Electrical Engineering (EE) Exam  >  Electrical Engineering (EE) Notes  >  6 Months Preparation for GATE Electrical  >  Lecture 8 - Modeling Discrete Time Systems by Pulse Transfer Function

Lecture 8 - Modeling Discrete Time Systems by Pulse Transfer Function | 6 Months Preparation for GATE Electrical - Electrical Engineering (EE) PDF Download

Lecture 8 - Modeling discrete-time systems by pulse transfer function, Control Systems


1 Pulse Transfer Functions of Closed Loop Systems 

We know that various advantages of feedback make most of the control systems closed loop nature. A simple single loop system with a sampler in the forward path is shown in Figure 1.

Lecture 8 - Modeling Discrete Time Systems by Pulse Transfer Function | 6 Months Preparation for GATE Electrical - Electrical Engineering (EE)

Figure 1: Block diagram of a closed loop system with a sampler in the forward path The ob jective is to establish the input-output relationship. For the above system, the output of the sampler is regarded as an input to the system. The input to the sampler is regarded as another output. Thus the input-output relations can be formulated as

E (s) = R(s) − G(s)H (s)E (s)                     (1)

C (s) = G(s)E (s)                                        (2)

Taking pulse transform on both sides of (1),
E(s) = R(s) − GH (s)E (s)                      (3)

where

GH (s) = [G(s)H (s)]

Lecture 8 - Modeling Discrete Time Systems by Pulse Transfer Function | 6 Months Preparation for GATE Electrical - Electrical Engineering (EE)

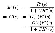
We can write from equation (3),

Lecture 8 - Modeling Discrete Time Systems by Pulse Transfer Function | 6 Months Preparation for GATE Electrical - Electrical Engineering (EE)

Taking pulse transformation on both sides of (2)

Lecture 8 - Modeling Discrete Time Systems by Pulse Transfer Function | 6 Months Preparation for GATE Electrical - Electrical Engineering (EE)

where GH (z) = Z [G(s)H (s)].

Now, if we place the sampler in the feedback path, the block diagram will look like the Figure 2.

Lecture 8 - Modeling Discrete Time Systems by Pulse Transfer Function | 6 Months Preparation for GATE Electrical - Electrical Engineering (EE)

Figure 2: Block diagram of a closed loop system with a sampler in the feedback path

The corresponding input output relations can be written as:

E(s) = R(s) − H (S )C ∗(s)                                                        (4)

C(s) = G(s)E (s) = G(s)R(s) − G(s)H (s)C (s)                         (5)

Taking pulse transformation of equations (4) and (5)

E(s) = R(s) − H ∗(s)C (s)
C(s) = GR(s) − GH (s)C (s)
where, GR(s) = [G(s)R(s)]
GH (s) = [G(s)H (s)]

C(s) can be written as

Lecture 8 - Modeling Discrete Time Systems by Pulse Transfer Function | 6 Months Preparation for GATE Electrical - Electrical Engineering (EE)

We can no longer define the input output transfer function of this system by either Lecture 8 - Modeling Discrete Time Systems by Pulse Transfer Function | 6 Months Preparation for GATE Electrical - Electrical Engineering (EE)  Lecture 8 - Modeling Discrete Time Systems by Pulse Transfer Function | 6 Months Preparation for GATE Electrical - Electrical Engineering (EE) Since the input r(t) is not sampled, the sampled signal r(t) does not exist. The continuous-data output C (s) can be expressed in terms of input as.

C (s) = G(s)R(s) Lecture 8 - Modeling Discrete Time Systems by Pulse Transfer Function | 6 Months Preparation for GATE Electrical - Electrical Engineering (EE)

 

1.1 Characteristics Equation 

Characteristics equation plays an important role in the study of linear systems. As said earlier, an nth order LTI discrete data system can be represented by an nth order difference equation,

c(k + n) + an−1c(k + n − 1) + an−2c(k + n − 2) + ... + a1c(k + 1) + a0c(k)
= bmr(k + m) + bm−1r(k + m − 1) + ... + b0r(k)

where r(k) and c(k) denote input and output sequences respectively. The input output relation can be obtained by taking Z-transformation on both sides, with zero initial conditions, as

Lecture 8 - Modeling Discrete Time Systems by Pulse Transfer Function | 6 Months Preparation for GATE Electrical - Electrical Engineering (EE)                        (6)

The characteristics equation is obtained by equating the denominator of G(z) to 0, as

zn + an−1zn−1 + ... + a1z + a0 = 0

Example 

Consider the forward path transfer function as G(s) = Lecture 8 - Modeling Discrete Time Systems by Pulse Transfer Function | 6 Months Preparation for GATE Electrical - Electrical Engineering (EE)    and the feedback transfer function as 1. If the sampler is placed in the forward path, find out the characteristics equation of the overall system for a sampling period T = 0.1 sec.
Solution:

Lecture 8 - Modeling Discrete Time Systems by Pulse Transfer Function | 6 Months Preparation for GATE Electrical - Electrical Engineering (EE)

Since the feedback transfer function is 1,

Lecture 8 - Modeling Discrete Time Systems by Pulse Transfer Function | 6 Months Preparation for GATE Electrical - Electrical Engineering (EE)
Lecture 8 - Modeling Discrete Time Systems by Pulse Transfer Function | 6 Months Preparation for GATE Electrical - Electrical Engineering (EE)

So, the characteristics equation of the system is z 2 − 1.64z + 0.82 = 0.

 

1.2 Causality and Physical Realizability

  • In a causal system, the output does not precede the input. In other words, in a causal system, the output depends only on the past and present inputs, not on the future ones.
  • The transfer function of a causal system is physically realizable, i.e., the system can be realized by using physical elements.
  • For a causal discrete data system, the power series expansion of its transfer function must not contain any positive power in z . Positive power in z indicates prediction. Therefore, in the transfer function (6), n must be greater than or equal to m.
    m = n ⇒ proper transfer function
    m < n ⇒ strictly proper Transfer function
The document Lecture 8 - Modeling Discrete Time Systems by Pulse Transfer Function | 6 Months Preparation for GATE Electrical - Electrical Engineering (EE) is a part of the Electrical Engineering (EE) Course 6 Months Preparation for GATE Electrical.
All you need of Electrical Engineering (EE) at this link: Electrical Engineering (EE)
675 videos|1379 docs|882 tests

FAQs on Lecture 8 - Modeling Discrete Time Systems by Pulse Transfer Function - 6 Months Preparation for GATE Electrical - Electrical Engineering (EE)

1. What is a pulse transfer function?
Ans. A pulse transfer function is a mathematical representation that describes the relationship between the input and output of a discrete time system. It is obtained by taking the Z-transform of the system's difference equation.
2. How is a pulse transfer function different from a transfer function?
Ans. The main difference between a pulse transfer function and a transfer function is that the former is used to model discrete time systems, while the latter is used for continuous time systems. Pulse transfer functions take into account the discrete nature of the system's input and output signals.
3. How can I model a discrete time system using a pulse transfer function?
Ans. To model a discrete time system using a pulse transfer function, you need to determine the difference equation that relates the system's input and output. Once you have the difference equation, you can take its Z-transform to obtain the pulse transfer function.
4. What are the advantages of using a pulse transfer function for modeling discrete time systems?
Ans. Using a pulse transfer function provides a convenient way to analyze and design discrete time systems. It allows you to apply techniques from control theory and signal processing to analyze the system's stability, transient response, and frequency response. Additionally, pulse transfer functions can be easily implemented on digital computers.
5. Can a pulse transfer function be used to model continuous time systems?
Ans. No, a pulse transfer function is specifically designed for modeling discrete time systems. Continuous time systems require a transfer function that takes into account the continuous nature of their input and output signals. However, there are methods available to approximate a continuous time system using a discrete time model, such as the Tustin's method or the bilinear transformation.
Related Searches

past year papers

,

Semester Notes

,

Exam

,

study material

,

video lectures

,

practice quizzes

,

Viva Questions

,

Previous Year Questions with Solutions

,

Lecture 8 - Modeling Discrete Time Systems by Pulse Transfer Function | 6 Months Preparation for GATE Electrical - Electrical Engineering (EE)

,

Lecture 8 - Modeling Discrete Time Systems by Pulse Transfer Function | 6 Months Preparation for GATE Electrical - Electrical Engineering (EE)

,

Sample Paper

,

Objective type Questions

,

Extra Questions

,

Summary

,

pdf

,

Lecture 8 - Modeling Discrete Time Systems by Pulse Transfer Function | 6 Months Preparation for GATE Electrical - Electrical Engineering (EE)

,

Important questions

,

Free

,

mock tests for examination

,

ppt

,

MCQs

,

shortcuts and tricks

;