Q.1. Write the structural formula of the main organic product formed when :
(i) methanal reacts with ammonia (1981 - ½ Mark)
(ii) ethyl acetate is treated with double the molar quantity of ethyl magnesium bromide and the reaction mixture poured into water. (1981 - ½ Mark)
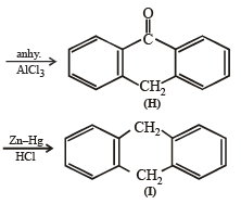
(iii)
(1985 - 1 Mark)
(iv)
(1985 - 1 Mark)
(v)
(1992 - 1 Mark)
(vi) C6H5COOH + CH3MgI → ? + ? (1993 - 2 Marks)
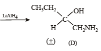
(vii)
(1994 - 1 Mark)
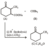
(viii)
(1995 - 2 Marks)
(ix) C6H5 - CHO + CH3 - COOC2H5
(1995 - 1 Mark)
(x) o - HOOC - C6H4 - CH2- C6H5

(1995 - 2 Marks)
(xi) Complete the following reaction with appropriate structure. (1996 - 1 Mark)

(1997 - 1 Mark)
(xiii) (COOH)2 + (CH2 OH)2+ Conc.H2SO4
(1997 - 1 Mark)
(1997 - 1 Mark)
(xv) ClCH2CH2CH2COPh + KOH + MeOH → (1997 - 1 Mark)
(xvi) H3CCOCOC6 H5 + NaOH /
→ -- -- (1997 - 1 Mark)
(1998 - 2 Marks)
(2000 - 1 Mark)
(xix) Write the structures of the products A and B.
(2000 - 2 Marks)
(xx) Identify A, B, C and give their structures.
(2000 - 3 Marks)
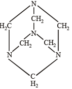
Solution. (i)

Hexamethylenetetramine (Urotropine)



(vi) C6H5COOH + CH3MgI —→ CH4 + C6H5COO MgI
(vii) NOTE : Esters react with excess of RMgX to form 3º alcohols having two alkyl groups corresponding to R of RMgX. Thus



(ix) C6H5CHO + CH3COOC2H5











NOTE : The reaction is an example of benzil-benzilic acid type rearrangement.


(Ester hydrolysis involves acyl-oxygen fission)


Q.2. Write the chemical equation to show what happens when ethyl acetate is treated with sodium ethoxide in ethanol and the reaction mixture is acidified. (1981 - 2 Marks)
Solution.


Q.3. Outline the reaction sequence for the conversion of
(i) methanal to ethanal (the number of steps should not be more than three). (1981 - 2 Marks)
(ii) acetylene to acetone (1985 - 1 Mark)
(iii) acetic acid to tertiary-butyl alcohol. (1989 - 1½ Marks)
(iv) Ethanal to 2-hydroxy-3-butenoic acid. (1990 - 2 Marks)
(v) Eth anoic acid to a mixture of meth anoic acid and diphenyl ketone. (1990 - 2Marks)
(vi) Carry out the following transformation in not more than three steps. (1999 - 3 Marks)
Solution.










Q.4. Outline the accepted mechanism of the following reaction. Show the various steps including the charged intermediates. (1981 - 3 Marks)

Solution. 

Q.5. An alkene (A) on ozonolysis yields acet one and an aldehyde. The aldehyde is easily oxidized to an acid (B). When B is treated with bromine in presence of phosphorus, it yields a compound (C) which on hydrolysis gives a hydroxy acid (D). This acid can also be obtained from acetone by reaction with hydrogen cyanide followed by hydrolysis. Identify the compounds A, B, C and D. (1982 - 2 Marks)
Ans. 


Solution. Ozonolysis of (A) to acetone and an aldehyde indicates the following part structure of alkene (A) :

As per problem :

Bromo compound
Hydroxy acid [D] Structure of (D) is determined by the reaction :


The compound (D) is obtained by hydrolysis of (C) with aqueous alkali since (C) is a bromo compound, therefore it has a bromo group where the compound (D) has a hydroxyl group. Therefore, structure of C is

The compound (C) is formed by bromination of compound (B), therefore, the compound (B) is

The compound (B) is formed by oxidation of an aldehyde therefore the structure of the aldehyde is

The aldehyde and acetone are formed by ozonolysis of alkene. Therefore, the double bond in alkene should be between the carbon atoms of the two carbonyl compounds (the aldehyde and acetone). Therefore, the compounds and the reactions are identified as


Q.6. Give reasons for the following :
(i) Acetic acid can be halogenated in the presence of red P and Cl2 but formic acid cannot be halogenated in the same way. (1983 - 1 Mark)
(ii) Formic acid is a stronger acid than acetic acid; (1985 - 1 Mark)
(iii) Suggest a reason for the large difference between the boiling points of butanol and butanal, although they have almost the same solubility in water. (1985 - 2 Marks)
(iv) Hydrazones of aldehydes and ketones are not prepared in highly acidic medium. (1986 - 1 Mark)
(v) Iodoform is obtained by the reaction of acetone with hypoiodite but not with iodide ion. (1991 - 1 Mark)
(vi) In acylium ion, the structure R – C ≡ O+ is more stable than R – C+ = O. (1994 - 1 Mark)
(vii) Although phenoxide ion has more number of resonating structures than benzoate ion, benzoic acid is a stronger acid than phenol. Why? (1997 - 2 Marks) (viii)Explain why o-hydroxybenzaldehyde is a liquid at room temperature while p-hydroxybenzaldehyde is a high melting solid. (1999 - 2 Marks)
Solution. (i) TIPS/Formulae : Formic acid has no alkyl group i.e no α – H atom, hence it does not undergo halogenation, while acetic acid has a methyl group (i.e three a – H atoms) on which halogenation takes place.
(ii) 

Presence of CH3 gp in acetate ion shows +I effect and thereby intensifying charge on O– of acetate ion which is thus destabilized. Thus formate ion is more stable than acetate ion or HCOOH loses proton more easily than CH3COOH.
(iii) NOTE :
Alcohols show hydrogen bonding.
The boiling points of carbonyl compounds are lower than the corresponding alcohols since former do not show intermolecular H-bonding like alcohols.

H-bonding between two butanol molecules Solubility of butanol in water is due to hydrogen bonding between butanol and water molecules (similarity to butanol).
(iv) TIPS/Formulae : In weakly acidic medium carbonyl group is protonated to form conjugate acid.

In strongly acidic medium (pH < 3.5), the unshared pair of electrons of N of the reagent is protonated with the result nucleophile (NH2NH2) is converted to an electrophile (NH2N+H3)which cannot react. Hence in highly acidic medium, there is no protonation of the carbonyl group.
(v) NOTE : Hypoiodite (–OI) is a strong base than iodide ion. (O is more electronegative thus easily accommodate negative charge than I in I–).
Haloform reaction is base-promoted reaction (the first step involves removal of acidic hydrogen atom of acetone by base). Hypoiodite ion being strong base than iodide ion, can easily remove acidic hydrogen atom.

(vi) In the acylium ion (R – C ≡ O+), each and every element has a complete octet, while in carbonium ion (R – C+ = O), carbon bearing positive charge has uncomplete octet which makes it more reactive than the former.

(vii) TIPS/Formulae : Both of the resonating structures of benzoate ion are equivalent, while it is not so in phenoxide ion.


The benzoate ion is more stabilized because the negative charge on both structures is on the more electronegative oxygen atom, whereas in phenoxide ion, it is on the less electronegative carbon atoms.
(viii)TIPS/Formulae :
o-Hydroxybenzaldehyde has intramolecular H-bonding while the p-isomer has intermolecular H-bonding


Q.7. State the conditions under which the following preparation are carried out. Give the necessary equations which need not be balanced.
(i) Ethanol from acetylene (1983 - 1 Mark)
(ii) Acetic acid from methyl iodide (1983 - 1 Mark)
Ans. 
Solution.

Q.8. What happens when p-xylene is reacted with concentrated sulphuric acid and the resultant product is fused with KOH. (1984 - 2 Marks)
Solution.

Q.9. Write down the reactions involved in the preparation of the following using the reagents indicated against it in parenthesis :
Propionic anhydride from propionaldehyde
[AgNO3/NH4OH, P2O,]. (1984 - 2 Marks)
Solution.

Q.10. Give a chemical test/suggest a reagent to distin guish between acetaldehyde from acetone. (1987 - 1 Mark)
Solution. TIPS/Formulae :
Acetaldehyde can be distinguished from acetone by using Tollen’s reagent or Fehling solution or Schiff’s reagent. Only acetaldehyde responds to all these tests.

Q.11. Arrange the following in increasing ease of hydrolysis CH3COOC2H5, CH3COCl, (CH3CO)2O, CH3CONH2. (1986 - 1 Mark)
Ans. CH3CONH2 < CH3COOC2H5 < (CH3CO)2O < CH3COCl
Solution. TIPS/Formulae :
The weaker a base better is its leavability.
This is an example of nucleophilic substitution where the group .X (Cl, NH2, OC2H5, OCOCH3) is replaced by OH. The decreasing basic character of the four concerned groups is:

Hence Cl– (the weakest base) will be lost most easily while
(the strongest base) will be lost with most difficulty..
Thus the order of hydrolysis becomes.
CH3CONH2 < CH3COOC2H5 < (CH3CO)2O < CH3COCl.
Q.12. A white precipitate was formed slowly when silver nitrate was added to a compound (A) with molecular formula C6H13Cl. Compound (A) on treatment with hot alcoholic potassium hydroxide gave a mixture of two isomeric alkenes (B) and (C), having formula C6H12. The mixture of (B) and (C), on ozonolysis, furnished four compounds : (1986 - 4 Marks)
(i) CH3CHO;
(ii)C2H5CHO;
(iii) CH3COCH3 and
What are the structures of (A), (B) and (C)?
Ans. 
Solution. Let us summarise the given facts.


NOTE THIS STEP : With the help of structures of the four carbonyl compounds, (i) to (iv), we may write the structures of the two isomeric olefins (B) and (C). The two carbonyl compounds should be joined in such a way that the parent olefin has 6 carbon atoms. Two such possibilities are the combination of carbonyl compounds having 2+4 carbon atoms [i.e. (i) + (iv)] and 3+3 carbon atom [i.e. (ii) + (iii)]


Thus the compound (A) should be a chloride that can eliminate a molecule of HCl to give B as well as C.


Q.13. A liquid (X), havin g a molecular for mula C6H12O2 is hydrolysed with water in the presence of an acid to give a carboxylic acid (Y) and an alcohol (Z). Oxidation of (Z) with chromic acid gives (Y). What are the structures of (X), (Y) and (Z)? (1986 - 3 Marks)
Ans. 
Solution. (X) is hydrolysed to give an acid (Y) and an alcohol (Z) and thus X is an ester; 





Q.14. Complete the following with appropriate structures :
(1986 - 1 Mark)
(1986 - 1 Mark)
Solution. 
Q.15. An unknown compound of carbon, hydrogen and oxygen contains 69.77% carbon and 11.63% hydrogen and has a molecular weight of 86. It does not reduce Fehling solution, but forms a bisulphite addition compound and gives a positive iodoform test. What are the possible structures for the unknown compound? (1987 - 5 Marks)
Solution. (i) Empirical formula can be calculated as
Element Percentage | Relative | Simplest ratio |
C 69.77 | 5.81 | 5 |
H 11.63 | 11.63 | 10 |
O 18.60 | 1.16 | 1 |
∴ Empirical formula of compound is C5H10O and empirical formula wt. = 86.
Also molecular wt. = 86.
∴ Molecular formula of compound is C5H10O.
(ii) Compound forms bisulphite addition compound and thus has carbonyl gp, i.e. aldehyde or ketone.
(iii) It does not reduce Fehling solution and thus it is not an aldehyde but a ketone.
(iv) It gives positive iodoform test and thus it has 
(v) Above facts reveal that the compound is

|
446 docs|929 tests
|