Civil Engineering (CE) Exam  >  Civil Engineering (CE) Notes  >  Integral Theorems

Integral Theorems - Civil Engineering (CE) PDF Download

Divergence Theorem 
Suppose u(x) is a vector field defined on some convex three dimensional region, R in physical space with volume v and on a closed surface a bounding this volume and u(x) is continuous in R and continuously differentiable in the interior of R. Then,

Integral Theorems - Civil Engineering (CE)

where, n is the outward unit normal field acting along the surface a, dv and da are infinitesimal volume and surface element, respectively. Proof of this theorem is beyond the scope of these notes.
Using (2.262) the following identities can be established:

Integral Theorems - Civil Engineering (CE)

where Φ, u, A are continuously differentiable scalar, vector and tensor fields defined in v and continuous in v and n is the outward unit normal field acting along the surface a.


Stokes theorem 
Stokes theorem relates a surface integral, which is valid over any open surface a, to a line integral around the bounding single simple closed curve c in three dimensional space. Let dx denote the tangent vector to the curve, c and


Integral Theorems - Civil Engineering (CE)

denote the outward unit vector field n normal to s. The curve c has positive orientation relative to n in the sense shown in figure 2.3. The indicated circuit with the adjacent points 1, 2, 3 (1, 2 on curve c and 3 an interior point of the surface s) induced by the orientation of c is related to the direction of n (i.e., a unit vector normal to s at point 3) by right-hand screw rule. For a continuously differentiable vector field u defined on some region containing a, we have

Integral Theorems - Civil Engineering (CE)

Let Φ and u be continuously differentiable scalar and vector fields defined on a and c and n is the outward drawn normal to a. Then, the following can be show :Integral Theorems - Civil Engineering (CE)


Green’s theorem 
Finally, we record Greens’s theorem. We do this first for simply connected domain and then for multiply connected domain. If any curve within the domain can be shrunk to a point in the domain without leaving the domain, then such a domain is said to be simply connected. A domain that is not simply connected is said to be multiply connected.

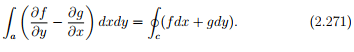
Applying Stoke’s theorem, (2.268) to a planar simply connected domain with the vector field given as u = f(x, y)e1 + g(x, y)e2,

Integral Theorems - Civil Engineering (CE)

The above equation (2.271) when f(x, y) = 0 reduces to

Integral Theorems - Civil Engineering (CE)

where θ is the angle made by the tangent to the curve c with e1 and nis the component of the unit normal n along e1 direction, refer to figure 2.4. Then, when g(x, y) = 0 equation (2.271) yields,
Integral Theorems - Civil Engineering (CE)

where ny is the component of the unit normal along the e2 direction. Similarly, applying Stoke’s theorem (2.268) to a vector field, Integral Theorems - Civil Engineering (CE)  Integral Theorems - Civil Engineering (CE)   defined over a planar simply connected domain,

Integral Theorems - Civil Engineering (CE)

The above equation (2.274) when Integral Theorems - Civil Engineering (CE) reduces to

Integral Theorems - Civil Engineering (CE)

where ny is the component of the normal to the curve along the e2 direction and when Integral Theorems - Civil Engineering (CE) yields

Integral Theorems - Civil Engineering (CE)

where nz is the component of the normal to the curve along the e3 direction. 

Integral Theorems - Civil Engineering (CE)
Figure 2.4: Relation between tangent and normal vectors to a curve in xy plane

Integral Theorems - Civil Engineering (CE)
Figure 2.5: Illustration of a multiply connected region 

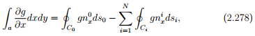
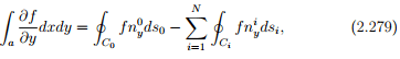
In a simply connected domain, the region of interest has a single simple closed curve. In a multiply connected domain, the region of interest has several simple closed curves, like the one shown in figure 2.5. If the line integrals are computed by traversing in the direction shown in figure 2.5,

Integral Theorems - Civil Engineering (CE)

where the functions f and g are continuously differentiable in the domain, C0 is the outer boundary of the domain, Ci ’s are the boundary of the voids in the interior of the domain and we have assumed that there are N such voids in the domain. We emphasize again our assumption that we transverse the interior voids in the same sense as the outer boundary.
The above equation (2.277) when f(x, y) = 0 reduces to

Integral Theorems - Civil Engineering (CE)

where nix is the component of the unit normal n along e1 direction of the i th curve. Then, when g(x, y) = 0 equation (2.277) yields,

Integral Theorems - Civil Engineering (CE)

where niy is the component of the unit normal along the e2 direction of the ith curve.

The document Integral Theorems - Civil Engineering (CE) is a part of Civil Engineering (CE) category.
All you need of Civil Engineering (CE) at this link: Civil Engineering (CE)

FAQs on Integral Theorems - Civil Engineering (CE)

1. What are the fundamental integral theorems?
Ans. The fundamental integral theorems are a set of mathematical theorems that relate integrals to derivatives and provide powerful tools for evaluating integrals. They include the Fundamental Theorem of Calculus, Green's Theorem, Stokes' Theorem, and the Divergence Theorem.
2. What is the Fundamental Theorem of Calculus?
Ans. The Fundamental Theorem of Calculus states that if a function f is continuous on a closed interval [a, b] and F is an antiderivative of f, then the definite integral of f from a to b is equal to the difference in values of F at the endpoints: ∫[a,b] f(x) dx = F(b) - F(a).
3. How does Green's Theorem relate line integrals and double integrals?
Ans. Green's Theorem relates a line integral around a simple closed curve C to a double integral over the plane region D bounded by C. It states that if P and Q have continuous first-order partial derivatives on D, then the line integral of P dx + Q dy around C is equal to the double integral of (Qx - Py) dA over D.
4. What is the significance of Stokes' Theorem in vector calculus?
Ans. Stokes' Theorem is a fundamental result in vector calculus that relates the circulation of a vector field around a closed curve to the flux of the curl of the vector field through the surface bounded by the curve. It provides a powerful tool for calculating line integrals and surface integrals, and has applications in electromagnetism and fluid dynamics.
5. How does the Divergence Theorem relate flux and volume integrals?
Ans. The Divergence Theorem, also known as Gauss's Theorem, relates the flux of a vector field through a closed surface to the volume integral of the divergence of the vector field over the region enclosed by the surface. It states that the flux of a vector field through a closed surface is equal to the triple integral of the divergence of the vector field over the region enclosed by the surface. This theorem allows for the conversion between surface integrals and volume integrals, and has applications in physics, particularly in fluid flow and electromagnetism.
Download as PDF

Top Courses for Civil Engineering (CE)

Related Searches

Important questions

,

past year papers

,

pdf

,

Summary

,

Integral Theorems - Civil Engineering (CE)

,

Exam

,

Integral Theorems - Civil Engineering (CE)

,

video lectures

,

shortcuts and tricks

,

Previous Year Questions with Solutions

,

practice quizzes

,

Objective type Questions

,

MCQs

,

Free

,

Integral Theorems - Civil Engineering (CE)

,

study material

,

Semester Notes

,

ppt

,

Sample Paper

,

Viva Questions

,

Extra Questions

,

mock tests for examination

;