CAT Exam  >  CAT Notes  >  Practice Questions Level 3: Inequalities

Inequalities Questions for CAT with Answers PDF

This EduRev document offers 10 Multiple Choice Questions (MCQs) from the topic Inequalities (Level - 3). These questions are of Level - 3 difficulty and will assist you in the preparation of CAT & other MBA exams. You can practice/attempt these CAT Multiple Choice Questions (MCQs) and check the explanations for a better understanding of the topic. 

Question for Practice Questions Level 3: Inequalities
Try yourself:The total money that Vijay (V) and Manju (M) have is less than Rs. 5 but both are having some money. Which of the following is not necessarily true?  
View Solution

Question for Practice Questions Level 3: Inequalities
Try yourself:How many ordered pairs of natural numbers satisfy the inequality 8x + 2y ≤ 24?  
View Solution

Question for Practice Questions Level 3: Inequalities
Try yourself:If b > a and c < 0, then which of the following is true (a, b > 0)?
View Solution

Question for Practice Questions Level 3: Inequalities
Try yourself:If -1 ≤ v ≤ 1, -2 ≤ u ≤ -0.5, -2 ≤ z ≤ -0.5 and w = vz/u, then which of the following is necessarily true?
View Solution

Question for Practice Questions Level 3: Inequalities
Try yourself:If - 2 ≤ a ≤ - 1, - 4 ≤ b ≤ - 2, 2 ≤ c ≤ 4 and 1 ≤ d ≤ 3, what is the maximum value of ab2/cd2 ?
View Solution

Question for Practice Questions Level 3: Inequalities
Try yourself:For the given consecutive integers p, q, r and s, such that, p, q, r, s > 0, then, which of the following can be true?
View Solution

Question for Practice Questions Level 3: Inequalities
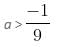
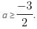
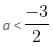
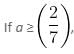
Try yourself:Which of the following is the possible value of a in the given inequality |2a + 3| > |7a - 2|?
View Solution

Question for Practice Questions Level 3: Inequalities
Try yourself:To determine their favourite brand of chocolates in a particular community, a big chain of retail stores conducted a survey for elementary school kids. In the survey, a kid was presented with a tray of 8 chocolates of different brands and asked to pick one. In all, 400 kids were involved in the survey. Out of the first 100, 20 chose brand C. In the next 200, 40 chose brand C. k kids in the last 100 opted for brand C. If not more than 25% of kids chose brand C, then which of the following inequalities best describes the value for k?
View Solution

Question for Practice Questions Level 3: Inequalities
Try yourself:For the given pair (x, y) of positive integers, 7x + 3y = 123. How many integral pairs of x and y satisfy the given condition?
View Solution

Question for Practice Questions Level 3: Inequalities
Try yourself:x and y are real numbers satisfying the conditions 2 < x < 3 and - 8 < y < - 7. Which of the following expressions will have the least value?
View Solution

The document Inequalities Questions for CAT with Answers PDF is a part of CAT category.
All you need of CAT at this link: CAT
Download as PDF

Top Courses for CAT

Related Searches

mock tests for examination

,

past year papers

,

Inequalities Questions for CAT with Answers PDF

,

Previous Year Questions with Solutions

,

ppt

,

Inequalities Questions for CAT with Answers PDF

,

MCQs

,

Free

,

Viva Questions

,

study material

,

Summary

,

pdf

,

practice quizzes

,

video lectures

,

Objective type Questions

,

Extra Questions

,

Exam

,

Inequalities Questions for CAT with Answers PDF

,

shortcuts and tricks

,

Sample Paper

,

Important questions

,

Semester Notes

;