Airforce X Y / Indian Navy SSR Exam  >  Airforce X Y / Indian Navy SSR Notes  >  Physics for Airmen Group X  >  JEE Main Previous Year Questions (2016- 2025): Modern Physics- 2

JEE Main Previous Year Questions (2016- 2025): Modern Physics- 2 | Physics for Airmen Group X - Airforce X Y / Indian Navy SSR PDF Download

Q.37. A solution containing active cobalt 60/27 Co having activity of 0.8 µCi and decay constant λ is injected in an animal's body. If 1 cm3 of blood is drawn from the animal's body after 10 hrs of injection, the activity found was 300 decays per minute. What is the volume of blood that is flowing in the body? (1 Ci = 3.7 x 1010 decays per second and at t = 10 hrs e–λt = 0.84)     [2018]
(1) 4 liters
(2) 5 liters
(3) 6 liters
(4) 7 liters

Ans: (2)
(dn/dt) = −λNo
0.8 µ Ci = −λNo
N1 = No(0.84)
v → N1
v cm3 → N1/v
JEE Main Previous Year Questions (2016- 2025): Modern Physics- 2 | Physics for Airmen Group X - Airforce X Y / Indian Navy SSR
JEE Main Previous Year Questions (2016- 2025): Modern Physics- 2 | Physics for Airmen Group X - Airforce X Y / Indian Navy SSR
v = 3.7/5 × 0.84 × 0.84 × 104 cm3
= 0.5 × 104 cm3 = 5 × 10cm3 = 5 lit


Q.38. The energy required to remove the electron from a singly ionized Helium atom is 2.2 times the energy required to remove an electron from Helium atom. The total energy required to ionize the Helium atom completely is:      [2018]
(1) 109 eV
(2) 79 eV
(3) 20 eV
(4) 34 eV

Ans. (3)
E1 = ionization energy of ionized He
E2 = 2. 2E2
E1 = 13.6 eV
E2 = 13.6/2.2 = 6.18 eV
Total = E1 + E2 = 13.6 ev + 6.18 eV
ETotal = 20 eV


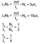
Q.39. At some instant a radioactive sample S1 having an activity 5 μCi has twice the number of nuclei as another sample S2 which has an activity of 10 μCi. The half lives of S1 and S2 are:     [2018]
(1) 5 years and 20 years, respectively
(2) 20 years and 5 years, respectively
(3) 20 years and 10 years, respectively
(4) 10 years and 20 years, respectively

Ans: (1)
Given : N1 = 2N
JEE Main Previous Year Questions (2016- 2025): Modern Physics- 2 | Physics for Airmen Group X - Airforce X Y / Indian Navy SSR
Hence,
The half life of Sis 5 years, and
The half life of Sis 20 years


Q.40. The de-Broglie wavelength (λB) associated with the electron orbiting in the second excited state of hydrogen atom is related to that in the ground state (λG) by:    [2018]
(1) λB = 3λG
(2) λB = 2λG
(3) λB = 3λG/3
(4) λB = 3λG/2

Ans: (1)
JEE Main Previous Year Questions (2016- 2025): Modern Physics- 2 | Physics for Airmen Group X - Airforce X Y / Indian Navy SSR


Q.41.  Both the nucleus and the atom of some element are in their respective first excited states. They get de-excited by emitting photons of wavelengths λNA respectively. The ratio λNA  is closest to:     [2018]
(1) 10–1
(2) 10–6
(3) 10
(4) 10–10

Ans: (2)
JEE Main Previous Year Questions (2016- 2025): Modern Physics- 2 | Physics for Airmen Group X - Airforce X Y / Indian Navy SSR
where Ea and EN are energies of photons from atom and nucleus respectively. EN is of the order of MeV and Ea in few eV.
So
JEE Main Previous Year Questions (2016- 2025): Modern Physics- 2 | Physics for Airmen Group X - Airforce X Y / Indian Navy SSR


Q.42. An electron beam is accelerated by a potential difference V to hit a metallic target to produce X-rays. It produces continuous as well as characteristic X-rays. If λmin is the smallest possible wavelength of X-ray in the spectrum, the variation of log λmin with log V is correctly represented in    [2017]
(1)JEE Main Previous Year Questions (2016- 2025): Modern Physics- 2 | Physics for Airmen Group X - Airforce X Y / Indian Navy SSR

(2)JEE Main Previous Year Questions (2016- 2025): Modern Physics- 2 | Physics for Airmen Group X - Airforce X Y / Indian Navy SSR
(3) JEE Main Previous Year Questions (2016- 2025): Modern Physics- 2 | Physics for Airmen Group X - Airforce X Y / Indian Navy SSR
(4)JEE Main Previous Year Questions (2016- 2025): Modern Physics- 2 | Physics for Airmen Group X - Airforce X Y / Indian Navy SSR


Ans: (3)
In X-ray tube
JEE Main Previous Year Questions (2016- 2025): Modern Physics- 2 | Physics for Airmen Group X - Airforce X Y / Indian Navy SSR
JEE Main Previous Year Questions (2016- 2025): Modern Physics- 2 | Physics for Airmen Group X - Airforce X Y / Indian Navy SSR
Slope is negative
Intercept on y-axis is positive
JEE Main Previous Year Questions (2016- 2025): Modern Physics- 2 | Physics for Airmen Group X - Airforce X Y / Indian Navy SSR




Q.43. A particle A of mass m and initial velocity v collides with a particle B of mass m/2 which is at rest. The collision is head on, and elastic. The ratio of the de-Broglie wavelengths λA to λB after the collision is     [2017]
(1)JEE Main Previous Year Questions (2016- 2025): Modern Physics- 2 | Physics for Airmen Group X - Airforce X Y / Indian Navy SSR
(2)JEE Main Previous Year Questions (2016- 2025): Modern Physics- 2 | Physics for Airmen Group X - Airforce X Y / Indian Navy SSR
(3)JEE Main Previous Year Questions (2016- 2025): Modern Physics- 2 | Physics for Airmen Group X - Airforce X Y / Indian Navy SSR
(4)JEE Main Previous Year Questions (2016- 2025): Modern Physics- 2 | Physics for Airmen Group X - Airforce X Y / Indian Navy SSR
Ans: (4)
JEE Main Previous Year Questions (2016- 2025): Modern Physics- 2 | Physics for Airmen Group X - Airforce X Y / Indian Navy SSR
JEE Main Previous Year Questions (2016- 2025): Modern Physics- 2 | Physics for Airmen Group X - Airforce X Y / Indian Navy SSR
JEE Main Previous Year Questions (2016- 2025): Modern Physics- 2 | Physics for Airmen Group X - Airforce X Y / Indian Navy SSR
JEE Main Previous Year Questions (2016- 2025): Modern Physics- 2 | Physics for Airmen Group X - Airforce X Y / Indian Navy SSR




Q.44. Some energy levels of a molecule are shown in the figure. The ratio of the wavelengths r = λ12, is given by    [2017]
JEE Main Previous Year Questions (2016- 2025): Modern Physics- 2 | Physics for Airmen Group X - Airforce X Y / Indian Navy SSR
(1)JEE Main Previous Year Questions (2016- 2025): Modern Physics- 2 | Physics for Airmen Group X - Airforce X Y / Indian Navy SSR
(2)JEE Main Previous Year Questions (2016- 2025): Modern Physics- 2 | Physics for Airmen Group X - Airforce X Y / Indian Navy SSR
(3)JEE Main Previous Year Questions (2016- 2025): Modern Physics- 2 | Physics for Airmen Group X - Airforce X Y / Indian Navy SSR
(4)JEE Main Previous Year Questions (2016- 2025): Modern Physics- 2 | Physics for Airmen Group X - Airforce X Y / Indian Navy SSR
Ans: (2)
From energy level diagram
JEE Main Previous Year Questions (2016- 2025): Modern Physics- 2 | Physics for Airmen Group X - Airforce X Y / Indian Navy SSR
JEE Main Previous Year Questions (2016- 2025): Modern Physics- 2 | Physics for Airmen Group X - Airforce X Y / Indian Navy SSR
JEE Main Previous Year Questions (2016- 2025): Modern Physics- 2 | Physics for Airmen Group X - Airforce X Y / Indian Navy SSR



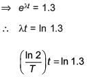
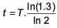
Q.45. A radioactive nucleus A with a half life T, decays into a nucleus B. At t = 0, there is no nucleus B. At sometime t, the ratio of the number of B to that of A is 0.3. Then, t is given by    [2017]
(1) t =T log (1.3)
(2)JEE Main Previous Year Questions (2016- 2025): Modern Physics- 2 | Physics for Airmen Group X - Airforce X Y / Indian Navy SSR
(3)JEE Main Previous Year Questions (2016- 2025): Modern Physics- 2 | Physics for Airmen Group X - Airforce X Y / Indian Navy SSR
(4)JEE Main Previous Year Questions (2016- 2025): Modern Physics- 2 | Physics for Airmen Group X - Airforce X Y / Indian Navy SSR
Ans: (4)
JEE Main Previous Year Questions (2016- 2025): Modern Physics- 2 | Physics for Airmen Group X - Airforce X Y / Indian Navy SSR
JEE Main Previous Year Questions (2016- 2025): Modern Physics- 2 | Physics for Airmen Group X - Airforce X Y / Indian Navy SSR
JEE Main Previous Year Questions (2016- 2025): Modern Physics- 2 | Physics for Airmen Group X - Airforce X Y / Indian Navy SSR
JEE Main Previous Year Questions (2016- 2025): Modern Physics- 2 | Physics for Airmen Group X - Airforce X Y / Indian Navy SSR

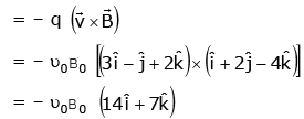
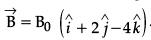
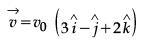
Q.46.  In a certain region static electric and magnetic fields exist. The magnetic field is given by  JEE Main Previous Year Questions (2016- 2025): Modern Physics- 2 | Physics for Airmen Group X - Airforce X Y / Indian Navy SSR.  If a test charge moving with a velocity JEE Main Previous Year Questions (2016- 2025): Modern Physics- 2 | Physics for Airmen Group X - Airforce X Y / Indian Navy SSRexperiences no force in that region, then the electric field in the region, in SI units, is:    [2017]
(1) JEE Main Previous Year Questions (2016- 2025): Modern Physics- 2 | Physics for Airmen Group X - Airforce X Y / Indian Navy SSR

(2) JEE Main Previous Year Questions (2016- 2025): Modern Physics- 2 | Physics for Airmen Group X - Airforce X Y / Indian Navy SSR 
(3) JEE Main Previous Year Questions (2016- 2025): Modern Physics- 2 | Physics for Airmen Group X - Airforce X Y / Indian Navy SSR
(4) JEE Main Previous Year Questions (2016- 2025): Modern Physics- 2 | Physics for Airmen Group X - Airforce X Y / Indian Navy SSR 

Ans: (2)
Fe = Fn = 0 
Fe = –Fm
JEE Main Previous Year Questions (2016- 2025): Modern Physics- 2 | Physics for Airmen Group X - Airforce X Y / Indian Navy SSR

Q.47.  What is the conductivity of a semiconductor sample having electron concentration of 5×1018 m−3, hole concentration of 5×1019 m−3, electron mobility of 2.0 m2 V−1 s−1 and hole mobility of 0.01 m2 V−1 s−1?
(Take charge of electron as 1.6×10−19 C)    [2017]
A: 0.59 (Ω - m)−1
B: 1.83 (Ω - m)−1
C: 1.68 (Ω - m)−1
D: 1.20 (Ω - m)−1
Ans: (3)
s = e (neμe + nnμn)
= 1.6 × 10-19 (5 × 1018 × 2 + 5 × 1019 × 0.01)
= 1.6 × 10–19 (1019  + 0.05 × 1019)
= 1.6 × 1.05
= 1.68

Q.48.  A signal of frequency 20 kHz and peak voltage of 5 Volt is used to modulate a carrier wave of frequency 1.2 MHz and peak voltage 25 Volts. Choose the correct statement.    [2017]
(1) Modulation index = 5, side frequency bands are at 1400 kHz and 1000 kHz
(2) Modulation index = 5, side frequency bands are at 21.2 kHz and 18.8 kHz
(3) Modulation index = 0.8, side frequency bands are at 1180 kHz and 1220 kHz
(4) Modulation index = 0.2, side frequency bands are at 1220 kHz and 1180 kHz
Ans: (4)
JEE Main Previous Year Questions (2016- 2025): Modern Physics- 2 | Physics for Airmen Group X - Airforce X Y / Indian Navy SSR
=1/5 = 0.2
Frequency = 12 × 103 kHz
F = 12.00 kHz
F1 = 1200 – 20 = 1180 kHz
F2 = 1200 + 20 = 1220 kHz


Q.49. A negative test charge is moving near a long straight wire carrying a current. The force acting on the test charge is parallel to the direction of the current. The motion of the charge is:    [2017]
(1) away from the wire
(2) towards the wire
(3) parallel to the wire along the current
(4) parallel to the wire opposite to the current

Ans: (1)
JEE Main Previous Year Questions (2016- 2025): Modern Physics- 2 | Physics for Airmen Group X - Airforce X Y / Indian Navy SSR


Q.50.  A single slit of width 0.1 mm is illuminated by a parallel beam of light of wavelength 6000 Å and diffraction bands are observed on a screen 0.5 m from the slit. The distance of the third dark band from the central bright band is:    [2017]
(1) 3 mm
(2) 9 mm
(3) 4.5 mm
(4) 1.5 mm
Ans: (2)
a = 0.1 mm = 10–4 
λ = 6000 × 10-10 
= 6 × 10-7
D = 0.5 m
for 3rd dark
a sin θ = 3λ
JEE Main Previous Year Questions (2016- 2025): Modern Physics- 2 | Physics for Airmen Group X - Airforce X Y / Indian Navy SSR


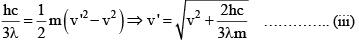
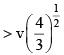
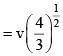
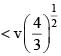
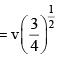
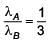
Q.51. Radiation of wavelength λ, is incident on a photocell. The fastest emitted electron has speed v. If the wavelength is changed to 3λ/4, the speed of the fastest emitted electron will be:    [2016]
(1) JEE Main Previous Year Questions (2016- 2025): Modern Physics- 2 | Physics for Airmen Group X - Airforce X Y / Indian Navy SSR


(2) JEE Main Previous Year Questions (2016- 2025): Modern Physics- 2 | Physics for Airmen Group X - Airforce X Y / Indian Navy SSR

(3) JEE Main Previous Year Questions (2016- 2025): Modern Physics- 2 | Physics for Airmen Group X - Airforce X Y / Indian Navy SSR

(4) JEE Main Previous Year Questions (2016- 2025): Modern Physics- 2 | Physics for Airmen Group X - Airforce X Y / Indian Navy SSR

Ans: A
JEE Main Previous Year Questions (2016- 2025): Modern Physics- 2 | Physics for Airmen Group X - Airforce X Y / Indian Navy SSR.... (i)
JEE Main Previous Year Questions (2016- 2025): Modern Physics- 2 | Physics for Airmen Group X - Airforce X Y / Indian Navy SSR ...... (ii)
(ii) - (i) gives
JEE Main Previous Year Questions (2016- 2025): Modern Physics- 2 | Physics for Airmen Group X - Airforce X Y / Indian Navy SSR
JEE Main Previous Year Questions (2016- 2025): Modern Physics- 2 | Physics for Airmen Group X - Airforce X Y / Indian Navy SSR
JEE Main Previous Year Questions (2016- 2025): Modern Physics- 2 | Physics for Airmen Group X - Airforce X Y / Indian Navy SSR.... (iv)
combining (iii) & (iv)
JEE Main Previous Year Questions (2016- 2025): Modern Physics- 2 | Physics for Airmen Group X - Airforce X Y / Indian Navy SSR

Q.52. Half-lives of two radioactive elements A and B are 20 minutes and 40 minutes, respectively. Initially, the samples have equal number of nuclei. After 80 minutes, the ratio of decayed numbers of A and B nuclei will be:    [2016]
(1) 1 : 16
(2) 4 : 1
(3) 1 : 4
(4) 5 : 4
Ans: D
80 minutes = 4 half-lives of A = 2 half-lives of B
Let the initial number of nuclei in each sample be N
NA after 80 minutes = N/24 
⇒ Number of A nuclides decayed = 15/16N
NB after 80 minutes = N/22 
⇒ Number of B nuclides decayed = 3/4N
Required ratio = JEE Main Previous Year Questions (2016- 2025): Modern Physics- 2 | Physics for Airmen Group X - Airforce X Y / Indian Navy SSR

Q.53. A hydrogen atom makes a transition from n = 2 to n=1 and emits a photon. This photon strikes a doubly ionized lithium atom (z = 3) in excited state and completely removes the orbiting electron. The least quantum number for the excited states of the ion for the process is:     [2016]
(1) 4
(2) 5
(3) 2
(4) 3
Ans: (1)
Energy of proton = 13.6 – 3.4 = 10.2 eV
For removal of electron
JEE Main Previous Year Questions (2016- 2025): Modern Physics- 2 | Physics for Airmen Group X - Airforce X Y / Indian Navy SSR
so minimum value of n = 4
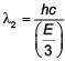
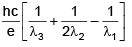
Q.54. When photons of wavelength λ1, are incident on an isolated sphere, the corresponding stopping potential is found to be V. When photons of wavelength λ2, are used , the corresponding stopping potential was thrice that of the above value. If light of wavelength λ3. is used then find the stopping potential for this case     [2016]
(1) JEE Main Previous Year Questions (2016- 2025): Modern Physics- 2 | Physics for Airmen Group X - Airforce X Y / Indian Navy SSR
(2) JEE Main Previous Year Questions (2016- 2025): Modern Physics- 2 | Physics for Airmen Group X - Airforce X Y / Indian Navy SSR
(3) JEE Main Previous Year Questions (2016- 2025): Modern Physics- 2 | Physics for Airmen Group X - Airforce X Y / Indian Navy SSR
(4) JEE Main Previous Year Questions (2016- 2025): Modern Physics- 2 | Physics for Airmen Group X - Airforce X Y / Indian Navy SSR
Ans: (1)
JEE Main Previous Year Questions (2016- 2025): Modern Physics- 2 | Physics for Airmen Group X - Airforce X Y / Indian Navy SSR
using these equations
JEE Main Previous Year Questions (2016- 2025): Modern Physics- 2 | Physics for Airmen Group X - Airforce X Y / Indian Navy SSR

Q.55. Microwave oven acts on the principle of:     [2016]
(1) giving rotational energy to water molecules
(2) giving vibrational energy to water molecules
(3) giving translational energy to water molecules
(4) transferring electrons from lower to higher energy levels in water molecule
Ans. (2)
Energy of microwaves lie in range of vibration energy of water molecules.

Q.56. A neutron moving with a speed 'v' makes a head on collision with a stationary hydrogen atom in ground state. The minimum kinetic energy of the neutron for which inelastic collision will take place is:    [2016]
(1) 10.2 eV
(2) 12.1 eV
(3) 20.4 eV
(4) 16.8eV
Ans: (3)
Assuming perfectly inelastic collision for maximum loss in K.E.
JEE Main Previous Year Questions (2016- 2025): Modern Physics- 2 | Physics for Airmen Group X - Airforce X Y / Indian Navy SSR
JEE Main Previous Year Questions (2016- 2025): Modern Physics- 2 | Physics for Airmen Group X - Airforce X Y / Indian Navy SSR
JEE Main Previous Year Questions (2016- 2025): Modern Physics- 2 | Physics for Airmen Group X - Airforce X Y / Indian Navy SSR
JEE Main Previous Year Questions (2016- 2025): Modern Physics- 2 | Physics for Airmen Group X - Airforce X Y / Indian Navy SSR
⇒ K.Ei ≥ 20.4 eV
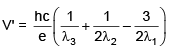
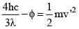
Q.57. A photoelectric surface is illuminated successively by monochromatic light of wavelengths λ and λ/3.  If the maximum kinetic energy of the emitted photoelectrons in the second case is 3 time that in the first case, the work function of the surface is:   [2016]
(1) 3hc/λ
(2) hc/λ
(3) hc/3λ
(4) hc/2λ
Ans: (4)
JEE Main Previous Year Questions (2016- 2025): Modern Physics- 2 | Physics for Airmen Group X - Airforce X Y / Indian Navy SSR      ...(1)
JEE Main Previous Year Questions (2016- 2025): Modern Physics- 2 | Physics for Airmen Group X - Airforce X Y / Indian Navy SSR
JEE Main Previous Year Questions (2016- 2025): Modern Physics- 2 | Physics for Airmen Group X - Airforce X Y / Indian Navy SSR    ...(2)
JEE Main Previous Year Questions (2016- 2025): Modern Physics- 2 | Physics for Airmen Group X - Airforce X Y / Indian Navy SSR
(Equating (i) & (ii))
JEE Main Previous Year Questions (2016- 2025): Modern Physics- 2 | Physics for Airmen Group X - Airforce X Y / Indian Navy SSR
The document JEE Main Previous Year Questions (2016- 2025): Modern Physics- 2 | Physics for Airmen Group X - Airforce X Y / Indian Navy SSR is a part of the Airforce X Y / Indian Navy SSR Course Physics for Airmen Group X.
All you need of Airforce X Y / Indian Navy SSR at this link: Airforce X Y / Indian Navy SSR
201 videos|410 docs|280 tests
Related Searches

practice quizzes

,

JEE Main Previous Year Questions (2016- 2025): Modern Physics- 2 | Physics for Airmen Group X - Airforce X Y / Indian Navy SSR

,

Extra Questions

,

Previous Year Questions with Solutions

,

shortcuts and tricks

,

Exam

,

Important questions

,

JEE Main Previous Year Questions (2016- 2025): Modern Physics- 2 | Physics for Airmen Group X - Airforce X Y / Indian Navy SSR

,

mock tests for examination

,

Summary

,

Objective type Questions

,

JEE Main Previous Year Questions (2016- 2025): Modern Physics- 2 | Physics for Airmen Group X - Airforce X Y / Indian Navy SSR

,

Sample Paper

,

MCQs

,

video lectures

,

Viva Questions

,

ppt

,

past year papers

,

pdf

,

Semester Notes

,

Free

,

study material

;