JEE Exam  >  JEE Notes  >  I. E. Irodov Solutions for Physics Class 11 & Class 12  >  Irodov Solutions: Electromagnetic Waves. Radiation- 1

Irodov Solutions: Electromagnetic Waves. Radiation- 1 | I. E. Irodov Solutions for Physics Class 11 & Class 12 - JEE PDF Download

Q.189. An electromagnetic wave of frequency v = 3.0 MHz passes from vacuum into a non-magnetic medium with permittivity a = 4.0. Find the increment of its wavelength. 

Ans. The velocity of light in a medium of relative permittivity Irodov Solutions: Electromagnetic Waves. Radiation- 1 | I. E. Irodov Solutions for Physics Class 11 & Class 12 - JEEThus the change in wavelength of light (from its value in vaccum to its value in the medium) is

Irodov Solutions: Electromagnetic Waves. Radiation- 1 | I. E. Irodov Solutions for Physics Class 11 & Class 12 - JEE

  

Q.190. A plane electromagnetic wave falls at right angles to the surface of a plane-parallel plate of thickness l. The plate is made of non-magnetic substance whose permittivity decreases exponentially from a value al  at the front surface down to a value a, at the rear one. How long does it take a given wave phase to travel across this plate? 

Ans. From the data of the problem the relative permittivity of the medium varies as  

Irodov Solutions: Electromagnetic Waves. Radiation- 1 | I. E. Irodov Solutions for Physics Class 11 & Class 12 - JEE

Hence the local velocity of light

Irodov Solutions: Electromagnetic Waves. Radiation- 1 | I. E. Irodov Solutions for Physics Class 11 & Class 12 - JEE

Thus the required time Irodov Solutions: Electromagnetic Waves. Radiation- 1 | I. E. Irodov Solutions for Physics Class 11 & Class 12 - JEE

Irodov Solutions: Electromagnetic Waves. Radiation- 1 | I. E. Irodov Solutions for Physics Class 11 & Class 12 - JEE

  

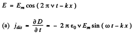
Q.191. A plane electromagnetic wave of frequency v = 10 MHz propagates in a poorly conducting medium with conductivity σ = = 10 mS/m and permittivity ε = 9. Find the ratio of amplitudes of conduction and displacement current densities. 

Ans. Conduction current density Irodov Solutions: Electromagnetic Waves. Radiation- 1 | I. E. Irodov Solutions for Physics Class 11 & Class 12 - JEE

Displacement current density Irodov Solutions: Electromagnetic Waves. Radiation- 1 | I. E. Irodov Solutions for Physics Class 11 & Class 12 - JEE

Ratio of magnitudesIrodov Solutions: Electromagnetic Waves. Radiation- 1 | I. E. Irodov Solutions for Physics Class 11 & Class 12 - JEE on puting the values.

 

Q.192. A plane electromagnetic wave E = Em  cos (ωt— kr) propagates in vacuum. Assuming the vectors Em  and k to be known, find the vector H as a function of time t at the point with radius vector r = 0. 

Ans. 

Irodov Solutions: Electromagnetic Waves. Radiation- 1 | I. E. Irodov Solutions for Physics Class 11 & Class 12 - JEE

So integrating (ignoring a constant) and using Irodov Solutions: Electromagnetic Waves. Radiation- 1 | I. E. Irodov Solutions for Physics Class 11 & Class 12 - JEE

Irodov Solutions: Electromagnetic Waves. Radiation- 1 | I. E. Irodov Solutions for Physics Class 11 & Class 12 - JEE

 

Q.193. A plane electromagnetic wave E = Em  cos (ωt— kr), where Em, = Emey, k = kex, ex, e are the unit vectors of the x, y axes, propagates in vacuum. Find the vector H at the point with radius vector r = xex  at the moment (a) t = 0, (b) t = to. Consider the case when Em  =1 60 V/m, k = 0.51 m-1, x = 7.7 m, and to  = = 33 ns. 

Ans. As in the previous problem 

Irodov Solutions: Electromagnetic Waves. Radiation- 1 | I. E. Irodov Solutions for Physics Class 11 & Class 12 - JEE

Thus

Irodov Solutions: Electromagnetic Waves. Radiation- 1 | I. E. Irodov Solutions for Physics Class 11 & Class 12 - JEE

  

Q.194. A plane electromagnetic wave E = Em, cos (ωt— kx) propagating in vacuum induces the emf gin, in a square frame with side l. The orientation of the frame is shown in Fig. 4.37. Find the amplitude value εind, if E= 0.50 mV/m, the frequency v =5.0 MHz and l = 50 cm. 

Irodov Solutions: Electromagnetic Waves. Radiation- 1 | I. E. Irodov Solutions for Physics Class 11 & Class 12 - JEE

Ans. 

Irodov Solutions: Electromagnetic Waves. Radiation- 1 | I. E. Irodov Solutions for Physics Class 11 & Class 12 - JEE

Putting the values

Irodov Solutions: Electromagnetic Waves. Radiation- 1 | I. E. Irodov Solutions for Physics Class 11 & Class 12 - JEE

 

Q.195. Proceeding from Maxwell's equations show that in the case of a plane electromagnetic wave (Fig. 4.38) propagating in vacuum the following relations hold: 

Irodov Solutions: Electromagnetic Waves. Radiation- 1 | I. E. Irodov Solutions for Physics Class 11 & Class 12 - JEE

Ans. 

Irodov Solutions: Electromagnetic Waves. Radiation- 1 | I. E. Irodov Solutions for Physics Class 11 & Class 12 - JEE

Irodov Solutions: Electromagnetic Waves. Radiation- 1 | I. E. Irodov Solutions for Physics Class 11 & Class 12 - JEE

 

Q.196. Find the mean Poynting vector (8) of a plane electromagnetic wave E = E cos (ωt— kr) if the wave propagates in vacuum. 

Ans. 

Irodov Solutions: Electromagnetic Waves. Radiation- 1 | I. E. Irodov Solutions for Physics Class 11 & Class 12 - JEE

So

Irodov Solutions: Electromagnetic Waves. Radiation- 1 | I. E. Irodov Solutions for Physics Class 11 & Class 12 - JEE

  

Q.197.. A plane harmonic electromagnetic wave with plane polarization propagates in vacuum. The electric component of the wave has a strength amplitude Em = 50 mV/m, the frequency is v 100 MHz. Find:
 (a) the efficient value of the displacement current density;
 (b) the mean energy flow density averaged over an oscillation period. 

Ans.

Irodov Solutions: Electromagnetic Waves. Radiation- 1 | I. E. Irodov Solutions for Physics Class 11 & Class 12 - JEE

Thus

Irodov Solutions: Electromagnetic Waves. Radiation- 1 | I. E. Irodov Solutions for Physics Class 11 & Class 12 - JEE

Irodov Solutions: Electromagnetic Waves. Radiation- 1 | I. E. Irodov Solutions for Physics Class 11 & Class 12 - JEE 

 

Q.198. A ball of radius R = 50 cm is located in a non-magnetic medium with permittivity ε = 4.0. In that medium a plane electromagnetic wave propagates,the strength amplitude of whose electric component is equal to Em = 200 Vim. What amount of energy reaches the ball during a time interval t = 1.0 min?

Ans. For the Poynting vector we can derive as in (196)

Irodov Solutions: Electromagnetic Waves. Radiation- 1 | I. E. Irodov Solutions for Physics Class 11 & Class 12 - JEE along the direction of propagation.

Hence in time t (which is much longer than the time period T of the wave), the eneigy reaching the ball is

Irodov Solutions: Electromagnetic Waves. Radiation- 1 | I. E. Irodov Solutions for Physics Class 11 & Class 12 - JEE

  

Q.199. A standing electromagnetic wave with electric component E = Em  cos kx•cos ωt is sustained along the x axis in vacuum. Find the magnetic component of the wave B (x, t). Draw the approximate distribution pattern of the wave's electric and magnetic components (E and B) at the moments t = 0 and t = T/4, where T is the oscillation period. 

Ans. 

Irodov Solutions: Electromagnetic Waves. Radiation- 1 | I. E. Irodov Solutions for Physics Class 11 & Class 12 - JEE

Also

Irodov Solutions: Electromagnetic Waves. Radiation- 1 | I. E. Irodov Solutions for Physics Class 11 & Class 12 - JEE

Irodov Solutions: Electromagnetic Waves. Radiation- 1 | I. E. Irodov Solutions for Physics Class 11 & Class 12 - JEE

 

Q.200. A standing electromagnetic wave E = Em  cos kx• cos ωt is sustained along the x axis in vacuum. Find the projection of the Poynting vector on the x axis sx (x, t) and the mean value of that projection averaged over an oscillation period.

Ans. 

Irodov Solutions: Electromagnetic Waves. Radiation- 1 | I. E. Irodov Solutions for Physics Class 11 & Class 12 - JEE

Irodov Solutions: Electromagnetic Waves. Radiation- 1 | I. E. Irodov Solutions for Physics Class 11 & Class 12 - JEE

Thus

Irodov Solutions: Electromagnetic Waves. Radiation- 1 | I. E. Irodov Solutions for Physics Class 11 & Class 12 - JEE

 

Q.201. A parallel-plate air capacitor whose electrodes are shaped as discs of radius R = 6.0 cm is connected to a source of an alternating sinusoidal voltage with frequency ω = 1000 s-1. Find the ratio of peak values of magnetic and electric energies within the capacitor. 

Ans. Inside the condenser the peak electrical energy Irodov Solutions: Electromagnetic Waves. Radiation- 1 | I. E. Irodov Solutions for Physics Class 11 & Class 12 - JEE

Irodov Solutions: Electromagnetic Waves. Radiation- 1 | I. E. Irodov Solutions for Physics Class 11 & Class 12 - JEE

(d = separation between the plates, πR= area of each plate.). 

Irodov Solutions: Electromagnetic Waves. Radiation- 1 | I. E. Irodov Solutions for Physics Class 11 & Class 12 - JEE  is the maximum voltage 

Changing electric field causes a displacement current

Irodov Solutions: Electromagnetic Waves. Radiation- 1 | I. E. Irodov Solutions for Physics Class 11 & Class 12 - JEE

This gives rise to a magnetic field B (r) (at a radial distance r from the centre of the plate)

Irodov Solutions: Electromagnetic Waves. Radiation- 1 | I. E. Irodov Solutions for Physics Class 11 & Class 12 - JEE

 Energy associated with this field is

Irodov Solutions: Electromagnetic Waves. Radiation- 1 | I. E. Irodov Solutions for Physics Class 11 & Class 12 - JEE

Thus the maximum magnetic energy

Irodov Solutions: Electromagnetic Waves. Radiation- 1 | I. E. Irodov Solutions for Physics Class 11 & Class 12 - JEE

Hence

Irodov Solutions: Electromagnetic Waves. Radiation- 1 | I. E. Irodov Solutions for Physics Class 11 & Class 12 - JEE

The approximation are valid only if  Irodov Solutions: Electromagnetic Waves. Radiation- 1 | I. E. Irodov Solutions for Physics Class 11 & Class 12 - JEE 

 

Q.202. An alternating sinusoidal current of frequency ω = = 1000 s-1 f lows in the winding of a straight solenoid whose crosssectional radius is equal to R = 6.0 cm. Find the ratio of peak values of electric and magnetic energies within the solenoid. 

Ans. Here Irodov Solutions: Electromagnetic Waves. Radiation- 1 | I. E. Irodov Solutions for Physics Class 11 & Class 12 - JEE  then the peak magnetic eneigy is

Irodov Solutions: Electromagnetic Waves. Radiation- 1 | I. E. Irodov Solutions for Physics Class 11 & Class 12 - JEE

Changing magnetic field induces an electric field which by Faraday’s law is given by 

Irodov Solutions: Electromagnetic Waves. Radiation- 1 | I. E. Irodov Solutions for Physics Class 11 & Class 12 - JEE

The associated peak electric eneigy is

Irodov Solutions: Electromagnetic Waves. Radiation- 1 | I. E. Irodov Solutions for Physics Class 11 & Class 12 - JEE

Again we expect the results to be valid if and only if

Irodov Solutions: Electromagnetic Waves. Radiation- 1 | I. E. Irodov Solutions for Physics Class 11 & Class 12 - JEE 

 

Q.203. A parallel-plate capacity whose electrodes are shaped as round discs is charged slowly. Demonstrate that the flux of the Poynting vector across the capacitor's lateral surface is equal to the increment of the capacitor's energy per unit time. The dissipation of field at the edge is to be neglected in calculations. 

Ans. If the chaige on the capacitor is Q, the rate of increase of the capacitor’s energy

 Irodov Solutions: Electromagnetic Waves. Radiation- 1 | I. E. Irodov Solutions for Physics Class 11 & Class 12 - JEE

N ow electric field betw een the plates (inside it) is, Irodov Solutions: Electromagnetic Waves. Radiation- 1 | I. E. Irodov Solutions for Physics Class 11 & Class 12 - JEE

So displacement current Irodov Solutions: Electromagnetic Waves. Radiation- 1 | I. E. Irodov Solutions for Physics Class 11 & Class 12 - JEE

This will lead to a magnetic field, (circuital) inside the plates. At a radial distance r

Irodov Solutions: Electromagnetic Waves. Radiation- 1 | I. E. Irodov Solutions for Physics Class 11 & Class 12 - JEE

Hence Irodov Solutions: Electromagnetic Waves. Radiation- 1 | I. E. Irodov Solutions for Physics Class 11 & Class 12 - JEE at the edge.

Thus inward Poynting vector  Irodov Solutions: Electromagnetic Waves. Radiation- 1 | I. E. Irodov Solutions for Physics Class 11 & Class 12 - JEE

Total flow =Irodov Solutions: Electromagnetic Waves. Radiation- 1 | I. E. Irodov Solutions for Physics Class 11 & Class 12 - JEE

  

Q.204. A current I flows along a straight conductor with round cross-section. Find the flux of the Poynting vector across the lateral surface of the conductor's segment with resistance R.

Ans. Suppose the radius of the conductor is R0. Then the conduction current density is

Irodov Solutions: Electromagnetic Waves. Radiation- 1 | I. E. Irodov Solutions for Physics Class 11 & Class 12 - JEE

where  Irodov Solutions: Electromagnetic Waves. Radiation- 1 | I. E. Irodov Solutions for Physics Class 11 & Class 12 - JEEi.s the resistivity.

Inside the conductor there is a magnetic field given by

Irodov Solutions: Electromagnetic Waves. Radiation- 1 | I. E. Irodov Solutions for Physics Class 11 & Class 12 - JEE

∴ Energy flowing in per second in a section of length l is

Irodov Solutions: Electromagnetic Waves. Radiation- 1 | I. E. Irodov Solutions for Physics Class 11 & Class 12 - JEE

But the resistance Irodov Solutions: Electromagnetic Waves. Radiation- 1 | I. E. Irodov Solutions for Physics Class 11 & Class 12 - JEE

 Thus the energy flowing into the conductor = I 2 R.

 

Q.205. Non-relativistic protons accelerated by a potential difference U form a round beam with current I. Find the magnitude and direction of the Poynting vector outside the beam at a distance r from its axis. 

Ans. Here Irodov Solutions: Electromagnetic Waves. Radiation- 1 | I. E. Irodov Solutions for Physics Class 11 & Class 12 - JEE where R = radius of cross section of the conductor and n = chaige density (per unit volume)

Also

Irodov Solutions: Electromagnetic Waves. Radiation- 1 | I. E. Irodov Solutions for Physics Class 11 & Class 12 - JEE

Thus, the moving protons have a charge per unit length

Irodov Solutions: Electromagnetic Waves. Radiation- 1 | I. E. Irodov Solutions for Physics Class 11 & Class 12 - JEE

This gives rise to an electric field at a distance r given by

Irodov Solutions: Electromagnetic Waves. Radiation- 1 | I. E. Irodov Solutions for Physics Class 11 & Class 12 - JEE

The magnetic field is Irodov Solutions: Electromagnetic Waves. Radiation- 1 | I. E. Irodov Solutions for Physics Class 11 & Class 12 - JEE

Thus 

Irodov Solutions: Electromagnetic Waves. Radiation- 1 | I. E. Irodov Solutions for Physics Class 11 & Class 12 - JEE radially outward from the axis

 This is the Poynting vector.

 

Q.206. A current flowing in the winding of a long straight solenoid is increased at a sufficiently slow rate. Demonstrate that the rate at which the energy of the magnetic field in the solenoid increases is equal to the flux of the Poynting vector across the lateral surface of the solenoid. 

Ans. Within the solenoid Irodov Solutions: Electromagnetic Waves. Radiation- 1 | I. E. Irodov Solutions for Physics Class 11 & Class 12 - JEE and the rate of change of magnetic energy

 Irodov Solutions: Electromagnetic Waves. Radiation- 1 | I. E. Irodov Solutions for Physics Class 11 & Class 12 - JEE

where R = radius of cross section of the solenoid l = length.

Also Irodov Solutions: Electromagnetic Waves. Radiation- 1 | I. E. Irodov Solutions for Physics Class 11 & Class 12 - JEE along the axis within the solenoid.
By Faraday’s law, the induced electric field is

Irodov Solutions: Electromagnetic Waves. Radiation- 1 | I. E. Irodov Solutions for Physics Class 11 & Class 12 - JEE

or Irodov Solutions: Electromagnetic Waves. Radiation- 1 | I. E. Irodov Solutions for Physics Class 11 & Class 12 - JEE

Irodov Solutions: Electromagnetic Waves. Radiation- 1 | I. E. Irodov Solutions for Physics Class 11 & Class 12 - JEE

  

Q.207. Fig. 4.39 illustrates a segment of a double line carrying direct current whose direction is indicated by the arrows. Taking into account that the potential Irodov Solutions: Electromagnetic Waves. Radiation- 1 | I. E. Irodov Solutions for Physics Class 11 & Class 12 - JEE and making use of the Poynting vector, establish on which side (left or right) the source of the current is located.

Irodov Solutions: Electromagnetic Waves. Radiation- 1 | I. E. Irodov Solutions for Physics Class 11 & Class 12 - JEE

Ans. Given Irodov Solutions: Electromagnetic Waves. Radiation- 1 | I. E. Irodov Solutions for Physics Class 11 & Class 12 - JEE

The electric field is as shown by the dashed lines (— →).
The magnetic field is as shown Irodov Solutions: Electromagnetic Waves. Radiation- 1 | I. E. Irodov Solutions for Physics Class 11 & Class 12 - JEE emeiging out of the paper.Irodov Solutions: Electromagnetic Waves. Radiation- 1 | I. E. Irodov Solutions for Physics Class 11 & Class 12 - JEE is parallel to the wires and towards right.

Irodov Solutions: Electromagnetic Waves. Radiation- 1 | I. E. Irodov Solutions for Physics Class 11 & Class 12 - JEE

Hence source must be on the left. 

 

Q.208. The energy is transferred from a source of constant voltage V to a consumer by means of a long straight coaxial cable with negligible active resistance. The consumed current is I. Find the energy flux across the cross-section of the cable. The conductive sheath is supposed to be thin. 

Ans. The electric field (— → ) and the magnetic field (H→) are as shown. The electric field by Gauss’s theorem is like

Irodov Solutions: Electromagnetic Waves. Radiation- 1 | I. E. Irodov Solutions for Physics Class 11 & Class 12 - JEE

Irodov Solutions: Electromagnetic Waves. Radiation- 1 | I. E. Irodov Solutions for Physics Class 11 & Class 12 - JEE

Then Irodov Solutions: Electromagnetic Waves. Radiation- 1 | I. E. Irodov Solutions for Physics Class 11 & Class 12 - JEE

Magnetic field is Irodov Solutions: Electromagnetic Waves. Radiation- 1 | I. E. Irodov Solutions for Physics Class 11 & Class 12 - JEE

Irodov Solutions: Electromagnetic Waves. Radiation- 1 | I. E. Irodov Solutions for Physics Class 11 & Class 12 - JEE

Irodov Solutions: Electromagnetic Waves. Radiation- 1 | I. E. Irodov Solutions for Physics Class 11 & Class 12 - JEE

 

Q.209. A source of ac voltage V = Vo  cos ωt delivers energy to a consumer by means of a long straight coaxial cable with negligible active resistance. The current in the circuit varies as I = = Io  cos ωt — φ). Find the time-averaged energy flux through the cross-section of the cable. The sheath is thin.

Ans. As in the previous problem 
Irodov Solutions: Electromagnetic Waves. Radiation- 1 | I. E. Irodov Solutions for Physics Class 11 & Class 12 - JEE

Hence time averaged power flux ( along the z axis )  = Irodov Solutions: Electromagnetic Waves. Radiation- 1 | I. E. Irodov Solutions for Physics Class 11 & Class 12 - JEE

On using Irodov Solutions: Electromagnetic Waves. Radiation- 1 | I. E. Irodov Solutions for Physics Class 11 & Class 12 - JEE 

 

Q.210. Demonstrate that at the boundary between two media the normal components of the Poynting vector are continuous, i.e. S1n = S2n.

Ans. Let Irodov Solutions: Electromagnetic Waves. Radiation- 1 | I. E. Irodov Solutions for Physics Class 11 & Class 12 - JEE be along tbe z axis. Then

Irodov Solutions: Electromagnetic Waves. Radiation- 1 | I. E. Irodov Solutions for Physics Class 11 & Class 12 - JEE

Irodov Solutions: Electromagnetic Waves. Radiation- 1 | I. E. Irodov Solutions for Physics Class 11 & Class 12 - JEE

The document Irodov Solutions: Electromagnetic Waves. Radiation- 1 | I. E. Irodov Solutions for Physics Class 11 & Class 12 - JEE is a part of the JEE Course I. E. Irodov Solutions for Physics Class 11 & Class 12.
All you need of JEE at this link: JEE
88 docs

FAQs on Irodov Solutions: Electromagnetic Waves. Radiation- 1 - I. E. Irodov Solutions for Physics Class 11 & Class 12 - JEE

1. What are electromagnetic waves and how are they related to radiation?
Ans. Electromagnetic waves are a form of energy that consists of electric and magnetic fields oscillating together. Radiation refers to the process of energy transfer through the emission of electromagnetic waves. Therefore, electromagnetic waves are the means by which radiation occurs.
2. What are some examples of electromagnetic waves?
Ans. Some examples of electromagnetic waves include radio waves, microwaves, infrared radiation, visible light, ultraviolet radiation, X-rays, and gamma rays. These waves differ in their wavelengths and frequencies, which determine their properties and applications.
3. How do electromagnetic waves propagate through space?
Ans. Electromagnetic waves propagate through space as transverse waves, meaning the electric and magnetic fields oscillate perpendicular to the direction of wave propagation. These waves can travel through vacuum, as they do not require a medium for their transmission.
4. What is the relationship between the wavelength and frequency of electromagnetic waves?
Ans. The wavelength and frequency of electromagnetic waves are inversely proportional to each other. This means that as the wavelength increases, the frequency decreases, and vice versa. This relationship is described by the equation: speed of light = wavelength x frequency.
5. How are electromagnetic waves used in everyday life?
Ans. Electromagnetic waves have numerous applications in everyday life. For example, radio waves are used for communication, microwaves are used for cooking, infrared radiation is used in remote controls and thermal imaging, visible light allows us to see, and X-rays are used in medical imaging.
Related Searches

ppt

,

mock tests for examination

,

Sample Paper

,

MCQs

,

shortcuts and tricks

,

Objective type Questions

,

Extra Questions

,

past year papers

,

Previous Year Questions with Solutions

,

Important questions

,

Exam

,

Free

,

pdf

,

Semester Notes

,

Irodov Solutions: Electromagnetic Waves. Radiation- 1 | I. E. Irodov Solutions for Physics Class 11 & Class 12 - JEE

,

Irodov Solutions: Electromagnetic Waves. Radiation- 1 | I. E. Irodov Solutions for Physics Class 11 & Class 12 - JEE

,

Irodov Solutions: Electromagnetic Waves. Radiation- 1 | I. E. Irodov Solutions for Physics Class 11 & Class 12 - JEE

,

study material

,

video lectures

,

practice quizzes

,

Summary

,

Viva Questions

;