CA Foundation Exam  >  CA Foundation Notes  >  Quantitative Aptitude for CA Foundation  >  Infinite Geometric Progression

Infinite Geometric Progression | Quantitative Aptitude for CA Foundation PDF Download

Infinite Geometric Progression 

So far, we have found the sum of a finite number of terms of a G. P. We will now learn to find out the sum of infinitely many terms of a G P such as.

1, 1/2, 1/4, 1/8, 1/16, ......

We will proceed as follows: Here a = 1, r = 1/2

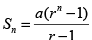
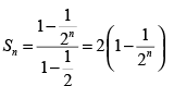
The n th term of the G. P. is  Infinite Geometric Progression | Quantitative Aptitude for CA Foundation , and sum to n terms

i.e;  Infinite Geometric Progression | Quantitative Aptitude for CA Foundation

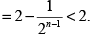
Infinite Geometric Progression | Quantitative Aptitude for CA Foundation

So, no matter, how large n may be, the sum of n terms is never more than 2.

So, if we take the sum of all the infinitely many terms, we shall not get more than 2 as answer.

Also note that the recurring decimal 0.3 is really 0.3 + 0.03 + 0.003 + 0.0003 + ... i.e., 0.3 is actually the sum of the above infinite sequence.

On the other hand it is at once obvious that if we sum infinitely many terms of the G. P. 1, 2, 4, 8, 16, ... we shall get a finite sum.

So, sometimes we may be able to add the infinitely many terms of G. P. and sometimes are may not. We shall discuss this question now.

Sum of Infinite Geometric Progression

Let us consider a G. P. with infinite number of terms and common ratio r.

Case 1 : We assume that | r | > 1

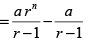
The expression for the sum of n terms of the G. P. is then given by

Infinite Geometric Progression | Quantitative Aptitude for CA Foundation

Infinite Geometric Progression | Quantitative Aptitude for CA Foundation ......(A)

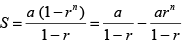
Now as n becomes larger and larger rn also becomes larger and larger. Thus, when n is infinitely large and | r | > 1 then the sum is also infinitely large which has no importance in Mathematics. We now consider the other possibility.

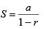
Case 2 : Let | r | < 1

Formula (A) can be written as

Infinite Geometric Progression | Quantitative Aptitude for CA Foundation

Now as n becomes infinitely large, rn becomes infinitely small, i.e., as n → ∞ , rn → 0, then the above expression for sum takes the form

Infinite Geometric Progression | Quantitative Aptitude for CA Foundation

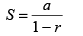
Hence, the sum of an infinite G. P. with the first term 'a' and common ratio 'r' is given by

Infinite Geometric Progression | Quantitative Aptitude for CA Foundation

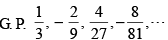
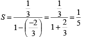
Example 1. Find the sum of the infinite Infinite Geometric Progression | Quantitative Aptitude for CA Foundation

Solution :  Here, the first term of the infinite  G. P. is a = 1/3, 

and  Infinite Geometric Progression | Quantitative Aptitude for CA Foundation

Here,  Infinite Geometric Progression | Quantitative Aptitude for CA Foundation

∴ Using the formula for sum  Infinite Geometric Progression | Quantitative Aptitude for CA Foundation we have

Infinite Geometric Progression | Quantitative Aptitude for CA Foundation

Hence, the sum of the given  G. P. is 1/5

Example 2. Express the recurring decimal Infinite Geometric Progression | Quantitative Aptitude for CA Foundation as an infinite G. P. and find its value inrational form.

Solution : Infinite Geometric Progression | Quantitative Aptitude for CA Foundation = 0.3333333.....

= 0.3 + 0.03 + 0.003 + 0.0003 + ....

Infinite Geometric Progression | Quantitative Aptitude for CA Foundation

The above is an infinite G. P. with the first term a  = 3/10

and  Infinite Geometric Progression | Quantitative Aptitude for CA Foundation

Hence, by using the formula Infinite Geometric Progression | Quantitative Aptitude for CA Foundation, we get

Infinite Geometric Progression | Quantitative Aptitude for CA Foundation

Infinite Geometric Progression | Quantitative Aptitude for CA Foundation

Hence, the recurring decimal Infinite Geometric Progression | Quantitative Aptitude for CA Foundation = 1/3

Example 3. The distance travelled (in cm) by a simple pendulum in consecutive secondsare 16, 12, 9, ... How much distance will it travel before coming to rest ?

Solution : The distance travelled by the pendulum in consecutive seconds are, 16, 12, 9, ... is an infinite geometric progression with the first term a = 16  

and r = 12/16 = 3/4 < 1

Hence, using the formula  Infinite Geometric Progression | Quantitative Aptitude for CA Foundation ,we get

Infinite Geometric Progression | Quantitative Aptitude for CA Foundation

∴ Distance travelled by the pendulum is 64 cm

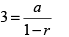
Example 4.   The sum of an infinite G. P. is 3 and sum of its first two terms is 8/3. Find the first term.

Solution : In this problem S = 3. Let a be the first term and r be the common ratio of the given infinite G. P.

Then according to the question.

a + ar = 8/3

or , 3a(1+r) = 8 ......(1)

Hence, using the formula  Infinite Geometric Progression | Quantitative Aptitude for CA Foundation ,we get

Infinite Geometric Progression | Quantitative Aptitude for CA Foundation

or, a = 3 (1 − r)   ......(2)

From (1) and (2), we get.

3.3 (1 – r) (1 + r) = 8

or, 1 - r2 = 8/9

or, r2 = 1/9

or,  Infinite Geometric Progression | Quantitative Aptitude for CA Foundation

from (2)

Infinite Geometric Progression | Quantitative Aptitude for CA Foundation

 

 

The document Infinite Geometric Progression | Quantitative Aptitude for CA Foundation is a part of the CA Foundation Course Quantitative Aptitude for CA Foundation.
All you need of CA Foundation at this link: CA Foundation
101 videos|209 docs|89 tests

FAQs on Infinite Geometric Progression - Quantitative Aptitude for CA Foundation

1. What is an infinite geometric progression?
Ans. An infinite geometric progression is a sequence of numbers in which each term after the first is found by multiplying the previous term by a constant ratio. This sequence continues indefinitely and does not have a fixed number of terms.
2. How can I find the common ratio in an infinite geometric progression?
Ans. To find the common ratio in an infinite geometric progression, you can divide any term by its previous term. Since the sequence continues indefinitely, the ratio between any two consecutive terms will be the same and represent the common ratio.
3. Can an infinite geometric progression have a common ratio greater than 1?
Ans. Yes, an infinite geometric progression can have a common ratio greater than 1. In this case, the terms of the sequence will increase exponentially as the ratio is multiplied with each term. However, it is important to note that if the common ratio is greater than 1, the sequence will not converge to a specific value but instead grow without bounds.
4. Is it possible for an infinite geometric progression to have a common ratio less than 0?
Ans. Yes, an infinite geometric progression can have a common ratio less than 0. In this situation, the terms of the sequence will alternate between positive and negative values. The absolute value of the common ratio represents the growth rate of the sequence.
5. What is the formula to find the nth term of an infinite geometric progression?
Ans. The formula to find the nth term of an infinite geometric progression is given by: \[a_n = a_1 \times r^{(n-1)}\] where \(a_n\) is the nth term, \(a_1\) is the first term, r is the common ratio, and n is the position of the term in the sequence.
Related Searches

Free

,

MCQs

,

Exam

,

Sample Paper

,

study material

,

Infinite Geometric Progression | Quantitative Aptitude for CA Foundation

,

Infinite Geometric Progression | Quantitative Aptitude for CA Foundation

,

Semester Notes

,

Viva Questions

,

ppt

,

shortcuts and tricks

,

Summary

,

Objective type Questions

,

practice quizzes

,

Extra Questions

,

pdf

,

Infinite Geometric Progression | Quantitative Aptitude for CA Foundation

,

Important questions

,

mock tests for examination

,

video lectures

,

Previous Year Questions with Solutions

,

past year papers

;