CAT Exam  >  CAT Notes  >  Quantitative Aptitude (Quant)  >  Important Formulas: HCF & LCM

Important Formulas: HCF & LCM | Quantitative Aptitude (Quant) - CAT PDF Download

Important Formulas: HCF & LCM | Quantitative Aptitude (Quant) - CAT

Meaning and Basics

  • HCF (Highest Common Factor): The greatest number that divides two or more numbers exactly.
  • Also called GCD (Greatest Common Divisor).
  • LCM (Least Common Multiple): The smallest number that is exactly divisible by two or more numbers.

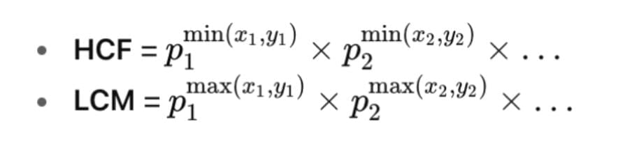
Prime Factorisation Method

Let two numbers be expressed as:
a = p₁ˣ¹ × p₂ˣ² × p₃ˣ³ × …
b = p₁ʸ¹ × p₂ʸ² × p₃ʸ³ × …

Then,Important Formulas: HCF & LCM | Quantitative Aptitude (Quant) - CAT

For finding HCF → take lowest powers of common primes.
For finding LCM → take highest powers of all primes.

Short-cut Method

(i) Using Division Method for HCF:

  • Divide the larger number by the smaller one.
  • Replace the larger number with the remainder.
  • Continue dividing until the remainder = 0.
  • The last non-zero remainder is the HCF.

(ii) Using Product Formula for LCM:

  • Once HCF is known, use: LCM = (Product of numbers) ÷ HCF.

Relationship Between HCF and LCM

  • For two numbers a and b:
    HCF × LCM = a × b
  • For three numbers a, b, and c:
    HCF × LCM = (a × b × c) ÷ (HCF of pairwise combinations)
  • LCM of fractions = LCM of Numerators / HCF of Denominators
  • HCF of fractions = HCF of Numerators / LCM of Denominators

Important Results and Formulas

ConceptFormula / Explanation
Relation between two numbersHCF × LCM = Product of the numbers
Relation between three numbers (co-prime)HCF × LCM = Product of the numbers
When HCF and one number are givenLCM = (Product of numbers) ÷ HCF
When LCM and one number are givenHCF = (Product of numbers) ÷ LCM
HCF of fractionsHCF = HCF of Numerators ÷ LCM of Denominators
LCM of fractionsLCM = LCM of Numerators ÷ HCF of Denominators
If two numbers are co-primeHCF = 1, hence LCM = Product of numbers
Ratio of two numbersRatio = a : b = HCF × (p : q), where p, q are co-prime
HCF of perfect squares/cubesAlways a perfect square/cube, respectively
Product of HCF and LCM of fractions= Product of the given fractions

Shortcut Tricks

1. When numbers are small:

  • List their multiples/divisors manually.
  • Pick the smallest common multiple → LCM.
  • Pick the greatest common divisor → HCF.

2. When numbers are large:

  • Use Prime Factorisation or the Division Method.

3. If LCM and one number are known:
Other number = (HCF × LCM) ÷ Given number

Solved Examples

Example 1: Find the HCF and LCM of 12 and 18.

Sol: 
Prime factors:
12 = 2² × 3¹
18 = 2¹ × 3²

HCF = 2¹ × 3¹ = 6
LCM = 2² × 3² = 36

Verification:
HCF × LCM = 6 × 36 = 216 = 12 × 18

Example 2: Find the LCM and HCF of fractions 3/4, 5/8, 7/12.

Sol:
HCF = (HCF of 3, 5, 7) ÷ (LCM of 4, 8, 12) = 1 ÷ 24 = 1/24
LCM = (LCM of 3, 5, 7) ÷ (HCF of 4, 8, 12) = 105 ÷ 4 = 105/4

Summary Table

TopicFormula / Concept
HCF × LCM = Product of two numbersAlways true
For three co-prime numbersThe same formula holds
HCF of fractionsHCF of numerators ÷ LCM of denominators
LCM of fractionsLCM of numerators ÷ HCF of denominators
HCF of decimalsConvert to integers and proceed normally
LCM of decimalsConvert to integers, find LCM, then divide by the appropriate power of 10

EduRev Tip: Always check divisibility and verify using the HCF–LCM product rule.

The document Important Formulas: HCF & LCM | Quantitative Aptitude (Quant) - CAT is a part of the CAT Course Quantitative Aptitude (Quant).
All you need of CAT at this link: CAT
167 videos|238 docs|95 tests

FAQs on Important Formulas: HCF & LCM - Quantitative Aptitude (Quant) - CAT

1. What is the Prime Factorisation Method and how is it used to find HCF and LCM?
Ans. The Prime Factorisation Method involves breaking down numbers into their prime factors. To find the HCF (Highest Common Factor), you identify the common prime factors and multiply them together. For LCM (Lowest Common Multiple), you take all the prime factors, each raised to the highest power that appears in the factorization of any of the numbers. This method provides a systematic way to determine both HCF and LCM.
2. Can you explain the relationship between HCF and LCM?
Ans. The relationship between HCF and LCM of two numbers can be expressed with the formula: HCF × LCM = Product of the two numbers. This means that if you know the HCF and one of the numbers, you can easily find the LCM by rearranging the formula. This relationship helps in simplifying many problems related to HCF and LCM.
3. What are some important results and formulas related to HCF and LCM?
Ans. Some important results and formulas include: - HCF of a and b = Product of the common prime factors - LCM of a and b = Product of all prime factors, each raised to the highest power - For three numbers a, b, and c: HCF(a, b, c) = HCF(HCF(a, b), c) and LCM(a, b, c) = LCM(LCM(a, b), c). These results are crucial for solving problems involving multiple numbers.
4. What are some shortcut tricks for calculating HCF and LCM?
Ans. Some shortcut tricks include: - For two numbers, if one is a multiple of the other, the HCF is the smaller number and the LCM is the larger number. - For small numbers, you can often use the listing method to quickly find the HCF and LCM by listing the factors or multiples. - Using the prime factorization method can also be expedited by memorizing the prime numbers and their products for common small numbers.
5. Can you provide an example of how to solve HCF and LCM problems?
Ans. For example, to find the HCF and LCM of 12 and 18: - Prime factorization: 12 = 2² × 3¹; 18 = 2¹ × 3². - HCF = 2¹ × 3¹ = 6. - LCM = 2² × 3² = 36. Therefore, the HCF of 12 and 18 is 6, and the LCM is 36.
Related Searches

ppt

,

practice quizzes

,

Free

,

Exam

,

MCQs

,

Objective type Questions

,

study material

,

mock tests for examination

,

Important Formulas: HCF & LCM | Quantitative Aptitude (Quant) - CAT

,

Important Formulas: HCF & LCM | Quantitative Aptitude (Quant) - CAT

,

Important Formulas: HCF & LCM | Quantitative Aptitude (Quant) - CAT

,

pdf

,

Extra Questions

,

Sample Paper

,

Important questions

,

video lectures

,

shortcuts and tricks

,

Summary

,

Viva Questions

,

Semester Notes

,

past year papers

,

Previous Year Questions with Solutions

;