JEE Exam  >  JEE Notes  >  Chapter-wise Tests for JEE Main & Advanced  >  JEE Advanced (Subjective Type Questions): States of Matter- 2

JEE Advanced (Subjective Type Questions): States of Matter- 2 | Chapter-wise Tests for JEE Main & Advanced PDF Download

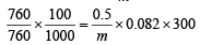
Q.17. An LPG (liquefied petroleum gas) cylinder weighs 14.8 kg when empty. When full, it weighs 29.0 kg and shows a pressure of 2.5 atm. In the course of use at 27º C, the weight of the full cylinder reduces to 23.2 kg. Find out the volume of the gas in cubic meters used up at the normal usage conditions, find the final pressure inside the cylinder.
 Assume LPG to be n-butane with normal boiling point of 0ºC. (1994 - 3 Marks) 

Ans. Sol. Calculation of volume of gas : Weight of cylinder with gas = 29.0 kg
Weight of empty cylinder = 14.8 kg
∴ Weight of gas in the cylinder = 14.2 kg Pressure in cylinder = 2.5 atm
∴ No. of moles (n) in 14.2 kg (14.2 × 103g) of butane

JEE Advanced (Subjective Type Questions): States of Matter- 2 | Chapter-wise Tests for JEE Main & AdvancedJEE Advanced (Subjective Type Questions): States of Matter- 2 | Chapter-wise Tests for JEE Main & Advanced= 244.83 mol

Applying gas equation,

JEE Advanced (Subjective Type Questions): States of Matter- 2 | Chapter-wise Tests for JEE Main & Advanced= 2412 litres
[27°C = 273 + 27 = 300]
Calculation of pressure in cylinder after use.
Weight of cylinder after use = 23.2 kg
Weight of empty cylinder = 14.8 kg
∴ Wt. of unused gas = 8.4 kg  JEE Advanced (Subjective Type Questions): States of Matter- 2 | Chapter-wise Tests for JEE Main & Advancedmoles of butane

Thus P = JEE Advanced (Subjective Type Questions): States of Matter- 2 | Chapter-wise Tests for JEE Main & Advanced= 1.478 atm [V = 2412 L]

Calculation of volume of used gas at 2.5 atm and 27ºC.
Weight of used gas = 14.2 – 8.4 = 5.8 kg
Pressure under normal usage conditions = 1 atm

JEE Advanced (Subjective Type Questions): States of Matter- 2 | Chapter-wise Tests for JEE Main & AdvancedJEE Advanced (Subjective Type Questions): States of Matter- 2 | Chapter-wise Tests for JEE Main & Advanced   JEE Advanced (Subjective Type Questions): States of Matter- 2 | Chapter-wise Tests for JEE Main & Advanced

= 2463 litres = 2.463 m3

 

Q.18. A mixture of ethane (C2H6) and ethene (C2H4) occupies 40 litres at 1.00 atm and at 400 K. The mixture reacts completely with 130 g of O2 to produce CO2 and H2O. Assuming ideal gas behaviour, calculate the mole fractions of C2H4 and C2H6 in the mixture. (1995 - 4 Marks) 

Ans. Sol. Let the volume of ethane in mixture = x litre

∴ Volume of ethene = (40 – x) litre

Combustion reactions of ethane and ethene are :

(i) JEE Advanced (Subjective Type Questions): States of Matter- 2 | Chapter-wise Tests for JEE Main & Advanced

or 2C2 H6 (g) + 7O2 (g) ¾¾→ 4CO2 (g) + 6H2O(l )

(ii) C2H4(g) + 3O2(g) ¾¾→ 2CO2(g) + 2H2O(l )

Volume of O2 required for complete combustion of ethane

JEE Advanced (Subjective Type Questions): States of Matter- 2 | Chapter-wise Tests for JEE Main & Advanced[For x litres]

Volume of O2 required for complete combustion of ethene = (40–x) × 3 [For (40 – x) L]

∴ Total volume of  O2 required

JEE Advanced (Subjective Type Questions): States of Matter- 2 | Chapter-wise Tests for JEE Main & Advanced

Calculation of number of moles (n)

P = 1 atm,  JEE Advanced (Subjective Type Questions): States of Matter- 2 | Chapter-wise Tests for JEE Main & Advanced  R = 0.082 l atm K–1 mol–1;

T = 400 K

Since  n = JEE Advanced (Subjective Type Questions): States of Matter- 2 | Chapter-wise Tests for JEE Main & AdvancedJEE Advanced (Subjective Type Questions): States of Matter- 2 | Chapter-wise Tests for JEE Main & Advanced

Mass of n moles of O2JEE Advanced (Subjective Type Questions): States of Matter- 2 | Chapter-wise Tests for JEE Main & Advanced = 130

JEE Advanced (Subjective Type Questions): States of Matter- 2 | Chapter-wise Tests for JEE Main & Advanced

⇒ 8528 = 32 x + 240 × 32 ⇒ 32x = 848 ⇒ orJEE Advanced (Subjective Type Questions): States of Matter- 2 | Chapter-wise Tests for JEE Main & Advanced

Hence mole fraction (%) of ethane  = JEE Advanced (Subjective Type Questions): States of Matter- 2 | Chapter-wise Tests for JEE Main & Advanced= 66.25%

Mole fraction (%) of ethene = 33.75%

 

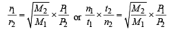
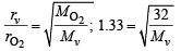
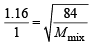
Q.19. The composition of the equilibrium mixture ( Cl2 2Cl ), which is attained at 1200°C, is determined by measuring the rate of effusion through a pin–hole. It is observed that at 1.80 mmHg pressure, the mixture effuses 1.16 times as fast as krypton effuses under the same conditions. Calculate the fraction of the chlorine molecules dissociated into atoms. (Relative atomic mass of Kr = 84.) (1995 - 4 Marks)

Ans. Sol. Mixture           Kr ypton
rmix  = 1.16           rKr = 1
Mmix = ?               MKr = 84

We know that

JEE Advanced (Subjective Type Questions): States of Matter- 2 | Chapter-wise Tests for JEE Main & AdvancedJEE Advanced (Subjective Type Questions): States of Matter- 2 | Chapter-wise Tests for JEE Main & Advanced

or (1.16)2JEE Advanced (Subjective Type Questions): States of Matter- 2 | Chapter-wise Tests for JEE Main & Advanced62.426

JEE Advanced (Subjective Type Questions): States of Matter- 2 | Chapter-wise Tests for JEE Main & Advanced

Initially             JEE Advanced (Subjective Type Questions): States of Matter- 2 | Chapter-wise Tests for JEE Main & Advanced

At equilibrium    1 – x                2x          1– x + 2x = 1 + x

∴ Total moles at equilibrium  = 1 – x + 2x = 1 + x

JEE Advanced (Subjective Type Questions): States of Matter- 2 | Chapter-wise Tests for JEE Main & Advanced

JEE Advanced (Subjective Type Questions): States of Matter- 2 | Chapter-wise Tests for JEE Main & Advanced

∴ a = 0.137 = 13.7%.

 

Q. 20. A 20.0 cm3 mixture of CO, CH4 and He gases is exploded by an electric discharge at room temperature with excess of oxygen. The volume contraction is found to be 13.0 cm3. A further contraction of 14.0 cm3 occurs when the residual gas is treated with KOH solution. Find out the composition of the gaseous mixture in terms of volume percentage. (1995 - 4 Marks)

Ans. Sol. TIPS/Formulae :
(i) He does not react with oxygen.
(ii) KOH absorbs only CO2.
NOTE : When the mixture of CO, CH4 and He gases (20 ml) are exploded by an electric discharge with excess of O2, He gas remains as such and the other reactions involved are :

JEE Advanced (Subjective Type Questions): States of Matter- 2 | Chapter-wise Tests for JEE Main & Advanced             ...(i)

CH4 (g ) + 2O2 (g) → CO2 (g) + 2H 2O(l) ...(ii)

Let the volumes of CO and CH4 to be ‘a’ ml and ‘b’ ml in the mixture then
Volume of He gas = [20 – (a + b)] ml
For the initial contraction of 13 ml,
Volume of left hand side in the above reactions – 13 = Volume of right hand side

JEE Advanced (Subjective Type Questions): States of Matter- 2 | Chapter-wise Tests for JEE Main & Advanced

    = [20 – (a + 2b)] + a + b      [neglect the volume of H2O (l)](Since for gases, volume a no. of moles)

∴ JEE Advanced (Subjective Type Questions): States of Matter- 2 | Chapter-wise Tests for JEE Main & Advanced a + 2 b = 13  or     a + 4 b = 26 ...(iv)

NOTE THIS STEP : The CO2 produced above in reactions (ii) & (iii), (a + b) ml, reacts with KOH sol for a further contraction of 14 ml.
CO2(g) + 2KOH(l) → KCO3(l) + H2O(l) (a + b) ml
∴ a + b = 14 ...(v)
Solving (iv) & (v) we get, a = 10 ml & b = 4 ml

JEE Advanced (Subjective Type Questions): States of Matter- 2 | Chapter-wise Tests for JEE Main & AdvancedJEE Advanced (Subjective Type Questions): States of Matter- 2 | Chapter-wise Tests for JEE Main & Advanced

&  He = 100 – ( 20 + 50) = 30%

 

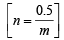
Q. 21. An evacuated glass vessel weighs 50.0 g when empty, 148.0 g when filled with a liquid of density 0.98 g mL–1 and 50.5 g when filled with an ideal gas at 760 mmHg at 300K. Determine the molar mass of the gas. (1998 -  3 Marks) 

Ans. Sol. Weight of liquid = 148 – 50 = 98 g

Volume of liquid = JEE Advanced (Subjective Type Questions): States of Matter- 2 | Chapter-wise Tests for JEE Main & Advanced= 100 ml = volume of vessel It means, vessel of 100 ml contains ideal gas at 760 mm  Hg at 300 K

Weight of gas = 50.5 – 50 = 0.5g

using, JEE Advanced (Subjective Type Questions): States of Matter- 2 | Chapter-wise Tests for JEE Main & Advanced

JEE Advanced (Subjective Type Questions): States of Matter- 2 | Chapter-wise Tests for JEE Main & AdvancedJEE Advanced (Subjective Type Questions): States of Matter- 2 | Chapter-wise Tests for JEE Main & Advanced

∴   Molecular weight of gas (m) = 123

  

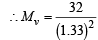
Q.22. The degree of dissociation is 0.4 at 400 K and 1.0 atm for the gaseous reaction PCl5 PCl3 + Cl2. Assuming ideal behaviour of all gases, calculate the density of equilibrium mixture at 400 K and 1.0 atmosphere. (Relative atomic mass of  P = 31.0 and Cl = 35.5) (1998 -  3 Marks) 

Ans. Sol. JEE Advanced (Subjective Type Questions): States of Matter- 2 | Chapter-wise Tests for JEE Main & AdvancedJEE Advanced (Subjective Type Questions): States of Matter- 2 | Chapter-wise Tests for JEE Main & Advanced

∴ Total moles at equilibrium = 1 – 0.4 + 0.4 + 0.4  = 1.4  

JEE Advanced (Subjective Type Questions): States of Matter- 2 | Chapter-wise Tests for JEE Main & Advanced= 1 + a = 1.4

JEE Advanced (Subjective Type Questions): States of Matter- 2 | Chapter-wise Tests for JEE Main & Advanced

∴ Exp. mol. wt. of PCl5 or m. wt. of mixture =JEE Advanced (Subjective Type Questions): States of Matter- 2 | Chapter-wise Tests for JEE Main & Advanced

Now using, JEE Advanced (Subjective Type Questions): States of Matter- 2 | Chapter-wise Tests for JEE Main & Advanced for mixture

JEE Advanced (Subjective Type Questions): States of Matter- 2 | Chapter-wise Tests for JEE Main & AdvancedJEE Advanced (Subjective Type Questions): States of Matter- 2 | Chapter-wise Tests for JEE Main & Advanced= 4.53 g/litre

 

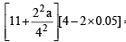
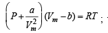
Q.23. Using van der waal’s equation, calculate the constant, ‘a’ when two moles of a gas confined in a four litre flask exerts a pressure of 11.0 atmospheres at a temperature of 300 K.
 The value of ‘b’ is 0.05 L mol–1. (1998 -  4 Marks) 

Ans. Sol. van der Waals equation for n moles of gas is

JEE Advanced (Subjective Type Questions): States of Matter- 2 | Chapter-wise Tests for JEE Main & Advanced = nRT

Given   V = 4 litre; P = 11.0 atm, T = 300 K; b = 0.05 litre mole–1, n =2

Thus, JEE Advanced (Subjective Type Questions): States of Matter- 2 | Chapter-wise Tests for JEE Main & Advanced = 2 x 0.082 x 300

∴ a = 6.46 atm litre2 mol–2

 

Q.24. For the reaction, N2O5(g) → 2NO2(g) + 0.5 O2(g), calculate the mole fraction of N2O5(g) decomposed at a constant volume and temperature, if the initial pressure is 600 mm Hg and the pressure at any time is 960 mm Hg. Assume ideal gas behaviour. (1998 -  3 Marks) 

Ans. Sol.                        JEE Advanced (Subjective Type Questions): States of Matter- 2 | Chapter-wise Tests for JEE Main & Advanced

Initial pressure              600       0                       0
Final pressure              600-P      2P                    P/2
P ∝ moles when V and T are constant (where moles equivalent to pressure P are decomposed)
Total pressure = 600 – P + 2 P + P/2 = 960 mm of Hg
∴ P = 240 mm Hg
Thus moles of N2O5 decomposed = JEE Advanced (Subjective Type Questions): States of Matter- 2 | Chapter-wise Tests for JEE Main & Advanced

 

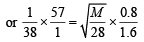
Q.25. One mole of nitrogen gas at 0.8 atm takes 38 s to diffuse through a pinhole, whereas one mole of an unknown compound of xenon with flourine at 1.6 atm takes 57 s to diffuse through the same hole. Calculate the molecular formula of the compound. (1999 - 5 Marks) 

Ans. Sol. We know that

JEE Advanced (Subjective Type Questions): States of Matter- 2 | Chapter-wise Tests for JEE Main & Advanced

JEE Advanced (Subjective Type Questions): States of Matter- 2 | Chapter-wise Tests for JEE Main & Advanced∴ M = 252

JEE Advanced (Subjective Type Questions): States of Matter- 2 | Chapter-wise Tests for JEE Main & Advanced

Thus compound of xenon with fluorine is XeF6

 

Q.26. The pressure exerted by 12 g of an ideal gas at temperature t°C in a vessel of volume V litre is one atm. When the temperature is increased by 10 degrees at the same volume, the pressure increases by 10%. Calculate the temperature t and volume V. (Molecular weight of the gas = 120.) (1999 - 5 Marks)

Ans. Sol. (I) Given P = 1 atm, w = 12 g; T = (t + 273)K; V = V litre
(II) If T = t + 10 + 273 = t + 283 K ; V =  V litre,

JEE Advanced (Subjective Type Questions): States of Matter- 2 | Chapter-wise Tests for JEE Main & Advanced

Using gas equation,  JEE Advanced (Subjective Type Questions): States of Matter- 2 | Chapter-wise Tests for JEE Main & Advanced

Case I.  1 x V JEE Advanced (Subjective Type Questions): States of Matter- 2 | Chapter-wise Tests for JEE Main & Advanced   ... (1)

Case I. 1.1 x VJEE Advanced (Subjective Type Questions): States of Matter- 2 | Chapter-wise Tests for JEE Main & Advanced    ...(2)

From (1) and (2),  t = –173ºC    or  t = 100 K

Also from (1), on substituting t and m (120),  V = 0.82 litre

 

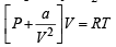
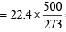
Q.27. Calculate the pressure exerted by one mole of CO2 gas at 273 K if the van der Waal's constant a = 3.592 dm6 atm mol–2. Assume that the volume occupied by COmolecules is negligible. (2000 - 2 Marks)

Ans. Sol. 

vander Waals’ equation for one mole of a gas is

JEE Advanced (Subjective Type Questions): States of Matter- 2 | Chapter-wise Tests for JEE Main & Advanced= RT          ...(1)

Given that volume occupied by COmolecules, ‘b’ = 0

Hence, (1) becomesJEE Advanced (Subjective Type Questions): States of Matter- 2 | Chapter-wise Tests for JEE Main & AdvancedJEE Advanced (Subjective Type Questions): States of Matter- 2 | Chapter-wise Tests for JEE Main & Advanced

Using R = 0.082, T = 273K, V = 22.4 l for 1 mole of an ideal gas at 1 atm pressure.

JEE Advanced (Subjective Type Questions): States of Matter- 2 | Chapter-wise Tests for JEE Main & Advanced= 0.9922 atm.

 

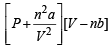
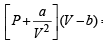
Q. 28. The compression factor (compressibility factor) for one mole of a van der Waals gas at 0°C and 100 atmospheric pressure is found to be 0.5. Assuming that the volume of a gas molecule is negligible, calculate the van der Waals constant a. (2001 - 5 Marks) 

Ans. Sol. We know that, Compressibility factor , JEE Advanced (Subjective Type Questions): States of Matter- 2 | Chapter-wise Tests for JEE Main & Advanced

JEE Advanced (Subjective Type Questions): States of Matter- 2 | Chapter-wise Tests for JEE Main & Advanced               ∴  V = 0.1119L

NOTE : Further when volume of a gas molecule is negligible, van der Waal’s equation becomes

JEE Advanced (Subjective Type Questions): States of Matter- 2 | Chapter-wise Tests for JEE Main & Advanced = RT

or PV = RT - JEE Advanced (Subjective Type Questions): States of Matter- 2 | Chapter-wise Tests for JEE Main & Advanced or  a = RTV- PV2

Substituting the values a = (0.082 × 0.1119 × 273) – (100 × 0.1119 × 0.1119)

  = 1.253 atm L2 mol–2

 

Q.29. The density of the vapour of a substance at 1 atm pressure and 500 K is 0.36 kgm-3. The vapour effuses through a small hole at a rate of 1.33 times faster than oxygen under the same condition. (2002 - 5 Marks)
 (a) Determine (i) molecular weight, (ii) molar volume, (iii) compression factor (Z) of the vapour and (iv) which forces among the gas molecules are dominating, the attractive or the repulsive?
 (b) If the vapour behaves ideally at 1000 K, determine the average translational kinetic energy of a molecule. 

Ans. Sol. (a) d = 0.36 kg m–3  = 0.36 g/L (i)

From Graham’s Law of diffusion

JEE Advanced (Subjective Type Questions): States of Matter- 2 | Chapter-wise Tests for JEE Main & Advanced

JEE Advanced (Subjective Type Questions): States of Matter- 2 | Chapter-wise Tests for JEE Main & Advanced= 18.09;

where  Mv = MW of the vapour

(ii) Thus, 0.36g = JEE Advanced (Subjective Type Questions): States of Matter- 2 | Chapter-wise Tests for JEE Main & Advanced

JEE Advanced (Subjective Type Questions): States of Matter- 2 | Chapter-wise Tests for JEE Main & Advancedoccupies 1 L volume,  so 1 mol occupies

JEE Advanced (Subjective Type Questions): States of Matter- 2 | Chapter-wise Tests for JEE Main & Advanced= 50.25L

Thus, molar volume of vapour = 50.25 L

Assuming ideal behaviour the volume of the vapour can be calculated by

JEE Advanced (Subjective Type Questions): States of Matter- 2 | Chapter-wise Tests for JEE Main & AdvancedJEE Advanced (Subjective Type Questions): States of Matter- 2 | Chapter-wise Tests for JEE Main & Advanced = 41.025L

(iii) Compressibility factor (Z)

JEE Advanced (Subjective Type Questions): States of Matter- 2 | Chapter-wise Tests for JEE Main & Advanced = 1.224

(iv) Z is greater than unit y, hence it is the shor t range repulsive force that would dominate. (∵ actual density is less than given density)

(b)JEE Advanced (Subjective Type Questions): States of Matter- 2 | Chapter-wise Tests for JEE Main & Advanced

= 2.07 x 10-20 J per molecule                    
(∵ K, Boltzmann constant = R/N)

 

Q.30. The average velocity of gas molecules is 400 m/sec. Calculate its rms velocity at the same temperature. (2003 - 2 Marks)

Ans. Sol. TIPS/Formulae :

JEE Advanced (Subjective Type Questions): States of Matter- 2 | Chapter-wise Tests for JEE Main & Advanced

JEE Advanced (Subjective Type Questions): States of Matter- 2 | Chapter-wise Tests for JEE Main & Advanced = 1.085

C rms = 1.085 × Cav  = 1.085 × 400 = 434 ms–1

 

Q. 31. A graph is plotted between PVm along Y-axis and  P along X-axis, where Vm is the molar volume of a real gas. Find the intercept along Y-axis. (2004 - 2 Marks)

Ans. Sol. The van der Waal equation (for one mole) of a real gas is

JEE Advanced (Subjective Type Questions): States of Matter- 2 | Chapter-wise Tests for JEE Main & AdvancedJEE Advanced (Subjective Type Questions): States of Matter- 2 | Chapter-wise Tests for JEE Main & Advanced

JEE Advanced (Subjective Type Questions): States of Matter- 2 | Chapter-wise Tests for JEE Main & Advanced ...(i)

NOTE THIS STEP : To calculate the intercept P → 0, hence Vm → ∞ due to which the last two terms on the right side of the equation (i) can be neglected.
∴ PVm = RT + Pb
When P = 0, intercept = RT

The document JEE Advanced (Subjective Type Questions): States of Matter- 2 | Chapter-wise Tests for JEE Main & Advanced is a part of the JEE Course Chapter-wise Tests for JEE Main & Advanced.
All you need of JEE at this link: JEE
481 docs|964 tests
Related Searches

study material

,

Sample Paper

,

shortcuts and tricks

,

Extra Questions

,

practice quizzes

,

Summary

,

pdf

,

ppt

,

Important questions

,

MCQs

,

JEE Advanced (Subjective Type Questions): States of Matter- 2 | Chapter-wise Tests for JEE Main & Advanced

,

Viva Questions

,

Objective type Questions

,

Free

,

JEE Advanced (Subjective Type Questions): States of Matter- 2 | Chapter-wise Tests for JEE Main & Advanced

,

video lectures

,

Previous Year Questions with Solutions

,

Semester Notes

,

Exam

,

past year papers

,

mock tests for examination

,

JEE Advanced (Subjective Type Questions): States of Matter- 2 | Chapter-wise Tests for JEE Main & Advanced

;