Light Propagation in Optical Fibers | Electromagnetics - Electronics and Communication Engineering (ECE) PDF Download

Fibre Optic Communications

Fibre optic communication is a method of transmitting information from one place to another by sending pulses of light through an optical fibre. The information carrying capacity of a cable or radio channel is directly proportional to its bandwidth.

Block diagram of fibre optic communicationBlock diagram of fibre optic communication

  • Transducer basically converts information from source into electrical signal.
  • Optical source (LASER or LED) converts electrical signal into optical (light) signal.
  • Optical channel is optical fibre.
  • Optical detector converts optical signal into electrical signal. Avalanche photo-diode is used as optical detector.

Key Points

  • If there is interaction between a material and light then we go for photon theory.
  • When we deal with transmission of optical signal or reception of optical signal then we go for wave theory.
  • When we have to compare the behaviour of light in two medium then we go for ray theory.
  • The primary application of fibre optic communications is in long-distance telephone systems.
  • Because of the great attenuation of light in a fibre optic cable, repeater units are used to amplify and regenerate the signals over long distances.
  • Because of the very high frequency of light compared to typical information signals, tremendous bandwidth is easily available.
  • Light is an electromagnetic signal like a radio wave but is much higher in frequency. It can be used as a carrier for information signals.
  • The angle at which light strikes a surface is called the angle of incidence. The angle at which light is reflected from a surface is called the angle of reflection. The angle of incidence is equal to the angle of reflection.
  • When a light ray passes from one medium to another, it is bent. This is called refraction.
  • The amount of refraction is called the index of refraction n and is the ratio of the speed of light in air to the speed of light in another medium, such as water, glass, or plastic. [n = 1 in air, n = 1.3 in water, n = 1.5 in glass]. n=c/v, Value of refractive index is always greater than or equal to 1.

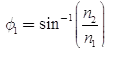
Total Internal Reflection: By Snell's law n1 sin φ1 = n2 sin φ2
if φ2 = 90; internal reflection takes place

Light Propagation in Optical Fibers | Electromagnetics - Electronics and Communication Engineering (ECE)
Total internal reflection will take place if angle of incidence φ1 will be greater than or equal to critical angle.
Light Propagation in Optical Fibers | Electromagnetics - Electronics and Communication Engineering (ECE)

Total internal reflection in two mediumsTotal internal reflection in two mediums

  • The critical angle is the angle of incidence that causes the refracted light to travel along the interface between two different media.
  • All the information in optical fibre is carried out by the principle of total internal reflection and all the information is carried in core of the optical fibre.
  • Cladding does not support any transmission of information.

Key Points

  • A popular fibre optic cable with a glass core and plastic cladding is called Plastic Clad Silica (PCS).
  • The cladding surrounding the core protects the core and provides an interface with a controlled index of refraction.

Acceptance Angle (θa): Acceptance angle is the maximum angle to the fibre axis at which the light may enter in order to propagate.
Acceptance angle of fibreAcceptance angle of fibre

n1, n2 = Refractive indices of core and cladding respectively
If angle of incidence to the fibre will be greater than θa, then total internal reflection will not take place in optical fibre and some information will be lossed.
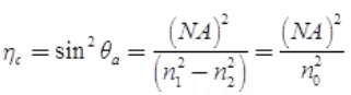
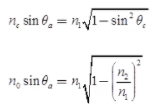
Numerical Aperture (NA): It is a measure of light collecting ability of fibre. It establishes the relationship between acceptance angle and refractive indexes of different medium involved.
n0 sin θa = n1sin(90 – θc) = n1cos θc
Light Propagation in Optical Fibers | Electromagnetics - Electronics and Communication Engineering (ECE)
NA = n0 sin θa = (n21 - n22)1/2

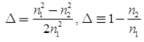
Relative Refractive Index Difference (Δ)

Light Propagation in Optical Fibers | Electromagnetics - Electronics and Communication Engineering (ECE)
NA = n1(2Δ)1/2

Meridonal Rays: Meridonal rays are those rays which pass through core axis.
NA = n0 sin θa = (n21 - n22)1/2
Skew Rays: Skew rays are those rays which do not pass through core axis.

NA = n0 sin θaz cos γ = (n21 - n22)1/2
where, θas = Acceptance angle for skew says.
γ = The angle between angle of incidence and normal at the point of incidence.

Key Points

θas is always greater than θa.
Skew rays will be in large number inside fibre.

Normalized Frequency (v)
v = 2π/λ x a x(NA) = 2π/λ x α x n1 x (2Δ)1/2
where, a = Core radius
λ = Wavelength of operation
It is a dimensionless quantity.
Step Index Fibre: Step index means there is a sharp difference in the index of refraction between the core and cladding.
n(r) = n1 r < a
n2 r ≥ a
Step index fibreStep index fibre

Mode: Number of modes or mode volume M = v2/2. Some modes depends on energy and phase equivalence is given below.
Equal energy and equal phase Equal energy and equal phase 

Same phase but unequal energySame phase but unequal energy

Different phase but same energy Different phase but same energy 

Key Points

  • A single mode cable is very small in diameter and essentially provides only a single path for light.
  • Multimode cores are large and provide multiple paths for the light.
  • Multiple light paths through a step-index core causes a light pulse to be stretched and attenuated. This is called modal dispersion and it limits the upper pulse repetition rate and thus the information bandwidth.
  • If we reduce the radius such that single mode is only transmitted through core so no dispersion and so no different delays

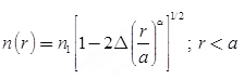
Graded Index Fibre: Graded index means that the index of refraction of the core varies over its cross- section, highest in the centre and lowest at the edges.

Light Propagation in Optical Fibers | Electromagnetics - Electronics and Communication Engineering (ECE)
n2 = n1[1 – 2Δ]1/2 ; r ≥ a 
where, α is called as profile of the fibre.

Light Propagation in Optical Fibers | Electromagnetics - Electronics and Communication Engineering (ECE)

  • As a increases, graded index fibre will tend toward step index fibre behaviour.
  • Multiple light paths in a graded index core are controlled so that they converge at multiple points along the cable. Modal dispersions does occur, but it is not as serve as that caused by a step-index core.
  • Modal dispersion does not occur in single-mode cores.
  • The three most widely used types of fibre-optic cables are multimode step-index, single-mode step-index, and multimode graded-index.
  • Number of modes or mode volume is Light Propagation in Optical Fibers | Electromagnetics - Electronics and Communication Engineering (ECE)
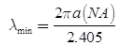
  • If we want to transmit only single mode, then normalized frequency must be in the range 0 ≤ v ≤ vc, where vc = 2.405.
  • For single mode transmission minimum value of wavelength λ is Light Propagation in Optical Fibers | Electromagnetics - Electronics and Communication Engineering (ECE)

Losses in Optical Fibre: The primary specification of a fibre optic cable is attenuation which is usually expressed as the loss in decibels per kilometre. Light loss in a fibre optic cable is caused by absorption, scattering, and dispersion.

Absorption Losses: Absorption losses can be classified as

  • Intrinsic [due to interaction of one or major components of glass]
  • Extrinsic [due to OH– ion or due to transition element impurity]

Key Points

  • Cable attenuation is directly proportional to its length.
  • Cable losses at range from 1db/km in glass single-mode step-index cable to 100 db/km for plastic multi mode step-index cable.
  • Fibre-optic cables can be spliced by gluing.

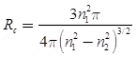
Critical Radius of Curvature

For multimode
Light Propagation in Optical Fibers | Electromagnetics - Electronics and Communication Engineering (ECE)
For single mode
Light Propagation in Optical Fibers | Electromagnetics - Electronics and Communication Engineering (ECE)

Optical Sources: Fibre-optic systems use Light Emitting Diodes (LEDs) and semiconductor lasers as the main light sources. Laser is source of monochromatic and coherent light. LED is source of monochromatic and non-coherent light. Light emitting diodes are used in short-distance, low-speed systems. Injection Laser Diodes (ILDs) are used in long-distance, high-speed systems.

Key Points

  • In case of He-Ne laser for same output optical power loss, input power is required compare to Ruby laser.
  • Most LEDs and ILDs emit light in the invisible near infrared range (0.82 to 1.55μm)
  • In case of LED total recombination rate Rt is directly proportional to forward biased current and is given by R= Rnr + Rr

where, Rnr = Non-radiative recombination

Rr = Radiative recombination

Internal Quantum Efficiency of LED: The internal quantum efficiency of LED can be calculated as
nint = Rr/Rt; Rt = i/e'; nint = Light Propagation in Optical Fibers | Electromagnetics - Electronics and Communication Engineering (ECE)
where e is charge on electron
Internal power Fint = Photon rate × hf
Pint = Rr × hf
Pint - ηint x i/e x hc/λ
External power is somewhat lesser than internal power and is given by

Light Propagation in Optical Fibers | Electromagnetics - Electronics and Communication Engineering (ECE)
where, F is transmission coefficient and lies between (0, 1), 0 for opaque and 1 for transparent medium.

n = Refractive index of the medium

nx = Refractive index of the crystal

  • External quantum efficiency is equal to Pext/P, where P is input electrical power.
  • Relation between overall mean life time (τt), mean life time (τr), corresponding to radiative recombination and mean life time (τnr) corresponding to non-radiative recombination is
    Light Propagation in Optical Fibers | Electromagnetics - Electronics and Communication Engineering (ECE)

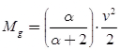
Coupling Efficiency: Coupling efficiency is a parameter which defines the amount of optical power coupled to the optical fibre from LED.
Light Propagation in Optical Fibers | Electromagnetics - Electronics and Communication Engineering (ECE)
Light Propagation in Optical Fibers | Electromagnetics - Electronics and Communication Engineering (ECE)
for I(θ) = I0 cos θ

Optical Detector: The most commonly used light sensor is photo diode or PIN diode. PIN junction diodes are faster and more sensitive than conventional photo diodes. The fastest and most sensitive light detector is the Avalanche Photo Diode (APD). Optical detector must have high sensitivity, high fidelity, short response time and stability within the range of operation.

Quantum Efficiency of Optical Detector: The quantum efficiency of optical detector can be calculated as
ηD = Electron generate rate/Incident photon rate
ηD = re/rp
where re and rp are electron and photon generation rate respectively.
Responsivity (R): It gives the transfer characteristic of detector and is equal to
where, Ip = Photon current, P0 = Incident photon power
P0 = Photon rate × hf
P0 = rp × hf
re = ηP0/hf
Light Propagation in Optical Fibers | Electromagnetics - Electronics and Communication Engineering (ECE)

The document Light Propagation in Optical Fibers | Electromagnetics - Electronics and Communication Engineering (ECE) is a part of the Electronics and Communication Engineering (ECE) Course Electromagnetics.
All you need of Electronics and Communication Engineering (ECE) at this link: Electronics and Communication Engineering (ECE)
11 videos|94 docs|89 tests

FAQs on Light Propagation in Optical Fibers - Electromagnetics - Electronics and Communication Engineering (ECE)

1. What is light propagation in optical fibers?
Ans. Light propagation in optical fibers refers to the transmission of light through a thin, transparent fiber made of glass or plastic. The light travels through the fiber by repeatedly reflecting off the walls of the fiber, allowing it to transmit information over long distances with minimal loss in signal strength.
2. How does light propagate in optical fibers?
Ans. Light propagates in optical fibers through a phenomenon called total internal reflection. When light enters the fiber at an angle greater than the critical angle, it reflects off the inner walls of the fiber and continues to bounce back and forth, traveling down the fiber. This reflection process ensures that the light remains confined within the fiber, enabling efficient transmission.
3. What are the advantages of using optical fibers for communication?
Ans. Optical fibers offer several advantages for communication systems. These include: - High bandwidth: Optical fibers have a much larger bandwidth compared to traditional copper cables, allowing for the transmission of large amounts of data. - Low signal loss: Light signals can travel long distances in optical fibers without significant loss of signal strength, ensuring reliable communication over extended distances. - Immunity to electromagnetic interference: Unlike copper cables, optical fibers are not affected by electromagnetic interference, making them ideal for environments with high levels of electrical noise. - Compact and lightweight: Optical fibers are thin and lightweight, making them easy to install and handle. - Security: Light signals transmitted through optical fibers are difficult to tap or intercept, providing a high level of security for communication.
4. What are the different types of optical fibers?
Ans. There are several types of optical fibers used in different applications: - Single-mode fibers: These fibers have a small core size and allow only a single mode of light to propagate. They are used for long-distance communication and provide high bandwidth and low signal loss. - Multimode fibers: These fibers have a larger core size and allow multiple modes of light to propagate. They are used for shorter distances and provide lower bandwidth compared to single-mode fibers. - Plastic fibers: These fibers are made of plastic instead of glass and are less expensive. They are commonly used in short-distance communication applications. - Specialty fibers: There are various specialty fibers available for specialized applications such as polarization-maintaining fibers, dispersion-shifted fibers, and photonic crystal fibers.
5. What are the main challenges in light propagation through optical fibers?
Ans. While optical fibers offer numerous advantages, there are some challenges associated with light propagation. These include: - Attenuation: Although optical fibers have low signal loss, there is still some attenuation over long distances, which can affect the quality of the transmitted signal. - Dispersion: Different wavelengths of light travel at slightly different speeds in the fiber, causing dispersion. This can limit the distance over which the signal can be transmitted without distortion. - Nonlinear effects: At high power levels, nonlinear effects such as self-phase modulation and stimulated Raman scattering can occur, leading to signal degradation. - Fiber bending and stress: Excessive bending or stress on the fiber can cause loss of signal or even breakage. - Cost: Optical fiber technology can be expensive, especially for long-distance communication networks, requiring significant investment in infrastructure and maintenance.
Related Searches

video lectures

,

Light Propagation in Optical Fibers | Electromagnetics - Electronics and Communication Engineering (ECE)

,

Sample Paper

,

Important questions

,

practice quizzes

,

shortcuts and tricks

,

Free

,

Summary

,

Semester Notes

,

ppt

,

pdf

,

Objective type Questions

,

Light Propagation in Optical Fibers | Electromagnetics - Electronics and Communication Engineering (ECE)

,

Light Propagation in Optical Fibers | Electromagnetics - Electronics and Communication Engineering (ECE)

,

study material

,

MCQs

,

past year papers

,

Exam

,

Viva Questions

,

Previous Year Questions with Solutions

,

Extra Questions

,

mock tests for examination

;