JEE Exam  >  JEE Notes  >  Chapter-wise Tests for JEE Main & Advanced  >  JEE Advanced (Subjective Type Questions): Current Electricity

JEE Advanced (Subjective Type Questions): Current Electricity | Chapter-wise Tests for JEE Main & Advanced PDF Download

Q.1. A heater is designed to operate with a power of 1000 watts in a 100 volt line. It is connected in a combinations with a resistance of 10 ohms and a resistance R to a 100 volts mains as shown in the figure. What should be the value of R so that the heater operates with a power of 62.5 watts.

JEE Advanced (Subjective Type Questions): Current Electricity | Chapter-wise Tests for JEE Main & Advanced

Ans. 

Solutions. The resistance of the heater is

JEE Advanced (Subjective Type Questions): Current Electricity | Chapter-wise Tests for JEE Main & Advanced

The power on which it operates is 62.5 W

JEE Advanced (Subjective Type Questions): Current Electricity | Chapter-wise Tests for JEE Main & Advanced

Since the voltage drop across the heater is 25V hence voltage drop across 10Ω resistor is (100 – 25) = 75V.

JEE Advanced (Subjective Type Questions): Current Electricity | Chapter-wise Tests for JEE Main & Advanced

This current divides into two parts. Let I1 be the current that passes through the heater. Therefore

25 = I1 × 10

I1 = 2.5 A

Thus current through R is 5A.


JEE Advanced (Subjective Type Questions): Current Electricity | Chapter-wise Tests for JEE Main & Advanced

Applying Ohm's law across R, we get 25 = 5 × R

⇒ R = 5Ω

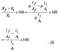
Q.2. If a copper wire is stretched to make it 0.1% longer what is the percentage change in its resistance?

Ans. 0.2%

Solutions.

 JEE Advanced (Subjective Type Questions): Current Electricity | Chapter-wise Tests for JEE Main & Advanced

Let the initial length of the wire be 100 cm, then the new


JEE Advanced (Subjective Type Questions): Current Electricity | Chapter-wise Tests for JEE Main & Advanced

Let Ai and Af be the initial and final area of cross-section.

Then

100 ×Ai = 100.1 Af

JEE Advanced (Subjective Type Questions): Current Electricity | Chapter-wise Tests for JEE Main & Advanced

From (i), (ii) and (iii)

JEE Advanced (Subjective Type Questions): Current Electricity | Chapter-wise Tests for JEE Main & Advanced

JEE Advanced (Subjective Type Questions): Current Electricity | Chapter-wise Tests for JEE Main & Advanced

Thus the resistance increases by 0.2%.

Alternatively for small change JEE Advanced (Subjective Type Questions): Current Electricity | Chapter-wise Tests for JEE Main & Advanced

Q.3. All resistances in the diagram below are in ohms. Find the effective resistance between the points A and B.

JEE Advanced (Subjective Type Questions): Current Electricity | Chapter-wise Tests for JEE Main & Advanced

Ans. 

Solution. 

JEE Advanced (Subjective Type Questions): Current Electricity | Chapter-wise Tests for JEE Main & Advanced

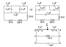
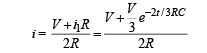
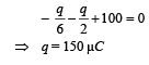
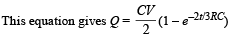
Q.4. In the diagram shown find the potential difference between the points A and B and between the points B and C in the steady state.

JEE Advanced (Subjective Type Questions): Current Electricity | Chapter-wise Tests for JEE Main & Advanced

Ans. VAB = 25 V, VBC = 75 V

Solution. Applying Kirchoff's law in loop AQBRC

JEE Advanced (Subjective Type Questions): Current Electricity | Chapter-wise Tests for JEE Main & Advanced

∴ Potential difference between AB = 150/6=25V

∴ Potential difference between BC = 100 – 25 = 75V

JEE Advanced (Subjective Type Questions): Current Electricity | Chapter-wise Tests for JEE Main & Advanced

Q.5. A battery of emf 2 volts and internal resistance 0.1 ohm is being charged with a current of 5 amps.  In what direction will the current flow inside the battery?What is the potential difference between the two terminal of the battery?

Ans. Positive to negative terminal, 2.5 V

Solution.  NOTE : The current will flow from the positive terminal to the negative terminal inside the battery.

During charging the potential difference V = E + Ir   = 2 + 5 × 0.1 = 2.5 V

Q.6.State ohm’s law.

In the circuit shown in figure, a voltmeter reads 30 volts when it is connected across 400 ohm resistance. Calculate what the same voltmeter will read when it is connected across the 300 ohm resistance.

JEE Advanced (Subjective Type Questions): Current Electricity | Chapter-wise Tests for JEE Main & Advanced

Ans.22.5 V

Solution.  Potential difference across the 400 Ω resistance = 30 V.

Therefore, potential difference across the 300 Ω resistance = 60 – 30V = 30 V.  Let R be the resistance of the voltmeter.

As the voltmeter is in the parallel with the 400Ω resistance, their combined resistance is

JEE Advanced (Subjective Type Questions): Current Electricity | Chapter-wise Tests for JEE Main & Advanced

As the potential difference of 60 V is equally shared between the 300 Ω and 400 Ω resistance. R' should be equal to 300 Ω.

Thus

JEE Advanced (Subjective Type Questions): Current Electricity | Chapter-wise Tests for JEE Main & Advanced

which gives R = 1200Ω, is the resistance of the voltmeter.

When the voltmeter is connected across the 300Ω resistance, their combined resistance is

JEE Advanced (Subjective Type Questions): Current Electricity | Chapter-wise Tests for JEE Main & Advanced

∴ Total resistance in the ciruit = 400 + 240 = 640 Ω

∴  Current in the circuit is

JEE Advanced (Subjective Type Questions): Current Electricity | Chapter-wise Tests for JEE Main & Advanced

∴ Voltmeter reading = Potential difference across 240 Ω resistance

JEE Advanced (Subjective Type Questions): Current Electricity | Chapter-wise Tests for JEE Main & Advanced

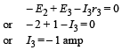
Q.7.In the circuit shown in fig E1 =3 volts, E2 = 2 volts, E3 = 1 volt and R = r1 = r2 = r3 = 1 ohm.

JEE Advanced (Subjective Type Questions): Current Electricity | Chapter-wise Tests for JEE Main & Advanced

(i) Find the potential difference between the points A and B and the currents through each branch. 

(ii) If ris short circuited and the point A is connected to point B, find the currents through E1, E2 E3 and the resistor R

Ans.(i)  2V, 1A, 0A, 1A    (ii)  1A, 2A, 1A; 2A

Solution. 

JEE Advanced (Subjective Type Questions): Current Electricity | Chapter-wise Tests for JEE Main & Advanced

JEE Advanced (Subjective Type Questions): Current Electricity | Chapter-wise Tests for JEE Main & Advanced

Applying Kirchoff's law in PQRUP starting from P moving clockwise

JEE Advanced (Subjective Type Questions): Current Electricity | Chapter-wise Tests for JEE Main & Advanced

Applying Kirchoff's law in URSTU starting from U moving clockwise

JEE Advanced (Subjective Type Questions): Current Electricity | Chapter-wise Tests for JEE Main & Advanced

NOTE : The – ve sign of I3 indicates that the direction of current in branch UTSR is opposite to that assumed.

Applying Kirchoff's law in  AURBA starting from A moving clockwise.

JEE Advanced (Subjective Type Questions): Current Electricity | Chapter-wise Tests for JEE Main & Advanced

Current through R is I1 + I2 + I3 = 2A

Q.8. Calculate the steady state current in the 2-ohm resistor shown in the circuit in the figure. The internal resistance of the battery is negligible and the capacitance of the condenser C is 0.2 microfarad.

JEE Advanced (Subjective Type Questions): Current Electricity | Chapter-wise Tests for JEE Main & Advanced

Ans. 0.9A

Solution. JEE Advanced (Subjective Type Questions): Current Electricity | Chapter-wise Tests for JEE Main & Advanced

Total current through the battery

JEE Advanced (Subjective Type Questions): Current Electricity | Chapter-wise Tests for JEE Main & Advanced

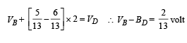
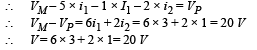
Q.9. In the circuit shown in figure E, F, G, H are cells of emf 2, 1, 3 and 1 volt respectively, and their internal resistances are 2, 1, 3 and 1 ohm respectively.

Calculate : (i) the potential difference between  B and D and

(ii) the potential difference across the terminals of each cells G and H

JEE Advanced (Subjective Type Questions): Current Electricity | Chapter-wise Tests for JEE Main & Advanced

Ans. JEE Advanced (Subjective Type Questions): Current Electricity | Chapter-wise Tests for JEE Main & Advanced

Solution. Let I2 current flow through the branch DCB

∴ By Kirchoff's junction law, current in branch DB will be I2 – I1 as shown in the figure.

JEE Advanced (Subjective Type Questions): Current Electricity | Chapter-wise Tests for JEE Main & Advanced

Applying Kirchoff's law in loop BDAB

JEE Advanced (Subjective Type Questions): Current Electricity | Chapter-wise Tests for JEE Main & Advanced

Applying Kirchoff's law in loop BCDB, we get

JEE Advanced (Subjective Type Questions): Current Electricity | Chapter-wise Tests for JEE Main & Advanced

Solving (i) and (ii), we get I1 = 6/13 amp

and I2 = 5/13amp

(i) To find the p.d. between B and D, we move from B to D

JEE Advanced (Subjective Type Questions): Current Electricity | Chapter-wise Tests for JEE Main & Advanced

JEE Advanced (Subjective Type Questions): Current Electricity | Chapter-wise Tests for JEE Main & Advanced

[∴cell is in charging mode]

Q.10.A part of ciucuit in a steady state along with the currents flowing in the branches, the values of resistances etc., is shown in the figure. Calculate the energy stored in the capacitor C (4µF)

JEE Advanced (Subjective Type Questions): Current Electricity | Chapter-wise Tests for JEE Main & Advanced

Ans. 8 × 10–4 J

Solution. Applying Kirchoff's first law at junction M, we get the current i1 = 3A

JEE Advanced (Subjective Type Questions): Current Electricity | Chapter-wise Tests for JEE Main & Advanced

Applying Kirchoff's first law at junction P, we get current i2 = 1A

NOTE : No current flows through capacitor at steady state.

Moving the loop along MNO to P

JEE Advanced (Subjective Type Questions): Current Electricity | Chapter-wise Tests for JEE Main & Advanced

Energy stored in the capacitor

JEE Advanced (Subjective Type Questions): Current Electricity | Chapter-wise Tests for JEE Main & Advanced

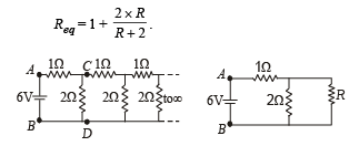
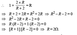
Q.11.  An infinite ladder network of resistances is constructed with a1 ohm and 2 ohm resistances, as shown in fig.

JEE Advanced (Subjective Type Questions): Current Electricity | Chapter-wise Tests for JEE Main & Advanced

The 6 volt battery between A and B has negligible internal resistance : (i) Show that the effective resistance between A and B is 2 ohms. (ii) What is the current that passes through the 2 ohm resistance nearest to the battery ?

Ans.(ii) 1.5A

Solution. (i) Let the effective resistance between points C and D be R then the circuit can be redrawn as shown The effective resistance between A and B is

JEE Advanced (Subjective Type Questions): Current Electricity | Chapter-wise Tests for JEE Main & Advanced

This resistance Req can be taken as R because if we add one identical item to infinite items then the result will almost be the same.

JEE Advanced (Subjective Type Questions): Current Electricity | Chapter-wise Tests for JEE Main & Advanced

JEE Advanced (Subjective Type Questions): Current Electricity | Chapter-wise Tests for JEE Main & Advanced

Q.12.In the given circuit 

E1 = 3E2=2E3 = 6 volts R1 = 2R4 = 6 ohms R3 = 2R2 = 4 ohms C = 5 μ f .

Find the current in R3 and the energy stored in the capacitor.

JEE Advanced (Subjective Type Questions): Current Electricity | Chapter-wise Tests for JEE Main & Advanced

Ans. 1.5 A, 1.44 × 10–5 J

Solution. 

JEE Advanced (Subjective Type Questions): Current Electricity | Chapter-wise Tests for JEE Main & Advanced

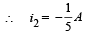
Applying Kirchoff's law in ABFGA 6 – (i1 + i2) 4 = 0 ... (i)

 Applying Kirchoff's law in BCDEFB i2 × 3 – 3 – 2 + 2i2 + (i2 + i1) 4 = 0 ... (ii)

Putting the value of 4 (i1 + i2) = 6 in (ii) 

3i2 – 5 + 2i2 + 6 = 0

JEE Advanced (Subjective Type Questions): Current Electricity | Chapter-wise Tests for JEE Main & Advanced

Substituting this value in (i), we get

JEE Advanced (Subjective Type Questions): Current Electricity | Chapter-wise Tests for JEE Main & Advanced

Therefore current in R3

= i1 + i2 = 1.7 – 0.2 = 1.5 A 

To find the p.d. across the capacitor

 VE – 2 – 0.2 × 2 = VG

∴ VE – VG = 2.4 V

or V = 24 V

∴ Energy stored in capacitor = 1/2 CV2

=1/2× 5 × 10–6 × (2.4)2 = 1.44 × 10–5 J

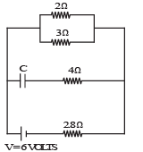
Q.13. An electrical circuit is shown in Fig. Calculate the potential difference across the resistor of 400 ohm, as will be measured by the voltmeter V of resistance 400 ohm, either by applying Kirchhoff’s rules or otherwise.

JEE Advanced (Subjective Type Questions): Current Electricity | Chapter-wise Tests for JEE Main & Advanced

Ans.6.67 V

Solution.We can redraw the circuit as.

JEE Advanced (Subjective Type Questions): Current Electricity | Chapter-wise Tests for JEE Main & Advanced

The equivalent resistance between G and D is

JEE Advanced (Subjective Type Questions): Current Electricity | Chapter-wise Tests for JEE Main & Advanced

∴ It is a case of balanced wheatstone bridge.

The equivalent resistance across G and B is

JEE Advanced (Subjective Type Questions): Current Electricity | Chapter-wise Tests for JEE Main & Advanced

NOTE : Since RGEB = RGDB  the current is divided at G into two equal parts JEE Advanced (Subjective Type Questions): Current Electricity | Chapter-wise Tests for JEE Main & Advanced  The current I/2 further divides into two equal parts at M.Therefore the potential difference across the voltmeter

JEE Advanced (Subjective Type Questions): Current Electricity | Chapter-wise Tests for JEE Main & Advanced

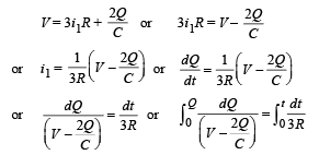
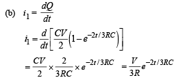
Q.14.In the circuit shown in Figure, the battery is an ideal one, with emf V. The capacitor is initially uncharged. The switch S is closed at time t = 0.

(a) Find the charge Q on the capacitor at time t. (b) Find the current in AB at time t. What is its limiting value as t →∞ :

JEE Advanced (Subjective Type Questions): Current Electricity | Chapter-wise Tests for JEE Main & Advanced

Ans. JEE Advanced (Subjective Type Questions): Current Electricity | Chapter-wise Tests for JEE Main & Advanced

Solution. Let at any time t charge on capacitor C be Q. Let currents are as shown in fig. Since charge Q will increase with time 't' therefore i1 = dQ/dt

JEE Advanced (Subjective Type Questions): Current Electricity | Chapter-wise Tests for JEE Main & Advanced

(a) Applying Kirchoff's second law in the loop MNABM

V = (i – i1) R + iR or V = 2iR – i1R ... (i)

Similarly, applying Kirchoff's second law in loop MNSTM, we have

JEE Advanced (Subjective Type Questions): Current Electricity | Chapter-wise Tests for JEE Main & Advanced

Eliminating i from equation (1) and (2), we get

JEE Advanced (Subjective Type Questions): Current Electricity | Chapter-wise Tests for JEE Main & Advanced

JEE Advanced (Subjective Type Questions): Current Electricity | Chapter-wise Tests for JEE Main & Advanced

JEE Advanced (Subjective Type Questions): Current Electricity | Chapter-wise Tests for JEE Main & Advanced

From equation (i)

JEE Advanced (Subjective Type Questions): Current Electricity | Chapter-wise Tests for JEE Main & Advanced

∴ Current through AB

JEE Advanced (Subjective Type Questions): Current Electricity | Chapter-wise Tests for JEE Main & Advanced

JEE Advanced (Subjective Type Questions): Current Electricity | Chapter-wise Tests for JEE Main & Advanced

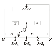
Q.15. A thin uniform wire AB of length 1m, an unknown resistance X and a resistance of 12 Ω are connected by thick conducting strips, as shown in the figure. A battery and a galvanometer (with a sliding jockey connected to it) are also available. Connections are to be made to measure the unknown resistance X using the principle of Wheatstone bridge. Answer the following questions. 

JEE Advanced (Subjective Type Questions): Current Electricity | Chapter-wise Tests for JEE Main & Advanced

(a) Are there positive and negative terminals on the galvanometer? (b) Copy the figure in your answer book and show the battery and the galvanometer (with jockey) connected at appropriate points.

Ans. (a)  No   (b)  8Ω

Solution.(a) No. There are no positive and negative terminals on the galvanometer.

NOTE : Whenever there is no current, the pointer of the galvanometer is at zero. The pointer swings on both side of zero depending on the direction of current.

JEE Advanced (Subjective Type Questions): Current Electricity | Chapter-wise Tests for JEE Main & Advanced

where r is the resistance per unit length.

JEE Advanced (Subjective Type Questions): Current Electricity | Chapter-wise Tests for JEE Main & Advanced

Q.16. How a battery is to be connected so that the shown rheostat will behave like a potential divider? Also indicate the points about which output can be taken.

 JEE Advanced (Subjective Type Questions): Current Electricity | Chapter-wise Tests for JEE Main & Advanced

Ans. Battery connected across A and B. Output across A and C or B and C.

Solution. Battery should be connected across A and B. Output can be taken across the terminals A and C or B and C.

JEE Advanced (Subjective Type Questions): Current Electricity | Chapter-wise Tests for JEE Main & Advanced

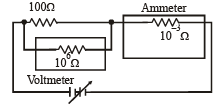
Q.17. Draw the circuit diagram to verify Ohm’s Law with the help of a main resistance of 100 W and two galvanometers of resistances 106 W and 10–3 W an d a source of varying emf.Show the correct positions of voltmeter and ammeter.

Solution. For the experimental verification of Ohm's law, ammeter and voltmeter should be connected as shown in the figure.

A voltmeter is a high resistance galvanometer (106Ω) which is connected in parallel with the main resistance of 100Ω.

An ammeter is a low resistance galvanometer (10–3Ω) which is connected in parallel with the main resistance.

JEE Advanced (Subjective Type Questions): Current Electricity | Chapter-wise Tests for JEE Main & Advanced

Q.18. An unknown resistance X is to be deter m in ed using resistances R1, R2 or R3. Their corresponding null points are A, B and C. Find which of the above will give the most accurate reading and why?

JEE Advanced (Subjective Type Questions): Current Electricity | Chapter-wise Tests for JEE Main & Advanced

Ans. R2

Solution. KEY CONEPT : At all null points the wheatstone bridge will be balanced

JEE Advanced (Subjective Type Questions): Current Electricity | Chapter-wise Tests for JEE Main & Advanced

JEE Advanced (Subjective Type Questions): Current Electricity | Chapter-wise Tests for JEE Main & Advanced

where R is a constant r1 and rare variable.

The maximum fractional error is

JEE Advanced (Subjective Type Questions): Current Electricity | Chapter-wise Tests for JEE Main & Advanced

JEE Advanced (Subjective Type Questions): Current Electricity | Chapter-wise Tests for JEE Main & Advanced

JEE Advanced (Subjective Type Questions): Current Electricity | Chapter-wise Tests for JEE Main & Advanced

JEE Advanced (Subjective Type Questions): Current Electricity | Chapter-wise Tests for JEE Main & Advanced

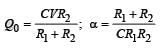
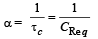
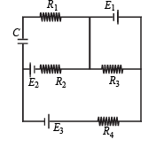
Q.19. In the given circuit, the switch S is closed at time t = 0. The charge Q on the capacitor at any instant t is given by Q(t) = Q(1 – e–αt). Find the value of Q0 and α in terms of given parameters as shown in the circuit.

Ans. JEE Advanced (Subjective Type Questions): Current Electricity | Chapter-wise Tests for JEE Main & Advanced

Solution. Given Q = Q0[1 – e–αt] Here Q0 = Maximum charge and

JEE Advanced (Subjective Type Questions): Current Electricity | Chapter-wise Tests for JEE Main & Advanced

Now the maximum charge Q0 = C [V0 ] where V0 = max potential difference across C

JEE Advanced (Subjective Type Questions): Current Electricity | Chapter-wise Tests for JEE Main & Advanced

The document JEE Advanced (Subjective Type Questions): Current Electricity | Chapter-wise Tests for JEE Main & Advanced is a part of the JEE Course Chapter-wise Tests for JEE Main & Advanced.
All you need of JEE at this link: JEE
446 docs|929 tests
Related Searches

Sample Paper

,

Objective type Questions

,

JEE Advanced (Subjective Type Questions): Current Electricity | Chapter-wise Tests for JEE Main & Advanced

,

JEE Advanced (Subjective Type Questions): Current Electricity | Chapter-wise Tests for JEE Main & Advanced

,

Summary

,

video lectures

,

shortcuts and tricks

,

Free

,

JEE Advanced (Subjective Type Questions): Current Electricity | Chapter-wise Tests for JEE Main & Advanced

,

pdf

,

MCQs

,

Extra Questions

,

Exam

,

Previous Year Questions with Solutions

,

Semester Notes

,

Important questions

,

Viva Questions

,

ppt

,

study material

,

mock tests for examination

,

past year papers

,

practice quizzes

;