Chemistry Exam  >  Chemistry Notes  >  Physical Chemistry  >  PH, Buffer Solutions, Solubility & Solubility Product

PH, Buffer Solutions, Solubility & Solubility Product | Physical Chemistry PDF Download

17. Calculation of pH of Acidic Buffer Solution

PH, Buffer Solutions, Solubility & Solubility Product | Physical Chemistry

Since most of CH3COO comes from salt (CH3COONa) and hence conc. of CH3COO will be conc. of CH3COONa.

PH, Buffer Solutions, Solubility & Solubility Product | Physical Chemistry

Taking (–ve) log both side

PH, Buffer Solutions, Solubility & Solubility Product | Physical Chemistry

PH, Buffer Solutions, Solubility & Solubility Product | Physical Chemistry

Illustration: Find pH of solution contains 0.1 M (100 ml) CH3COOH and mixed with 0.1 M, 50 ml NaOH. Ka = 10–5.

Solution: Here, an acid and base are mixed. So, first of all, Acid–Base react ion take place.

MIlimoles of CH3COOH = 10 mmol

 Milimoles of NaOH = 5 mmol

PH, Buffer Solutions, Solubility & Solubility Product | Physical Chemistry

Now, solution is having weak acid CH3COOH and it’s salt having common ion. So, this solution is buffer solution ⇨ Acidic Buffer

PH, Buffer Solutions, Solubility & Solubility Product | Physical Chemistry

18. Basic Buffer

A mixture containing equimolar solutions of ammonium hydroxide and its almost completely dissociated salt, ammonium chloride, constitutes another good basic buffer.The mixture contains undissociated NH4OH as well as NH4+ and Cl ions. The buffer action of this mixture many now be considered. If a strong acid is added. The H+ ions added are neutralized by the base NH4OH

PH, Buffer Solutions, Solubility & Solubility Product | Physical Chemistry

If a strong base is added, the OH ions added are neutralized by NH4+ ions forming very slightly dissociated NH4OH.

19. Calculation of pH of Basic Buffer Solution

e.g. Mixture of (NH4OH + NH4Cl)

PH, Buffer Solutions, Solubility & Solubility Product | Physical Chemistry

Since most of NH4+ ions comes salt (NH4Cl) so we take NH4+ conc. of salt (NH4Cl).

PH, Buffer Solutions, Solubility & Solubility Product | Physical Chemistry

Hence pH = 14 –pOH at 14°C, Kw = 1 × 10–14 mol/litre.

Illustration:0.1 M, 100 ml NH4OH is titrated with 0.1 M, H2SO4 solution. Calculate the pH if kb = 10–5 

(a) Nothing is added 

(b) 25 ml, H2SO4 is added 

(c) 0.1 M, 20 ml NaOH is mixed in resulting solution for made in part b. 

(d) Find the pH if 0.1M, 10 ml H2SO4 is added in part b. 

Solution

PH, Buffer Solutions, Solubility & Solubility Product | Physical Chemistry

b) When an acid H2SO4 is added with NH4OH (a base), Acid-Base reaction takes place. 

PH, Buffer Solutions, Solubility & Solubility Product | Physical Chemistry

c) In part b we are having a weak base and its salt when NaOH is added it will React with (NH4)2SO4.

PH, Buffer Solutions, Solubility & Solubility Product | Physical Chemistry

Now, the solution is having weak base and it’s salt, hence Buffer 

PH, Buffer Solutions, Solubility & Solubility Product | Physical Chemistry


20. Salt Buffer

A salt buffer is a solution of a salt which itself can act as a buffer. Such salt is the salt of a weak acid and weak base.

For example, 

PH, Buffer Solutions, Solubility & Solubility Product | Physical Chemistry

When an acid is added, it reacts with CH3COO to produce CH3COOH and when a base is added, it reacts with NH4to produce NH4OH.


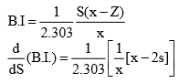
21. Buffer Capacity or Buffer Index  

Buffer capacity of a solution is defined in terms of buffer index which is the change in the concentration of Buffer acid (or base) required for change of it’s pH value by one, keeping

PH, Buffer Solutions, Solubility & Solubility Product | Physical Chemistry 

Let there be a buffer solution of volume 1 litre with ‘x’ mole of acid and ‘S’ moles of ‘salt’

PH, Buffer Solutions, Solubility & Solubility Product | Physical Chemistry

Maximum value of Buffer Index 

PH, Buffer Solutions, Solubility & Solubility Product | Physical Chemistry

For maximum value of Buffer index

PH, Buffer Solutions, Solubility & Solubility Product | Physical Chemistry 

Hence max. value of Buffer index occurs when PH, Buffer Solutions, Solubility & Solubility Product | Physical Chemistry

22. Buffer Range 

It is difficult to give an exact limit into which a buffer can be used it in generally accepted that a solution has useful buffer capacity provided that the value of [Salt]/[Acid] lie within the range of 10 to 0.1. Hence from Henderson equation.

pKa + log 0.1 < pH < pKa + log10 10 

pKa – 1 < pH < pKa + 1 

 Outside this range the Buffer capacity it too small to be of any practical application. 

23. Hydrolysis of Salt 

Salts are strong electrolytes when dissolved in water, they dissociated almost completely into cations or anions. If anion reacts with water it is called as anionic hydrolysis. 

PH, Buffer Solutions, Solubility & Solubility Product | Physical Chemistry

If cation reacts with water it is called as cationic hydrolysis. 

PH, Buffer Solutions, Solubility & Solubility Product | Physical Chemistry

“The phenomenon of the interaction of anions and cations of the salt with H+ and OH ions furnished by water yielding acidic or alkaline solution is known as salt hydrolysis. 

For the study of hydrolysis salts are divided into 4 groups. 

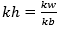
Hydrolysis of salt of strong Acid or weak base: 

PH, Buffer Solutions, Solubility & Solubility Product | Physical Chemistry

Relation B/w Kh, Kb and Kw:

PH, Buffer Solutions, Solubility & Solubility Product | Physical Chemistry

Dividing (2) ÷  (1) 

PH, Buffer Solutions, Solubility & Solubility Product | Physical Chemistry

Degree of hydrolys

PH, Buffer Solutions, Solubility & Solubility Product | Physical Chemistry

PH, Buffer Solutions, Solubility & Solubility Product | Physical Chemistry

Hydrolysis of salt of weak acid and strong base:

CH3COONa is a salt of weak acid (CH3COOH) and strong base (NaOH). After hydrolysis resultant solution will be basic due to presence of strong base (NaOH)/ 

PH, Buffer Solutions, Solubility & Solubility Product | Physical Chemistry

PH, Buffer Solutions, Solubility & Solubility Product | Physical Chemistry

Relation between, Kh, Kw and Ka 

PH, Buffer Solutions, Solubility & Solubility Product | Physical Chemistry

PH, Buffer Solutions, Solubility & Solubility Product | Physical Chemistry

Dividing equation (2) ÷ (1)

PH, Buffer Solutions, Solubility & Solubility Product | Physical Chemistry

Degree of Hydrolysis

PH, Buffer Solutions, Solubility & Solubility Product | Physical Chemistry 

PH, Buffer Solutions, Solubility & Solubility Product | Physical Chemistry  should be smaller than 0.1 than 1 – h = 1 

PH, Buffer Solutions, Solubility & Solubility Product | Physical Chemistry

Taking (- ve) log both side

PH, Buffer Solutions, Solubility & Solubility Product | Physical Chemistry

pH will be more than 7, hence resultant solution will be basic in nature. 

Hydrolysis of salt of Weak Acid and Weak Base:

Let’s take the salt CH3COONH made of salt of weak acid (CH3COOH) and Weak base (NH4OH).

PH, Buffer Solutions, Solubility & Solubility Product | Physical Chemistry

PH, Buffer Solutions, Solubility & Solubility Product | Physical Chemistry

Relation between, Kh, Kw, Ka and Kb 

PH, Buffer Solutions, Solubility & Solubility Product | Physical Chemistry

PH, Buffer Solutions, Solubility & Solubility Product | Physical Chemistry

Degree of Hydrolysis 

PH, Buffer Solutions, Solubility & Solubility Product | Physical Chemistry

If  h ≤ 0.1,  1 – h ≌ 1 

PH, Buffer Solutions, Solubility & Solubility Product | Physical Chemistry

The acetic acid formed would partially decompose to give CH3COO and H+. But because of common ion effect (that is, due to the unhydrolyzed CH3COO) it is possible to neglect the acetate ion coming from CH3COOH. 

PH, Buffer Solutions, Solubility & Solubility Product | Physical Chemistry

PH, Buffer Solutions, Solubility & Solubility Product | Physical Chemistry

This expression is independent of conc. of the salt. 

(i) if Ka = Kb, pH = 7 solution will be neutral 

(ii)  if Ka > Kb, pH < 7, acidic solution 

(iii) if Ka < Kb then pH > 7, alkaline solution 

In the hydrolysis of salt of weak acid and a weak base such as NH4CN, CH3COONH4. Both the ions are hydrolyzed, if we assume Ka ≌ Kb, then the hydrolysis of the cation and anion of the salt occur approximately to equal extent for a salt which has Ka < Kb. it would be expected at the first glance that CN ions hydrolyzed to a much greater extent than PH, Buffer Solutions, Solubility & Solubility Product | Physical Chemistry ions. However, the hydrolysis of CN ion produced OH ions according to the equation.

PH, Buffer Solutions, Solubility & Solubility Product | Physical Chemistry

Which can react with PH, Buffer Solutions, Solubility & Solubility Product | Physical Chemistry  ions as 

PH, Buffer Solutions, Solubility & Solubility Product | Physical Chemistry

This latter reaction causes equilibrium in the from reaction to be displaced to the right. Because OH ions are removed from the solution. Also the production of OH by the former reaction displaces the latter reaction to the right. Therefore the hydrolysis of one ion drags the hydrolysis of the other ion along so that both the hydrolysis are fairly extensive far in extant from each other so it is fairly safe to assume PH, Buffer Solutions, Solubility & Solubility Product | Physical Chemistry

Illustration: What is the pH of 0.4 M aqueous solution of NaCN, given that the pkb (CN) is 70. 

PH, Buffer Solutions, Solubility & Solubility Product | Physical Chemistry

pKb(CN) is given means equilibrium constant of this reaction is given. This reaction expresses the basicity of CN ion. 

pKb = - log Kb

4.7 = - log Kb

Kb = 1.9 × 10–5 

PH, Buffer Solutions, Solubility & Solubility Product | Physical Chemistry

pOH = 2.55 

pH = 11.45 

Illustration: Find out the Kh of a centimolar solution of NH4Cl. If the dissociation constant for NH4OH is 10–6 and Kw = 10–14. Find the degree of hydrolysis and pH of solution. 

Solution: NH4Cl is a salt of strong acid and weak base.   

PH, Buffer Solutions, Solubility & Solubility Product | Physical Chemistry

Equilibrium constant PH, Buffer Solutions, Solubility & Solubility Product | Physical Chemistry

Kb = 10–6 

PH, Buffer Solutions, Solubility & Solubility Product | Physical Chemistry

pH = 5

24. Case IV: Salts of Strong Acid + Strong Base 

e.g., NaCl, KNO3,………..etc. 

This category of salts not undergo salt hydrolysis 

25. Solubility and Solubility Product 

A solution which remain in contact with excess of the solute is said to be saturated. The amount of a solute, dissolved in a given volume of a solvent (in 1 litre) to forma saturated solution at a given temperature, it termed as the solubility of the solute in the solvent at that temperature.

Molar Solubility: 

No. of moles of solute dissolved in per litre of solution 

Solubility Product: 

In a saturated of a salt, there exists a dynamic equilibrium between the excesss of the solute and ions furnished by that parts of the solute which has gone in solution. The solubility product of a sparingly soluble salt is given as product of the conc. of the ions raised to the power equal to the no. of times the in occur in the equation after the dissociation of the electrolyte.

PH, Buffer Solutions, Solubility & Solubility Product | Physical Chemistry 

Let the solubility of AxBy is S then   

PH, Buffer Solutions, Solubility & Solubility Product | Physical Chemistry

The principle of solubility product is applicable for sparingly soluble salt. 

26. Common-ion Effect on Solubility 

The common ion present in the solution decrease the solubility of a given compound e.g. The solubility of BaSO4 in Na2SO4 solution is smaller than in an aqueous solution. 

Consider saturated solution of AgCl. If a salt having either of the ion common to AgCl say KCl is added to it, then

PH, Buffer Solutions, Solubility & Solubility Product | Physical Chemistry 

[Cl] Increases in solution due to presence of KCl and thus to have KSP constant, [Ag+] will decrease or AgCl will precipitate out from solution, i.e., solubility of AgCl will decrease with increasing concentration of KCl in solution. 

Let 0.1 M KCl(aq.) solution with AgCl(aq.). If solubility of AgCl is s mol litre–1, then

For AgCl               KSP = [Ag+][Cl

                              KSP = s(s + 0.1)

s being small in comparison to 0.1 and thus may be neglected therefore, 

PH, Buffer Solutions, Solubility & Solubility Product | Physical Chemistry

Where s is solubility of AgCl in presence of 0.1 M KClaq. 

27. Ionic Product 

For a solution of a salt at a specified concentration, the product of the concentration of the ions, each raised to the proper power, is called as the ionic product for a saturated solution in equilibrium with excess of solid, the ionic product is equal to solubility product. 

At equilibrium, ionic product = solubility product 

If ionic product is less than solubility product it means solution is unsaturated means more salt can be dissolve in it. 

If ionic product greater than solubility it means solution is holding more salt than can dissolve in it, therefore ppt started till, until or unless ionic product becomes equal to Ksp

The document PH, Buffer Solutions, Solubility & Solubility Product | Physical Chemistry is a part of the Chemistry Course Physical Chemistry.
All you need of Chemistry at this link: Chemistry
84 videos|142 docs|67 tests

FAQs on PH, Buffer Solutions, Solubility & Solubility Product - Physical Chemistry

1. What is a buffer solution and how does it work?
A buffer solution is a solution that resists changes in pH when small amounts of an acid or base are added to it. It consists of a weak acid and its conjugate base or a weak base and its conjugate acid. The weak acid or base reacts with the added acid or base, preventing a significant change in pH. This is achieved through the principle of Le Chatelier's principle, where the equilibrium of the weak acid-base system is shifted to counteract the change.
2. How do buffer solutions maintain a stable pH?
Buffer solutions maintain a stable pH by having a large concentration of both the weak acid and its conjugate base (or weak base and its conjugate acid). When an acid is added, it reacts with the conjugate base to form the weak acid. Similarly, when a base is added, it reacts with the weak acid to form the conjugate base. These reactions minimize the change in pH by shifting the equilibrium towards the weaker acid-base pair.
3. What is solubility and how is it determined?
Solubility refers to the maximum amount of solute that can dissolve in a given amount of solvent at a specific temperature and pressure. It is determined through experimental measurements by adding a known amount of solute to a solvent and observing if it dissolves completely or forms a precipitate. The solubility can be expressed as grams of solute per liter of solvent or as a molar concentration.
4. What is the solubility product and how is it calculated?
The solubility product (Ksp) is a constant that represents the equilibrium between a solid solute and its dissolved ions in a solution at a specific temperature. It is calculated by multiplying the concentrations of the ions raised to the power of their respective stoichiometric coefficients. For example, if the balanced equation for the dissolution of a compound is A(aq) + B(aq) ⇌ AB(s), the solubility product expression would be [A][B], where [A] and [B] represent the concentrations of ions A and B, respectively.
5. How does temperature affect solubility and the solubility product?
Temperature has a significant effect on solubility and the solubility product. In general, an increase in temperature leads to an increase in solubility for solid solutes, but the effect on the solubility product depends on the reaction's enthalpy. If the dissolution of a compound is exothermic, an increase in temperature will decrease the solubility and the value of the solubility product. Conversely, if the dissolution is endothermic, an increase in temperature will increase the solubility and the value of the solubility product.
Related Searches

mock tests for examination

,

Buffer Solutions

,

Summary

,

Previous Year Questions with Solutions

,

Solubility & Solubility Product | Physical Chemistry

,

Sample Paper

,

Buffer Solutions

,

video lectures

,

past year papers

,

study material

,

PH

,

Objective type Questions

,

Buffer Solutions

,

Viva Questions

,

Exam

,

PH

,

ppt

,

Free

,

PH

,

MCQs

,

Solubility & Solubility Product | Physical Chemistry

,

Extra Questions

,

Important questions

,

pdf

,

Solubility & Solubility Product | Physical Chemistry

,

shortcuts and tricks

,

Semester Notes

,

practice quizzes

;