Lecture 17 - Frequency Domain Analysis | 6 Months Preparation for GATE Electrical - Electrical Engineering (EE) PDF Download

Lecture 17 - Frequency Domain Analysis, Control Systems

 

1 Frequency Domain Analysis 

When a sinusoidal input is given to a stable LTI system it produces a sinusoidal output of same frequency but with different magnitude and phase.

The variation of output magnitude and phase with input frequency is known as frequency response of the system.
Frequency domain analysis provides a good design in presence of uncertainty in plant model.

Experimental results can be used to construct frequency response even if the plant model is unknown.
Analysis of digital control systems in frequency domain depends on the extension of the existing techniques in continuous time case.

Two most popular graphical representations in frequency domain are Nyquist plot and Bode diagram.

 

1.1 Nyquist plot 

The Nyquist plot of a transfer function, usually the loop transfer function GH (z ), is a mapping of Nyquist contour in z-plane onto GH (z) plane which is in polar coordinates. Thus it is sometimes known as polar plot.
Absolute and relative stabilities can be determined from the Nyquist plot using Nyquist stability criterion.
Given the loop transfer function GH (z ) of a digital control system, the polar plot of GH (z ) is obtained by setting z = ejωT and varying ω from 0 to ∞.

 

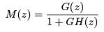
Nyquist stability criterion: The closed loop transfer function of single input single output

digital control system is described by

Lecture 17 - Frequency Domain Analysis | 6 Months Preparation for GATE Electrical - Electrical Engineering (EE)

Characteristic equation 1 + GH (z) = 0

The stability of the system depends on the roots of the characteristic equation or poles of the system. All the roots of the characteristic equation must lie inside the unit circle for the system to be stable.

Before discussing Nyquist stability criterion for the digital system, following steps are necessary.

1. Defining the Nyquist path in the z -plane that encloses the exterior of the unit circle.

Here the region to the left of a closed path is considered to be enclosed by that path when the direction of the path is taken anticlockwise.

2. Mapping the Nyquist path in z-plane onto the GH (z) plane which results in Nyquist plot of GH (z).

3. Stability of the closed loop system is investigated by studying the behavior of Nyquist plot with respect to the critical point (−1, j 0) in the GH (z ) plane.

Two Nyquist paths are defined. The Nyquist path z1 as shown in Figure 1 does not enclose poles on the unit circle whereas the Nyquist path z2 as shown in Figure 2 encloses poles on the unit circle.

These figures are the mapping of the Nyquist contours in s-plane where the entire right half of the s-plane, without or with the imaginary axis poles, is enclosed by the contours.

Let us now define the following parameters.

Z−1 = number of zeros of 1 + GH (z) outside the unit circle in the z-plane.

P−1 = number of poles of 1 + GH (z) outside the unit circle in the z-plane.

P0 = number of poles of GH (z) (same as number of poles of 1 + GH (z)) that are on the unit circle.

N1 = number of times the (−1, j 0) point is encircled by the Nyquist plot of GH (z) corresponding to z1.

N2 = number of times (−1, j 0) point is encircled by Nyquist plot of GH (z) corresponding to z2.

Lecture 17 - Frequency Domain Analysis | 6 Months Preparation for GATE Electrical - Electrical Engineering (EE)

Figure 1: Nyquist path that does not enclose poles on the unit circle

Lecture 17 - Frequency Domain Analysis | 6 Months Preparation for GATE Electrical - Electrical Engineering (EE)

Figure 2: Nyquist path that encloses poles on the unit circle

According to the principle of argument in complex variable theory

N= Z−1 − P−1

N2 = Z−1 − P−1 − P0
Now let us denote the angle traversed by the phasor drawn from (−1, j 0) point to the Nyquist plot of GH (z) as ω varies fromLecture 17 - Frequency Domain Analysis | 6 Months Preparation for GATE Electrical - Electrical Engineering (EE) to 0, on the unit circle of z1 excluding the small indentations, by φ.

It can be shown that

φ = (Z−1 − P−1 − 0.5P0)1800 (1)

For the closed loop digital control system to be stable, Z−1 should be equal to zero. Thus the Nyquist criterion for stability of the closed loop digital control systems is

φ = −(P−1 + 0.5P0)1800 (2) Hence, we can conclude that for the closed loop digital control system to be stable, the angle, traversed by the phasor drawn to the GH (z) plot from (-1, j0) point as ω varies from Lecture 17 - Frequency Domain Analysis | 6 Months Preparation for GATE Electrical - Electrical Engineering (EE)to 0, must satisfy equation (2).

 

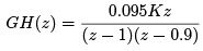
Example 1: Consider a digital control system for which the loop transfer function is given as

Lecture 17 - Frequency Domain Analysis | 6 Months Preparation for GATE Electrical - Electrical Engineering (EE)

where K is a gain parameter. The sampling time T = 0.1 sec.

Since GH (z) has one pole on the unit circle and does not have any pole outside the unit circle,

P−1 = 0 and P0 = 1

Nyquist path has a small indentation at z = 1 on the unit circle.
Nyquist plot of GH (z), as shown in Figure 3, intersects the negative real axis at −0.025K when ω =Lecture 17 - Frequency Domain Analysis | 6 Months Preparation for GATE Electrical - Electrical Engineering (EE)= 31.4 rad/sec.

φ can be computed as

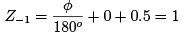
φ = −(0 + 0.5 × 1)1800 = −900

It can be seen from Figure 3 that for φ to be −900, (−1, j 0) point should be located at the left of −0.025K point. Thus for stability

 

Lecture 17 - Frequency Domain Analysis | 6 Months Preparation for GATE Electrical - Electrical Engineering (EE)
−1 < −0.025K

⇒ K < 40

If K > 40, (−1, j 0) will be at the right of −0.025K point, hence making φ = 90o.

If φ = 90o, we get from (1)

Lecture 17 - Frequency Domain Analysis | 6 Months Preparation for GATE Electrical - Electrical Engineering (EE)

Thus for K > 40, one of the closed loop poles will be outside the unit circle.

If K is negative we can still use the same Nyquist plot but refer (+1, j 0) point as the critical point. φ in this case still equals +90o and the system is unstable. Hence the stable range of K is

0 ≤ K < 40

More details can be found in Digital Control Systems by B. C. Kuo.

The document Lecture 17 - Frequency Domain Analysis | 6 Months Preparation for GATE Electrical - Electrical Engineering (EE) is a part of the Electrical Engineering (EE) Course 6 Months Preparation for GATE Electrical.
All you need of Electrical Engineering (EE) at this link: Electrical Engineering (EE)
675 videos|1374 docs|882 tests

FAQs on Lecture 17 - Frequency Domain Analysis - 6 Months Preparation for GATE Electrical - Electrical Engineering (EE)

1. What is frequency domain analysis?
Frequency domain analysis is a technique used to study the behavior of signals and systems in the frequency domain rather than the time domain. It involves representing a signal as a sum of sinusoidal components of different frequencies and analyzing their magnitudes and phases.
2. How is frequency domain analysis different from time domain analysis?
Frequency domain analysis and time domain analysis are two different approaches to studying signals and systems. Time domain analysis focuses on the behavior of signals in the time domain, whereas frequency domain analysis focuses on the behavior of signals in the frequency domain. Time domain analysis provides information about how a signal changes over time, while frequency domain analysis provides information about the frequency content of a signal.
3. What are the advantages of frequency domain analysis?
Frequency domain analysis has several advantages. It allows us to analyze the frequency content of a signal, which is particularly useful in areas such as audio processing, image processing, and communication systems. It also provides insights into the system's response to different frequencies and helps in understanding the stability and performance of systems. Furthermore, frequency domain analysis simplifies the analysis of linear time-invariant systems by using transfer functions and Fourier transforms.
4. What techniques are commonly used in frequency domain analysis?
Some commonly used techniques in frequency domain analysis include Fourier transforms, power spectral density estimation, frequency response analysis, and spectral analysis. These techniques help in converting the time-domain representation of a signal into its frequency-domain representation and allow for the analysis of the signal's spectral characteristics.
5. How is frequency domain analysis applied in real-world applications?
Frequency domain analysis has various applications in real-world scenarios. For example, in audio processing, it helps in equalization, noise cancellation, and compression. In image processing, frequency domain analysis is used for tasks such as image enhancement, filtering, and compression. Additionally, in communication systems, frequency domain analysis plays a crucial role in modulation, demodulation, and channel equalization. Overall, frequency domain analysis is widely used in various fields to understand and manipulate the frequency components of signals and systems.
Related Searches

Semester Notes

,

video lectures

,

pdf

,

Important questions

,

Lecture 17 - Frequency Domain Analysis | 6 Months Preparation for GATE Electrical - Electrical Engineering (EE)

,

practice quizzes

,

past year papers

,

ppt

,

mock tests for examination

,

Exam

,

Sample Paper

,

Objective type Questions

,

Previous Year Questions with Solutions

,

MCQs

,

Lecture 17 - Frequency Domain Analysis | 6 Months Preparation for GATE Electrical - Electrical Engineering (EE)

,

Summary

,

Viva Questions

,

study material

,

Extra Questions

,

Free

,

Lecture 17 - Frequency Domain Analysis | 6 Months Preparation for GATE Electrical - Electrical Engineering (EE)

,

shortcuts and tricks

;