons (Alkenes and Alkynes)

These are the hydrocarbons which contain multiple (double or triple) carbon-carbon bonds.
Identification of Functional Groups by Chemical Tests | Organic Chemistry

Tests for Unsaturation
There are two tests for detecting unsaturation in organic compound:
1. Bromine Test.
2. Alkaline KMn04 Test.
1. Bromine Test In this test, the orange-red colour of bromine solution disappears when it is added to the unsaturated hydrocarbon to form colourless addition products.
Identification of Functional Groups by Chemical Tests | Organic Chemistry

Procedure
(i) When the compound is soluble in water. Dissolve a part of the given compound (solid or liquid) in about 2 ml of distilled water in a test-tube and add a drop of bromine water and shake.
Disappearance of orange-red. colour of bromine indicates unsaturation. Continue the addition of bromine water drop wise with constant shaking. The disappearance of orange- red colour continues so long as there are unsaturated bonds. When all the pi-bonds are broken, the orange-red colour shall persist. Bring a rod dipped in NH4OH near the mouth of the test-tube.
Absence of white fumes confirms unsaturation.
(ii) When the compound is insoluble in water. Dissolve a small amount of the given compound in 1 ml of CCl4 in a test tube and add 2% solution of bromine in CCl4. Shake the mixture.
Disappearance of orange-red colour indicates unsaturation. Continue the drop wise addition of Br2 with constant shaking until the brown colour persists. Bring a rod dipped in NH4OH near the mouth of the test-tube. Absence of white fumes confirms unsaturation. 
(iii) When the compound is a gas. Add 1-2 ml of bromine solution into a gaseous compound taken in a jar and shake. Disappearance of orange-red colour of bromine indicates unsaturation.
Note. No HBr is evolved in bromine test for unsaturation. However, some compounds such as aniline form substituted products with bromine and evolve HBr.
Caution
Handle bromine solution carefully. Avoid its context with skin. 

2. Alkaline KMnO, Test (Baeyer’s Test)
In this test, the pink colour of KMn04 disappears, when an alkaline KMn04 is added to an unsaturated hydrocarbon. The disappearance of pink colour may take place with or without the formation of brown precipitate of Mn02. 
Identification of Functional Groups by Chemical Tests | Organic Chemistry

Procedure
Dissolve a little of the given organic compound in about 2 ml of water or acetone in a test-tube. Add 1-2 drops of alkaline solution of KMn04 (1%) and shake the mixture. Decolourization of pink colour of KMn04 indicates unsaturation. 

Preparation of Reagents
1. Bromine water. Add 2 ml of liquid bromine in 100 ml of distilled water and shake. Decant off the clear liquid.
2. Bromine in CCl4. Shake 2 ml of liquid bromine in 100 ml of CCl4 and stopper the bottle.
3. Alkaline KMn04 (1%). Dissolve 1 g of KMn04 (solid) in 100 ml of distilled water. Now add 10 g of anhydrous Na2C03. Shake to dissolve and stopper the bottle.  

Alcohols
Compounds in which the hydroxyl group (—OH) is linked to aliphatic carbon chain or in the side chain of an organic compound are called alcohols. The alcohols containing one, two or three hydroxyl groups per molecule are called mono, di or trihydric alcohols respectively.
Alcohols are further classified as primary (1°), secondary (2°) and tertiary (3°) according as the —OH group is attached to primary, secondary and tertiary carbon atoms respectively. 
Identification of Functional Groups by Chemical Tests | Organic Chemistry

Tests for the Alcoholic [R-OH] Group
The alcoholic group can be detected by any of the following tests:
1. Sodium metal test.
2. Ester test.
3. Ceric ammonium nitrate test.
4. Acetyl chloride test.
5. Iodoform test for alcohols containing the 
Identification of Functional Groups by Chemical Tests | Organic Chemistry

1. Sodium metal test This test is based on the appearance of effervescence due to liberation of hydrogen gas when the alcohol is reacted with active metals like sodium.
Identification of Functional Groups by Chemical Tests | Organic Chemistry

Procedure
Take about 1 ml of the given pure liquid in a dry test-tube, add about 1 gram of anhydrous calcium sulphate and shake well to remove water. Filter or decant off the liquid to another clean dry test tube and add a small piece of sodium metal.
A brisk effervescence due to the evolution of hydrogen gas indicates an alcoholic group.
Note: 1. The alcohol should be dry as water also reacts with sodium metal to evolve hydrogen gas.
2. Do not throw unreacted sodium metal into the sink or waste bin. Add more alcohol to the unreacted sodium to complete the reaction.


2. Ester test Alcohols react with carboxylic acids to form sweet smelling esters. The reaction between an alcoholic group and a carboxylic acid group is called esterification. This is a slow and reversible reaction and is catalysed by an acid such as cone, sulphuric acid.
Identification of Functional Groups by Chemical Tests | Organic Chemistry

Procedure Take 1 ml of the given liquid in a clean dry test-tube, add 1 ml of glacial acetic acid and 2-3 drops of cone, sulphuric acid. Warm the mixture on a water bath for about 10 minutes. Pour it into about 20 ml of cold water taken in a beaker and smell. A fruity smell indicates the presence of an alcoholic group.
3. Ceric ammonium nitrate test Place about 1 ml of the given compound in a clean dry test-tube, add a few drops of ceric ammonium nitrate reagent and shake well. Appearance of pink or red colour indicates the presence of an alcoholic group.
Identification of Functional Groups by Chemical Tests | Organic Chemistry

4. Acetyl chloride test Alcohols react with acid halides to form esters and give out hydrogen chloride gas. The hydrogen chloride formed gives white fumes of ammonium chloride with ammonium hydroxide.
Identification of Functional Groups by Chemical Tests | Organic Chemistry

Procedure 
Take about 2 ml of the given compound in a clean dry test-tube, add 1 g of anhydrous calcium sulphate and shake well. Filter, and to the filtrate, add 2 or 3 drops of acetyl chloride, shakeand bring a glass rod dipped in ammonium hydroxide solution near the mouth of the test-tube. Formation of white fumes indicates the presence of alcoholic group.

5. Iodoform test

Identification of Functional Groups by Chemical Tests | Organic Chemistry

Procedure 
Take 1 ml of the given compound in a clean dry test-tube and add about 1 ml of 1% iodine solution. Then add dilute sodium hydroxide solution drop wise until the brown colour of iodine is discharged. Warm gently on a water bath. Formation of yellow precipitate of iodoform indicates ethanol, acetaldehyde, sec-methyl alcohol or methyl ketone.

Distinction Between Primary , Secondary and Tertiary Alcohols

Lucas Test

This test is based upon relative reactivities of various alcohols towards HCl in the presence of ZnCl2. In this test, the alcohol is treated with Lucas reagent which is equimolar mixture of HCl and ZnCl2. Alcohols are soluble in Lucas reagent, so a clear solution is obtained. On reaction, alkyl chlorides are formed which being insoluble result in cloudiness in the solution.
Identification of Functional Groups by Chemical Tests | Organic Chemistry

Procedure
Take about 1 ml of dry alcohol in a clean dry test-tube and add 8-10 drops of Lucas reagent. Shake the mixture well. Note down the appearance of cloudiness.

  • If cloudiness appears immediately, tertiary alcohol is indicated.
  • If cloudiness appears within five minutes, secondary alcohol is indicated.
  • If cloudiness appears only upon heating, primary alcohol is indicated.

Preparation of Reagents

  • Ceric ammonium nitrate. Ce(NO3)4. 2NH4NO3. Dissolve 20 g of orange crystals of ceric ammonium nitrate in 200 ml of warm dilute nitric acid (2N).
  • Iodine solution. Dissolve 2 g of solid potassium iodide in about 40 ml water, add 1 g solid iodine, shake well and dilute to 100 ml.
  • 5% sodium hydroxide solution. Dissolve 5 g of solid sodium hydroxide in about 50 ml water and then make up the volume to 100 ml.
  • Lucas reagent. Dissolve 135 g of anhydrous zinc chloride in 100 ml of concentrated hydrochloric acid. Shake well and cool.

Phenols
Compounds containing one or more hydroxyl groups attached to an aromatic ring are called phenols. C6H5OH is the simplest phenol. Other examples are: o, m and p-cresol, catechol and resorcinol. All except m-cresol are solids, m-cresol is a liquid. Phenol C6H6OH is a solid in winter and liquid in summer (m.p. = 40.9°C). All are colourless when pure but generally slightly coloured due to oxidation. They have low solubility in water but have appreciable solubility in alcohol.
Identification of Functional Groups by Chemical Tests | Organic Chemistry

Tests for Phenolic [Ar—OH] Group

The phenolic group can be detected by the following tests:

  • Litmus test.
  • Ferric chloride test.
  • Liebermann’s test.

1. Litmus Test
Procedure Place a drop of the given liquid or a crystal if solid on moist blue litmus paper. If the colour changes to red, phenolic group may be present.
Note. Carboxylic acids also give this test. But as phenol is not as strong an acid as carboxylic acid, it does not give an effervescence with aqueous solution of sodium carbonate.

2. Ferric Chloride Test Phenols react with ferric ions to form coloured complexes. Many other types of organic compounds also react with ferric chloride solution.
Procedure 
Take 1 ml of neutral ferric chloride solution in a clean test-tube and 2-3 drops of the liquid compound (or 1 crystal if solid). A change in colour indicates the phenolic group. Phenol produces violet colouration.
Identification of Functional Groups by Chemical Tests | Organic Chemistry

Note:

1.o, m, p-cresol, resorcinol give violet or blue colouration.

2. β-Naphthol gives a green colouration.

3. α-Naphthol gives pink colouration.

4. Formic acid and acetic acid give deep red colouration.

Preparation of neutral ferric chloride. Place 1 ml of 1% ferric chloride solution in a clean test-tube and add ammonia solution until a brown precipitate just appears. Now add the original ferric chloride solution drop wise until the precipitate just disappears.

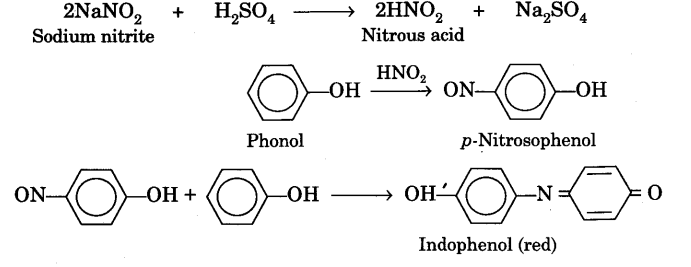
3. Liebermann’s Test Most of the phenols give this test. Red or brown colouration is produced when a nitrite is added to a phenol dissolved in cone, sulphuric acid. The colour changes to blue or green by the addition of a strong alkali.
Identification of Functional Groups by Chemical Tests | Organic ChemistryIdentification of Functional Groups by Chemical Tests | Organic Chemistry

Procedure 
Place 2-3 crystals of sodium nitrite in a clean dry test-tube and add about 1 g of phenol. Heat very gently for half a minute and allow it to cool. Then add about 1 ml of cone, sulphuric acid and shake the tube to mix the contents. A deep blue or deep green colouration develops. Add water carefully, the colour turns red. Now add an excess of sodium hydroxide solution, the blue or green colour appears.

Note: 
1. Nitrophenols and p-substituted phenols do not give this test.
2. Among the dihydroxyphenols, only resorcinol gives positive test.
4. Phthalein Dye Test
Take 0.1 g of organic compound and 0.1 g of phthalic anhydride in a clean dry test tube and add 1-2 drops of cone. H2S04. Heat the test tube for about 1 minute in an oil bath. Cool and pour the reaction mixture carefully into a beaker containing 15 mL of dilute sodium hydroxide solution. Appearance of pink, blue, green, red etc. colours indicates the presence of phenolic —OH group in the compound. 

Aldehydes and Ketones

Aldehydes and ketones are the compounds that contain the carbonyl group,
Identification of Functional Groups by Chemical Tests | Organic Chemistry

This group has characteristic properties which are shown by both classes of compounds. In aldehydes, the carbonyl group is attached to a hydrogen atom and to an aliphatic or aromatic radical. Formaldehyde is an exception in which the carbonyl group is attached to two hydrogen atoms.
Identification of Functional Groups by Chemical Tests | Organic Chemistry

The carbonyl group in aldehydes and ketones is identified by the following tests:

1. 2, 4-dinitrophenyl hydrazine test.

2. Sodium bisulphite test.

The major difference between an aldehyde and a ketone is that an aldehyde is readily oxidized to carboxylic acid whereas ketones cannot be oxidized easily. This difference forms the basis of the tests for distinguishing aldehydes and ketones. They are generally distinguished by the following tests:

1. Schiffs test

2. Fehling’s test

3. Silver mirror test.

Tests for Aldehydic and Ketonic [—CHO and —CO—] Groups

Identification of Functional Groups by Chemical Tests | Organic Chemistry

1. 2, 4-Dinitrophenyl hydrazine Test (2, 4—DNP Test)
Take 0.5 ml or 0.5 g of the given compound in a clean dry test-tube, add rectified spirit until the compound just dissolves. Now add a few drops of 2, 4-dinitrophenyl hydrazine solution. Cork the test-tube, shake the mixture and allow it to stand for 5 minutes.
Identification of Functional Groups by Chemical Tests | Organic Chemistry

Formation of yellow or orange crystals indicate the presence of carbonyl group.

2. Sodium bisulphite Test Take 2 ml of a saturated solution of sodium bisulphite in a clean test-tube , and add 1 ml or 1 g of the given compound. cork the test- tube , shake and leave it for 15-20 minutes. Formations of crystalline precipitate confirms carbonyl group.

Note:

  • Formaldehyde, acetaldehyde, benzaldehyde, acetone, methyl ethyl ketone and diethyl ketone give position tests.
  • Aqueous solutions of formaldehyde and acetaldehyde form addition products but as they are highly soluble , precipitates are rarely formed.
  • Acetophenone and benzophenone do not give this test.

Differentiating Tests for Aldehydes

The following tests are given by aldehydes but not by ketones:
1. SchifFs Test Dissolve about 0.5 ml or 0.5 g of the given compound in alcohol in a clean test-tube and add 1 ml of SchifFs regent. Shake and note the change in colour. Appearance of pink, red or magenta colour confirms the presence ofaldehydic group.

Note:

  • The Schiffs reagent should not be warmed.
  • The Schiff s reagent should not be treated with alkalies. Otherwise the pink colour develops even in the absence of aldehydes.
  • With benzaldehyde the pink colour develops slowly.

2. Tollen’s Test (Silver mirror test)
Procedure 
Place 1 ml of silver nitrate solution in a clean test-tube and add 2-3 ml of dilute NaOH solution. A brown precipitate forms. Now add dilute ammonia solution drop wise until the brown precipitate of silver oxide just dissolves. To this add 3-4 drops of the given liquid (or 0.1 g if solid) and warm the test-tube on a water-bath for about 5 minutes.
Identification of Functional Groups by Chemical Tests | Organic Chemistry

A shining mirror confirms the presence of the aldehyde group.

Note:

  • Many other types of compounds give positive silver mirror test but they do not give 2,4-dinitro phenyl hydrazine test.
  • Formic acid, tartaric acid and many carbohydrates like glucose give silver mirror test.

3. Fehling’s Test

Procedure

Take 1 ml each of Fehling’s solution A and B in a test-tube. Add 4-5 drops (or 0.2 g) of the given organic compound and warm the test-tube in hot water bath for 4-5 minutes.
Identification of Functional Groups by Chemical Tests | Organic Chemistry

Note: 

  • Benzaldehyde may or may not give this test as the reaction is very slow. 
  • Formic acid also gives this test.

Differentiating Tests for Ketones

The following tests are given by ketones but not by aldehydes:

1. m-Dinitrobenzene test

Place 0.5 ml of the given liquid (or 0.5 g of solid) in a clean test-tube and add about 0.1 g of finely powdered m-dinitrobenzene. Now add about 1 ml of dilute sodium hydroxide solution and shake.

Appearance of violet colour which slowly fades confirms ketonic group.

Note: Benzophenone does not give this test.

2. Sodium nitroprusside test

The anion of the ketone formed by an alkali reacts with nitroprusside ion to form coloured ion.
Identification of Functional Groups by Chemical Tests | Organic Chemistry

Procedure 
Dissolve a crystal of sodium nitroprusside in about 1 ml of distilled water in a clean test-tube and then add 0.5 ml (or 0.5 g) of the given compound. Shake and add sodium hydroxide solution drop wise. A red colouration indicates the ketonic group.

Note: 

  • Benzaldehyde also gives red colour, 
  • Benzophenone does not give this test.

Preparation of Reagents
1. 2, 4-Dinitro phenylhydrazine (2, 4-DNP). Dissolve 1 g of 2, 4-dinitrophenyl hydrazine in 50 ml methanol to which 2 ml of concentrated sulphuric acid is added. Filter, if necessary.
2. Sodium bisulphite, NaHSO3. Dissolve about 30 g sodium bisulphite in 100 ml of distilled water.
3. SchifFs reagent. Dissolve 0.1 g p-rosanaline hydrochloride in 100 ml water and pass sulphur dioxide gas until its red colour is discharged. Filter and use the filtrate.
4. Fehling’s solution A. Dissolve 35 g of crystalline copper sulphate in 500 ml water and add 2 ml cone. H2SO4
5. Fehling’s solution B. Dissolve 173 g of Rochelle salt (sodium potassium tartrate) and 60 g sodium hydroxide in 500 ml water.

Carboxylic Acids

Identification of Functional Groups by Chemical Tests | Organic Chemistry

Formic acid and acetic acid are liquids. Benzoic acid, oxalic acid, phthalic acid, salicylic acid and tartaric acids are colourless crystalline solids. Aliphatic acids are soluble in water ydiereas aromatic acids are sparingly soluble in water.

Tects for Carboxylic Group [—COOH]

Carboxylic acids can be identified by the following tests:

1. Litmus test.

2. Sodium bicarbonate test.

3. Ester test.

1. Litmus Test The carbobxylic acids turn blue litmus red. The hydroxyl group in —COOH is far more acidic than in alcohol.
Identification of Functional Groups by Chemical Tests | Organic Chemistry

Procedure

Place a drop of the given liquid (or a crystal of the solid) on a moist blue litmus paper and note the change in colour.

If the colour changes to red, carboxylic group or phenolic group is present.

Note: Phenols also give this test.

2. Sodium Hydrogencarbonate Test Carboxylic acids react with sodium hydrogen carbonate to give carbon dioxide gas which is identified by the effervescence produced. This test is used to distinguish carboxylic acids from phenols.
Identification of Functional Groups by Chemical Tests | Organic Chemistry

Procedure

To 1 ml of organic liquid in a test-tube, add a pinch of sodium bicarbonate (NaHC03).

A brisk effervescence indicates the presence of carboxylic group in the organic compound.

3. Ester Test

A carboxylic acid reacts with an alcohol in presence of a little sulphuric acid to form an ester which is recognized by its fruity smell.
Identification of Functional Groups by Chemical Tests | Organic Chemistry

Procedure Take 
about 0.1 g of the organic compound, 1 ml of ethyl alcohol and 1-2 drops of cone. H2SO4 in a test tube. Heat the reaction mixture on a water bath for about five minutes. Pour the reaction mixture in a beaker containing water. A fruity smell indicates the presence of carboxylic group in the compound.

Amines

Amines may be considered as substitution products of ammonia. When one hydrogen atom of ammonia is replaced with an alkyl or aryl group,the resulting amine is called primary amine (R—NH-2). When two hydrogen atoms of ammonia molecule are replaced with two alkyl or aryl groups, the resulting compound is called secondary amine. The replacement of all the three hydrogen atoms of ammonia with alkyl and aryl groups gives tertiary amine.
Identification of Functional Groups by Chemical Tests | Organic Chemistry

Tests for Amino Group [—NH3]

1. Solubility Test Amines are the organic compounds that have appreciable basicity and so they dissolve in mineral acids.
Identification of Functional Groups by Chemical Tests | Organic Chemistry

Procedure

Take a small amount of the given compound in a clean test-tube and add 2-3 ml of dilute hydrochloric acid. Shake and note the solubility.

If the compound is soluble, it may be an amine.

2. Litmus Test
Amines have appreciable basicity and turn red litmus blue.
Identification of Functional Groups by Chemical Tests | Organic Chemistry

Procedure

Place a drop of the given liquid (or pinch of the solid) on the moist red litmus paper and note the change in colour.

If the colour changes to blue, it may be an amine.

3. Carbylamine

This test is given-by both ahphatic and aromatic primary amines.

Secondary and tertiary amines do not give this test.

Procedure

Take about 0.2 g of solid potassium hydroxide in a clean dry test-tube and add 2 ml of ethanol. Warm the test-tube until the pallets dissolve. To this add a few drops of chloroform, small amount of the given compound and warm gently.
Identification of Functional Groups by Chemical Tests | Organic Chemistry

Caution

1. Carpytomine (isocyanide) is highly poisonous so do not inhale its vapours.

2. Destroy carbylamine with cdnc. HCl after the test and then throw into sink.

4. Nitrous Acid Test
Identification of Functional Groups by Chemical Tests | Organic Chemistry

Procedure

Make a solution of about 1 g sodium nitrite in about 5 ml water in a test-tube and cool in ice bath. In a separate test-tube, dissolve a few drops or few crystals of the given compound in about 1 ml cone, hydrochloric acid and cool this also in ice bath. Mix both the solutions and observe that what happens.

(а) Bubbles of nitrogen gas are seen if the compound is a primary aliphatic amine.

(b) A yellow oily layer is formed if the compound is a secondary amine.

(c) No visible change in the reaction mixture if the compound is a tertiary amine.

5. Azo-Dye Test

This test is given by primary aromatic amines. Primary amines on reaction with nitrous acid give diazonium salts. These diazonium salts can undergo coupling reaction with phenols resulting in the formation of coloured compounds.
Identification of Functional Groups by Chemical Tests | Organic Chemistry

Procedure

Take three test tubes A, B and C. In test tube A, dissolve about 0.2 g of the compound in 2 ml of dilute hydrochloric acid. In test tube B, prepare an aqueous solution of sodium nitrite, In test tube C, dissolve 0.2 g of β-naphthol in dilute sodium hydroxide. Place all the three test tubes in Em ice bath.

Now add sodium nitrite solution to test tube A and the resulting solution is added to the test tube C.

Formation of a red or orange dye confirms the presence of primary aromatic amino (Ar-NH2) group.

Distingushing Test for Primary , Secondary and Tertiary Amines

1. Hinsberg Test

  • The given Eunine is shaken with benzene sulphonyl chloride.
    A clear solution in NaOH solution which on acidification gives Em insoluble material indicates primary amine.
  • A precipitate (insoluble compound) which is insoluble in NaOH solution indicates secondary amine.
  • TertiEiry Eunines do not react with benzene sulphonyl chloride. An insoluble compound in NaOH solution which dissolves by the addition of acid indicates tertiary amine.

Identification of Functional Groups by Chemical Tests | Organic Chemistry

Identification of Functional Groups by Chemical Tests | Organic Chemistry

Procedure 
Place 0.5 ml of the given amine in a clean test-tube, add about 2 ml of 25% NaOH, 2 ml of water and 1 ml of benzene sulphonyl chloride. Shake the mixture for about 10 minutes and then cool under tap water and note the formation of a precipitate. Treat the precipitate, if any, with 2 ml of cone. HCl.

  • Tertiary amine. Precipitate in the test-tube. It dissolves in cone. HCl.
  • Secondary amine. Precipitate in the test-tube. It does not dissolve in cone. HCl.
  • Primary amine. No precipitate (clear solution). On addition of cone. HCl, insoluble material is seen.
The document Identification of Functional Groups by Chemical Tests | Organic Chemistry is a part of the Chemistry Course Organic Chemistry.
All you need of Chemistry at this link: Chemistry
39 videos|92 docs|46 tests

FAQs on Identification of Functional Groups by Chemical Tests - Organic Chemistry

1. What are functional groups in organic compounds?
Ans. Functional groups in organic compounds are specific groups of atoms that are responsible for the characteristic chemical reactions and properties of the compounds. They determine the reactivity and behavior of the organic molecules.
2. How can functional groups be identified in organic compounds?
Ans. Functional groups present in organic compounds can be identified through chemical tests. These tests involve the use of specific reagents or reactions that produce characteristic color changes, precipitates, or other observable changes, indicating the presence of a particular functional group.
3. What is the importance of identifying functional groups in organic compounds?
Ans. Identifying functional groups in organic compounds is crucial as it helps in determining the chemical behavior, reactivity, and potential reactions of the compounds. It aids in the classification and analysis of organic compounds and plays a significant role in fields such as pharmaceuticals, materials science, and environmental studies.
4. Can you provide examples of some common functional groups found in organic compounds?
Ans. Yes, some common functional groups found in organic compounds include hydroxyl (-OH), carbonyl (C=O), carboxyl (-COOH), amino (-NH2), and alkyl (R-). These functional groups can be present in various types of organic compounds, such as alcohols, aldehydes, carboxylic acids, amines, and hydrocarbons.
5. Are there any limitations or challenges in using chemical tests to identify functional groups?
Ans. Yes, there can be limitations and challenges in using chemical tests to identify functional groups. Some functional groups may not give distinct or specific results with certain chemical tests, leading to ambiguity in identification. Additionally, the presence of multiple functional groups in a compound can complicate the interpretation of test results. It is important to consider these factors and use a combination of different tests for a reliable identification of functional groups in organic compounds.
Related Searches

Extra Questions

,

Previous Year Questions with Solutions

,

study material

,

Free

,

Summary

,

Objective type Questions

,

Important questions

,

past year papers

,

Identification of Functional Groups by Chemical Tests | Organic Chemistry

,

ppt

,

video lectures

,

pdf

,

Exam

,

Identification of Functional Groups by Chemical Tests | Organic Chemistry

,

Viva Questions

,

Sample Paper

,

shortcuts and tricks

,

practice quizzes

,

Identification of Functional Groups by Chemical Tests | Organic Chemistry

,

MCQs

,

mock tests for examination

,

Semester Notes

;