Electrical Engineering (EE) Exam  >  Electrical Engineering (EE) Notes  >  6 Months Preparation for GATE Electrical  >  Lecture 5 - Modeling Discrete Time Systems by Pulse Transfer Function

Lecture 5 - Modeling Discrete Time Systems by Pulse Transfer Function | 6 Months Preparation for GATE Electrical - Electrical Engineering (EE) PDF Download

Lecture 5 - Modeling discrete-time systems by pulse transfer function, Control Systems


1 Motivation for using Z-transform 

In general, control system design methods can be classified as:

conventional or classical control techniques

modern control techniques

Classical methods use transform techniques and are based on transfer function models, whereas modern techniques are based on modeling of system by state variable methods.
Laplace transform is the basic tool of the classical methods in continuous domain. In principle, it can also be used for modeling digital control systems. However typical Laplace transform expressions of systems with digital or sampled signals contain exponential terms in the form of eTs which makes the manipulation in the Laplace domain difficult. This can be regarded as a motivation of using Z-transform.

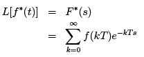
Let the output of an ideal sampler be denoted by f (t).

Lecture 5 - Modeling Discrete Time Systems by Pulse Transfer Function | 6 Months Preparation for GATE Electrical - Electrical Engineering (EE)

Since F ∗(s) contains the term e−kTs, it is not a rational function of s. When terms with e−Ts appear in a transfer function other than a multiplying factor, difficulties arise while taking the inverse Laplace. It is desirable to transfer the irrational function F (s) to a rational function for which one obvious choice is:

Lecture 5 - Modeling Discrete Time Systems by Pulse Transfer Function | 6 Months Preparation for GATE Electrical - Electrical Engineering (EE)

If, s = σ + j w,

Re z = eT σ cos wT
I m z = eT σ sin wT

Z-transform:

Lecture 5 - Modeling Discrete Time Systems by Pulse Transfer Function | 6 Months Preparation for GATE Electrical - Electrical Engineering (EE)

F (z ) is the Z-transform of f (t) at the sampling instants k.

Lecture 5 - Modeling Discrete Time Systems by Pulse Transfer Function | 6 Months Preparation for GATE Electrical - Electrical Engineering (EE)

In general, we can say that if f (t) is Laplace transformable then it also has a Z-transform.

Lecture 5 - Modeling Discrete Time Systems by Pulse Transfer Function | 6 Months Preparation for GATE Electrical - Electrical Engineering (EE)


2 Revisiting Z-Transforms 

Z-transform is a powerful operation method to deal with discrete time systems. In considering Z-transform of a time function x(t), we consider only the sampled values of x(t), i.e., x(0), x(T ), x(2T )....... where T is the sampling period.
X (z) = Z [x(t)] = Z [x(kT )]

Lecture 5 - Modeling Discrete Time Systems by Pulse Transfer Function | 6 Months Preparation for GATE Electrical - Electrical Engineering (EE)

For a sequence of numbers x(k)
X (z) = Z [x(k)]

Lecture 5 - Modeling Discrete Time Systems by Pulse Transfer Function | 6 Months Preparation for GATE Electrical - Electrical Engineering (EE)

The above transforms are referred to as one sided z-transform. In one sided z-transform, we assume that x(t) = 0 for t < 0 or x(k) = 0 for k < 0. In two sided z-transform, we assume that −∞ < t < ∞ or k =, ±1, ±2, ±3, ........
X (z) = Z [x(kT )]

Lecture 5 - Modeling Discrete Time Systems by Pulse Transfer Function | 6 Months Preparation for GATE Electrical - Electrical Engineering (EE)

or for x(k)
X (z) = Z [x(k)]

Lecture 5 - Modeling Discrete Time Systems by Pulse Transfer Function | 6 Months Preparation for GATE Electrical - Electrical Engineering (EE)

The one sided z-transform has a convenient closed form solution in its region of convergence (ROC) for most engineering applications. Whenever X (z), an infinite series in z−1, converges outside the circle |z | = R, where R is the radius of absolute convergence, it is not needed each time to specify the values of z over which X (z ) is convergent.

|z| > R ⇒ convergent

|z| < R ⇒ divergent.

In one sided z-transform theory, while sampling a discontinuous function x(t), we assume that the function is continuous from the right, i.e., if discontinuity occurs at 0 we assume that x(0) = x(0+).

 

2.1 Z-Transforms of some elementary functions 

Unit step function is defined as:

us(t) = 1, for t ≥ 0
= 0, for t < 0

Assuming that the function is continuous from right

Lecture 5 - Modeling Discrete Time Systems by Pulse Transfer Function | 6 Months Preparation for GATE Electrical - Electrical Engineering (EE)

The above series converges if |z | > 1.
One should note that the Unit step sequence is defined as

us(k) = 1, for k = 0, 1, 2 · · ·

= 0, for k < 0

with a same Z-transform.


Unit ramp function is defined as:
u(t) = t, for t ≥ 0
= 0, for t < 0

The Z-transform is:

Lecture 5 - Modeling Discrete Time Systems by Pulse Transfer Function | 6 Months Preparation for GATE Electrical - Electrical Engineering (EE)

with ROC |z| > 1.

For a polynomial function x(k) = ak , the Z-transform is:

Lecture 5 - Modeling Discrete Time Systems by Pulse Transfer Function | 6 Months Preparation for GATE Electrical - Electrical Engineering (EE)

where ROC is |z| > a.

Exponential function is defined as:
x(t) = e−at, for t ≥ 0
= 0, for t < 0
We have x(kT ) = e−akT for k = 0, 1, 2 · · · . Thus,

Lecture 5 - Modeling Discrete Time Systems by Pulse Transfer Function | 6 Months Preparation for GATE Electrical - Electrical Engineering (EE)

Similarly Z-transforms can be computed for sinusoidal and other compound functions. One should refer the Z-transform table provided in the appendix.

 

2.2 Properties of Z- transform 

1. Multiplication by a constant: Z [ax(t)] = aX (z), where X (z) = Z [x(t)].

2. Linearity: If x(k) = αf (k) ± β g(k), then X (z) = αF (z) ± β G(z).

3. Multiplication by ak : Z [ak x(k)] = X (a−1z)

4. Real shifting: Z [x(t − nT )] = z−nX (z) and z[x(t + nT )] = zn

Lecture 5 - Modeling Discrete Time Systems by Pulse Transfer Function | 6 Months Preparation for GATE Electrical - Electrical Engineering (EE)

5. Complex shifting: Z [e±atx(t)] = X (ze∓aT )

6. Initial value theorem:  Lecture 5 - Modeling Discrete Time Systems by Pulse Transfer Function | 6 Months Preparation for GATE Electrical - Electrical Engineering (EE)

7. Final value theorem:  Lecture 5 - Modeling Discrete Time Systems by Pulse Transfer Function | 6 Months Preparation for GATE Electrical - Electrical Engineering (EE)

 

2.3 Inverse Z-transforms 

Single sided Laplace transform and its inverse make a unique pair,i.e. if F (s) is the Laplace transform of f (t), then f (t) is the inverse Laplace transform of F (s). But the same is not true for Z-transform. Say f (t) is the continuous time function whose Z-transform is F (z ) then the inverse transform is not necessarily equal to f (t), rather it is equal to f (kT ) which is equal to f (t) only at the sampling instants. Once f (t) is sampled by an the ideal sampler, the information between the sampling instants is totally lost and we cannot recover actual f (t) from F (z ),

⇒ f (kT ) = Z −1[F (z)]

The transform can be obtained by using
→ Partial fraction expansion
→ Power series
→ Inverse formula.
Inverse Z-transform formula:

Lecture 5 - Modeling Discrete Time Systems by Pulse Transfer Function | 6 Months Preparation for GATE Electrical - Electrical Engineering (EE)


2.4 Other Z-transform properties 

Partial differentiation theorem:

Lecture 5 - Modeling Discrete Time Systems by Pulse Transfer Function | 6 Months Preparation for GATE Electrical - Electrical Engineering (EE)

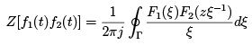
Real convolution theorem: 

If f1(t) and f2(t) have z-transforms F1(z ) and F2(z ) and f1(t) = 0 = f2(t) for t < 0, then

Lecture 5 - Modeling Discrete Time Systems by Pulse Transfer Function | 6 Months Preparation for GATE Electrical - Electrical Engineering (EE)

Complex convolution:

Lecture 5 - Modeling Discrete Time Systems by Pulse Transfer Function | 6 Months Preparation for GATE Electrical - Electrical Engineering (EE)

Γ : circle / closed path in z-plane which lie in the region Lecture 5 - Modeling Discrete Time Systems by Pulse Transfer Function | 6 Months Preparation for GATE Electrical - Electrical Engineering (EE)

σ1: radius of convergence ofF1(ξ )

σ1: radius of convergence of F2(ξ )

 

2.5 Limitation of Z-transform method 

1. Ideal sampler assumption ⇒ z-transform represents the function only at sampling instants.

2. Non uniqueness of z-transform.

3. Accuracy depends on the magnitude of the sampling frequency ws relative to the highest frequency component contained in the function f (t).

4. A good approximation of f (t) can only be interpolated from f (kT ), the inverse z-transform of F (z) by connecting f (kT ) with a smooth curve.

 

2.6 Application of Z-transform in solving Difference Equation

One of the most important applications of Z-transform is in the solution of linear difference equations. Let us consider that a discrete time system is described by the following difference equation.
y(k + 2) + 0.5y(k + 1) + 0.06y(k) = −(0.5)k+1 with the initial conditions y(0) = 0, y(1) = 0. We have to find the solution y(k) for k > 0.
Taking z-transform on both sides of the above equation:

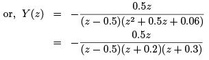
z2Y (z) + 0.5zY (z) + 0.06Y (z) = Lecture 5 - Modeling Discrete Time Systems by Pulse Transfer Function | 6 Months Preparation for GATE Electrical - Electrical Engineering (EE)

Lecture 5 - Modeling Discrete Time Systems by Pulse Transfer Function | 6 Months Preparation for GATE Electrical - Electrical Engineering (EE)

Using partial fraction expansion:

Lecture 5 - Modeling Discrete Time Systems by Pulse Transfer Function | 6 Months Preparation for GATE Electrical - Electrical Engineering (EE)

Taking Inverse Laplace: y(k) = −0.893(0.5)+ 7.143(−0.2)k − 6.25(−0.3)k

To emphasize the fact that y(k) = 0 for k < 0, it is a common practice to write the solution as: y(k) = −0.893(0.5)k us(k) + 7.143(−0.2)k us(k) − 6.25(−0.3)us(k)

where us(k) is the unit step sequence.

The document Lecture 5 - Modeling Discrete Time Systems by Pulse Transfer Function | 6 Months Preparation for GATE Electrical - Electrical Engineering (EE) is a part of the Electrical Engineering (EE) Course 6 Months Preparation for GATE Electrical.
All you need of Electrical Engineering (EE) at this link: Electrical Engineering (EE)
675 videos|1379 docs|882 tests

FAQs on Lecture 5 - Modeling Discrete Time Systems by Pulse Transfer Function - 6 Months Preparation for GATE Electrical - Electrical Engineering (EE)

1. What is a pulse transfer function?
Ans. A pulse transfer function is a mathematical representation of a discrete-time system that relates the input pulse sequence to the output pulse sequence. It describes how the system responds to a discrete input signal over time.
2. How is a pulse transfer function different from a transfer function?
Ans. While a transfer function is used to model continuous-time systems, a pulse transfer function is specifically designed for discrete-time systems. The pulse transfer function takes into account the discrete nature of the input and output signals.
3. How is a pulse transfer function derived?
Ans. The pulse transfer function can be derived by taking the Z-transform of the difference equation that represents the discrete-time system. The Z-transform converts the difference equation into a polynomial expression in the complex variable Z, which represents the discrete time.
4. What are the advantages of modeling discrete-time systems using a pulse transfer function?
Ans. Modeling discrete-time systems using a pulse transfer function allows for the analysis and design of digital control systems. It provides a convenient way to analyze stability, transient response, and steady-state response of the system. Additionally, it allows for the use of tools and techniques from control theory to design controllers for discrete-time systems.
5. Can a continuous-time system be represented using a pulse transfer function?
Ans. No, a pulse transfer function is only applicable to discrete-time systems. Continuous-time systems are modeled using transfer functions, which are derived using Laplace transforms. The pulse transfer function cannot accurately represent the behavior of a continuous-time system.
Related Searches

Semester Notes

,

Previous Year Questions with Solutions

,

Lecture 5 - Modeling Discrete Time Systems by Pulse Transfer Function | 6 Months Preparation for GATE Electrical - Electrical Engineering (EE)

,

mock tests for examination

,

Lecture 5 - Modeling Discrete Time Systems by Pulse Transfer Function | 6 Months Preparation for GATE Electrical - Electrical Engineering (EE)

,

ppt

,

Lecture 5 - Modeling Discrete Time Systems by Pulse Transfer Function | 6 Months Preparation for GATE Electrical - Electrical Engineering (EE)

,

practice quizzes

,

Objective type Questions

,

Viva Questions

,

shortcuts and tricks

,

Sample Paper

,

Free

,

Extra Questions

,

video lectures

,

pdf

,

past year papers

,

Exam

,

Summary

,

MCQs

,

Important questions

,

study material

;