Q.1.
and
are two short dipoles having same direction. r is distance between their centers r is large.
is force between two dipoles
(a) 
(b) 
(c) 
(d) 
Correct Answer is options (b, d)
Electric field at the centre of this dipole
E1 (electric field at -q) = E + |dE|
E2 (electric field at q) = E - |dE|
Fnet on the dipole = qE1 - qE2 = 2q|dE|
=
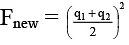
Q.2. Two identical conducting balls have positive charges q1 & q2 respectively. The balls are brought together so that they touch and then put back in their original positions. The force between the balls may be -
(a) remain same as it was before the balls touched.
(b) greater than before the balls touched
(c) less than before the balls touched
(d) zero
Correct Answer is options (a, b)
If q1 = q2 = Q
Fi ∝ q1q2
∴ Fi ∝ Q2
After touching new charges on each ball is
Fnew ∝ Q2
∴ Fi = Fnew
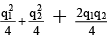
if q1 ≠ q2
=
Fnew > Fi
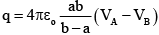
Q.3. Initially the conducting spherical shells A and B are at potential VA and VB.
(a) Potential of shell A when shell B is earthed is equal to VA – VB.
(b)Potential of shell A when shell B is earthed is equal to VB.
(b)Charge appearing on outer surface of shell A when shell B is earthed is equal to
.
(d) Charge appearing on outer surface of shell A when shell B is earthed is equal to
.
Correct Answer is options (a, c)
The potential difference will remain unchanged because by earthing the sphere B charge on A remains constant. Let V'A be the new potential at A. Then,
But V 'B = 0
∴
∴
Q.4. A parallel plate capacitor of plate area A and plate separation d is charged to potential difference V and then the battery is disconnected. A slab of dielectric constant K is then inserted between the plates of the capacitor so as to fill the space between the plates. If Q, E and W denote respectively, the magnitude of charge on each plate, the electric field between the plates (after the slab is inserted), and work done on the system, in the process of inserting the slab, then
(a) 
(b) 
(c) 
(d) 
Correct Answer is options (a, c, d)
Battery is removed. Therefore, charge stored in the plates will remain constant.
Now, dielectric slab is inserted. Therefore, C will increase. New capacity will be
And new electric field E =
Potential energy stored in the capacitor, Initially,
Finally,
Work done on the system will be
Q.5. Three identical, parallel conducting plates A, B and C are placed as shown. Switches S1 and S2 are open, and can connect A and C to earth when closed. +Q charge is given to B.
(a) If S1 is closed with S2 open, a charge of amount Q will pass through S1.
(b) If S2 is closed with S1 open, a charge of amount Q will pass through S2.
(c) If S1 and S2 are closed together a charge of amount Q/3 will pass through S1, and a charge of amount 2Q/3 will pass through S2.
(d) All the above statements are incorrect.
Correct Answer is options (a, b, c)
When either A or C is earthed (but not both together), a parallel-plate capacitor is formed with B, with ±Q charges on the inner surface. [The other plate, which is not earthed, plays no role]. Hence charge of amount +Q flows to the earth.
When both are earthed together, A and C effectively become connected. The plates now form two capacitors in the ratio 1: 2, and hence share charge Q in the same ratio.
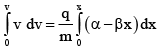
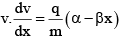
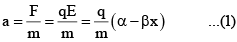
Q.6. A particle of charge q and mass m moves rectilinearly under the action of an electric field E = α - βx. Here, ± and ² are positive constants and x is the distance form the point where the particle was initially at rest. Then:
(a) The motion of the particle is oscillatory
(b)The amplitude of the particle is α / β
(c) The mean position of the particle is at x = α / β
(d)The maximum acceleration of the particle is qα / m
Correct Answer is options (a, b, c, d)
i.e., force on the particle is zero at x = α / β
So, mean position of particle is at x = α / β
Eq. (1) can be written as
∴
∴
v = 0 at x = 0 and x = 2α / β
So, the particle will oscillate between x = 0 to x = 2α / β
With mean position at x = α / β
Therefore, amplitude of particle is α / β. Maximum acceleration of particle is at extreme positions (at x = 0 or x = 2α /β) and amax = qα / m (from Eq. (1))
Q.7. Three identical parallel conducting plates A , B and C are placed as shown . Switches s1 and s2 are open , and can connect A &C to earth when closed ,+Q charge is given to B.
(a) If s1 is closed with s2 open , a charge of amount Q will pass through s1
(B) If s2 is closed with s1 open, a charge of amount Q will pass through s2
(C) If s1ands2 are closed together, a charge of amount Q/3 will pass through s1 ,and a charge of amount 2Q/3 will pass through s2
(D) All the above statements are incorrect.
Correct Answer is options (a, b, c)
When either A or C is earthed, a parallel plate capacitor is formed with B with ± Q charges on the inner surfaces. When both are earthed together, A&C effectively become connected .The plates now form two capacitors in parallel, with capacitances in the ratio 1:2.
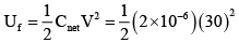
Q.8. Three capacitors each having capacitance C = 2μF are connected with a battery of emf 30 V as shown in fig. When the switch S is closed:
(a) the amount of charge flown through the battery is 20 μC
(b) the heat generated in the circuit is 0.6 mJ
(c) the energy supplied by the battery is 0.6 mJ
(d) the amount of charge flown through the switch S is 60 μC.
Correct Answer is options (a, b, d)
The charge stored in different capacitors before and after closing the switch S are
The amount of charge flown through the battery is q = 20μC
∴ Energy supplied by the battery is
U = qV = (20 x10-6 ) (30 ) J
U = 0.6mJ
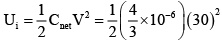
Energy stored in all the capacitors before closing the switch S is
= 0.6mJ
And after closing the switch
= 0.9mJ
∴ Heat generated H = U - ( Uf - Ui ) = 0.3mJ
And charge flown through the switch is 60μC.
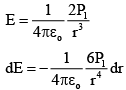
Q.9. A non – conducing solid sphere of radius R is uniformly charged. The magnitude of the electric field due to the sphere at a distance r from its center
(a) increases as r increases for r < R
(b) decreases as r increases for 0 < r < ∞
(c) decreases as r increases for R < r < ∞
(d) is discontinuous at r = R
Correct Answer is options (a, c)
Inside the sphere
i. e. E at centre = 0 (r = 0)
And E at surface =
Outside the sphere
Thus, variation of electric field (E) with distance (r) from the centre will be as follows:
Q.10. In the figure shown, C1 = 11μF and C2 = 5 mF, then at steady state:
(a) the potential difference across C1 is 5V
(b) the potential difference across C2 is 2V
(c) the potential difference between points a and b is –4V
(d) the potential difference between the terminals of 15 V battery is 9V
Correct Answer is options (a, c, d)
At steady state
I(3) + I(2) = 15
I = 3
KVL C → D → E → a → b → c(q = 55 μC)
KVL = a → b
⇒
=
= – 4V
P.d. across C1
P.d. across C2 = q/5 = 11V
P.d. across terminal
= 15 – I(2) = 15 – 3 × 2= 9V
|
446 docs|929 tests
|