Chemistry Exam  >  Chemistry Notes  >  Physical Chemistry  >  Introduction & Basic Concepts of Thermodynamics

Introduction & Basic Concepts of Thermodynamics | Physical Chemistry PDF Download

Thermodynamics

“The study of the flow of heat or any other form of energy into or out of a system as it undergoes a physical or chemical transformation, is called thermodynamics.” 

Thermodynamics Terms and Basic Concepts

System, Boundary, Surroundings:

Introduction & Basic Concepts of Thermodynamics | Physical Chemistry

  • System: “A system is that part of the universe which is under thermodynamic study and the rest of the universe is surroundings.”
  • Boundary: “A real or imaginary surface separating the system from the surroundings is called the boundary.”
  • “When a system is uniform throughout, it is called a Homogeneous system & a Heterogeneous system is one which consists of two or more phase.”
  • Surroundings: The surroundings contain everything other than the system. The system and the surroundings together make up the universe. 

Types of Thermodynamics Systems

1. Open system: An open system is one that can transfer both energy and matter to and from its surroundings 

2. Closed system: A closed system is one that cannot transfer matter but transfer energy in the form of heat, work & radiation to and from its surroundings.

3. Isolated system: An isolated system is one that can transfer neither matter nor energy to and from its surroundings.

Introduction & Basic Concepts of Thermodynamics | Physical Chemistry

Question for Introduction & Basic Concepts of Thermodynamics
Try yourself:
Which type of thermodynamics system can transfer both energy and matter to and from its surroundings?
View Solution

Intensive & Extensive Property

A. Intensive property: A property that does not depend on the quantity of matter present in the system is known as an intensive property.

Example: Temperature (T), pressure (P), and density (r) are examples of Intensive properties.
B. Extensive property: A property that depends on the quantity of matter present in the system, is called an extensive property.
Example: Volume, number of moles, enthalpy, entropy and Gibb’s free energy etc. “Extensive properties are additive while intensive properties are not”.

Introduction & Basic Concepts of Thermodynamics | Physical Chemistry

Thermodynamics Process

1. Isothermal process: The process in which the temperature remains fixed, are termed isothermal process.
For an isothermal process dT = 0

2. Adiabatic process: The process in which no heat can flow into or out of the system are, called adiabatic process.
For an adiabat ic process dq = 0

3. Isobaric process: The processes which take place at constant pressure are called isobaric process.
For an isobaric process dp = 0

4. Isochoric process: Those processes in which the volume remains constant are known as isochoric process.
For isochoric process dV = 0

Introduction & Basic Concepts of Thermodynamics | Physical Chemistry

Cyclic Process

When a system in a given state goes through a number of different processes and finally returns to its initial state, the overall process is called a cycle or cyclic process.
For cyclic process dE = 0, dH = 0.
 

State Functions 

A thermodynamic system is said to be in a certain state when all its properties are fixed. 

These states of a system are pressure (P), temperature (T), volume (V), mass, and composition. Change in certain property alters the state of the system, these are referred to as state variables or state functions, or thermodynamic parameters.
The state functions P, V, T are in the form of an algebraic relationship called the equation of state. Thus for 1 mole of pure gas, the equation of state is

 PV = RT (R is gas constant)

“All the thermodynamic quantity like P, T, V, H, G, U, A, S, µ are state function”. Work and heat are path functions and not state functions.

Question for Introduction & Basic Concepts of Thermodynamics
Try yourself:
Which of the following is an example of an intensive property?
View Solution

Euler's Theorem

In a mathematical way, a function is said to be a state function if it follows Euler’s theorem.
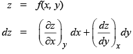
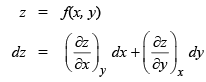
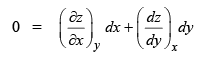
Let z be a thermodynamic quantity then it is said to be a state function if it follows Euler’s theorem.
then Introduction & Basic Concepts of Thermodynamics | Physical Chemistry

Let Introduction & Basic Concepts of Thermodynamics | Physical Chemistry Introduction & Basic Concepts of Thermodynamics | Physical Chemistry

⇒ dz = A dx + B dy

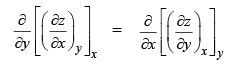
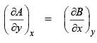
if Introduction & Basic Concepts of Thermodynamics | Physical Chemistry

then z said to be a state function. and this is Euler’s theorem.
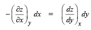
if Introduction & Basic Concepts of Thermodynamics | Physical Chemistry


then z is not state function if z is state function then

Introduction & Basic Concepts of Thermodynamics | Physical Chemistry
Introduction & Basic Concepts of Thermodynamics | Physical Chemistry

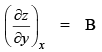
i.e., when we change the operator then the constant will also change.


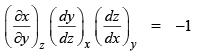
Cyclic Rule for State Functions

Let z is the function of x & y then
Introduction & Basic Concepts of Thermodynamics | Physical Chemistry   Introduction & Basic Concepts of Thermodynamics | Physical Chemistry

For a cycle                 dz = 0

Then Introduction & Basic Concepts of Thermodynamics | Physical Chemistry
Introduction & Basic Concepts of Thermodynamics | Physical Chemistry
Introduction & Basic Concepts of Thermodynamics | Physical Chemistry

This is cyclic rule.

This cyclic rule applicable only for state functions.

The document Introduction & Basic Concepts of Thermodynamics | Physical Chemistry is a part of the Chemistry Course Physical Chemistry.
All you need of Chemistry at this link: Chemistry
84 videos|142 docs|67 tests

FAQs on Introduction & Basic Concepts of Thermodynamics - Physical Chemistry

1. What is thermodynamics?
Ans. Thermodynamics is a branch of physics that deals with the relationship between heat, energy, and work. It focuses on how energy is transferred and transformed during physical and chemical processes.
2. What are state functions in thermodynamics?
Ans. State functions in thermodynamics are properties that depend only on the current state of a system and are independent of how that state was achieved. Examples of state functions include temperature, pressure, volume, and internal energy.
3. What does the cyclic rule for state functions state?
Ans. The cyclic rule for state functions states that for a system that undergoes a cyclic process, the net change in any state function is zero. In other words, if a system starts and ends in the same state, the overall change in a state function is zero.
4. What are the basic concepts of thermodynamics?
Ans. The basic concepts of thermodynamics include the first law of thermodynamics (conservation of energy), the second law of thermodynamics (entropy and the direction of processes), and the third law of thermodynamics (the behavior of systems as they approach absolute zero temperature).
5. How does thermodynamics relate to everyday life?
Ans. Thermodynamics has numerous applications in everyday life, such as in the design of engines and refrigerators, understanding energy transfer in cooking, determining the efficiency of power plants, and predicting the behavior of chemical reactions. It provides a framework for understanding how energy flows and changes in various systems.
Related Searches

MCQs

,

Extra Questions

,

Free

,

Introduction & Basic Concepts of Thermodynamics | Physical Chemistry

,

Objective type Questions

,

Summary

,

pdf

,

Introduction & Basic Concepts of Thermodynamics | Physical Chemistry

,

past year papers

,

ppt

,

Important questions

,

Introduction & Basic Concepts of Thermodynamics | Physical Chemistry

,

Sample Paper

,

study material

,

Exam

,

Previous Year Questions with Solutions

,

practice quizzes

,

Semester Notes

,

mock tests for examination

,

Viva Questions

,

video lectures

,

shortcuts and tricks

;