Low & High Cycle Fatigue | Design of Machine Elements - Mechanical Engineering PDF Download

Low cycle fatigue 

This is mainly applicable for short-lived devices where very large overloads may occur at low cycles. Typical examples include the elements of control systems in mechanical devices. A fatigue failure mostly begins at a local discontinuity and when the stress at the discontinuity exceeds elastic limit there is plastic strain. The cyclic plastic strain is responsible for crack propagation and fracture. Experiments have been carried out with reversed loading and the true stressstrain hysteresis loops are shown in figure-3.4.1.1. Due to cyclic strain the elastic limit increases for annealed steel and decreases for cold drawn steel. Low cycle fatigue is investigated in terms of cyclic strain. For this purpose we consider a typical plot of strain amplitude versus number of stress reversals to fail for steel as shown in figure-3.4.1.2.

Low & High Cycle Fatigue | Design of Machine Elements - Mechanical Engineering

3.4.1.1F- A typical stress-strain plot with a number of stress reversals .

Here the stress range is Δσ. Δεp and Δεe are the plastic and elastic strain ranges, the total strain range being Δε. Considering that the total strain amplitude can be given as

Δε =  Δε + Δε 

A relationship between strain and a number of stress reversals can be given as

Low & High Cycle Fatigue | Design of Machine Elements - Mechanical Engineering

where σf and εf are the true stress and strain corresponding to fracture in one cycle and a, b are systems constants. The equations have been simplified as follows:

Low & High Cycle Fatigue | Design of Machine Elements - Mechanical Engineering

In this form the equation can be readily used since σu, εand E can be measured in a typical tensile test. However, in the presence of notches and cracks determination of total strain is difficult.

Low & High Cycle Fatigue | Design of Machine Elements - Mechanical Engineering
3.4.1.2F- Plots of strain amplitude vs number of stress reversals for failure.

 

High cycle fatigue with finite life 

This applies to most commonly used machine parts and this can be analyzed by idealizing the S-N curve for, say, steel, as shown in figure- 3.4.2.1 .
The line between 103 and 106 cycles is taken to represent high cycle fatigue with finite life and this can be given by

logS =  blogN +c

where S is the reversed stress and b and c are constants.

At point A log (0.8σu) =  blog103  + c where σu is the ultimate tensile stress

and at point Blog σc = blog106 + c where σe is the endurance limit.

This gives

Low & High Cycle Fatigue | Design of Machine Elements - Mechanical Engineering

Low & High Cycle Fatigue | Design of Machine Elements - Mechanical Engineering
3.4.2.1F- A schematic plot of reversed stress against number of cycles to fail.

 

Fatigue strength formulations 

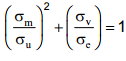
Fatigue strength experiments have been carried out over a wide range of stress variations in both tension and compression and a typical plot is shown in figure3.4.3.1. Based on these results mainly, Gerber proposed a parabolic correlation and this is given by

 

Low & High Cycle Fatigue | Design of Machine Elements - Mechanical Engineering Gerber line

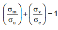
Goodman approximated a linear variation and this is given by

Low & High Cycle Fatigue | Design of Machine Elements - Mechanical Engineering Goodman line

 

Soderberg proposed a linear variation based on tensile yield strength σY and this is given by

Low & High Cycle Fatigue | Design of Machine Elements - Mechanical Engineering 

Here, σand σv represent the mean and fluctuating components respectively.

 

Low & High Cycle Fatigue | Design of Machine Elements - Mechanical Engineering

The document Low & High Cycle Fatigue | Design of Machine Elements - Mechanical Engineering is a part of the Mechanical Engineering Course Design of Machine Elements.
All you need of Mechanical Engineering at this link: Mechanical Engineering
51 videos|102 docs|77 tests

FAQs on Low & High Cycle Fatigue - Design of Machine Elements - Mechanical Engineering

1. What is low cycle fatigue in mechanical engineering?
Ans. Low cycle fatigue refers to the failure of a material or component under cyclic loading where the number of cycles to failure is relatively low. It typically occurs due to high-stress levels and can result in crack initiation and propagation, leading to catastrophic failure.
2. What is high cycle fatigue in mechanical engineering?
Ans. High cycle fatigue is the failure of a material or component under cyclic loading where the number of cycles to failure is relatively high. It occurs at lower stress levels compared to low cycle fatigue and is characterized by crack initiation and propagation, ultimately leading to failure.
3. What are the main differences between low cycle fatigue and high cycle fatigue?
Ans. The main differences between low cycle fatigue and high cycle fatigue are: - Low cycle fatigue occurs at high-stress levels and involves a relatively low number of cycles to failure, while high cycle fatigue occurs at lower stress levels and involves a relatively high number of cycles to failure. - Low cycle fatigue is typically associated with plastic deformation and crack initiation, whereas high cycle fatigue is usually associated with crack growth leading to failure. - The mechanisms of failure in low cycle fatigue involve dislocation movement and interaction, while high cycle fatigue is influenced by mechanisms such as surface roughness, microstructural changes, and environmental factors.
4. How is fatigue life predicted in mechanical engineering?
Ans. Fatigue life prediction in mechanical engineering involves various methods, such as: - Stress-life approach: This method uses stress analysis and S-N curves to predict the number of cycles to failure based on stress levels. - Strain-life approach: This method considers the strain response of a material and relates it to fatigue life using strain-life curves. - Linear elastic fracture mechanics (LEFM): LEFM predicts fatigue life by analyzing crack propagation using concepts like stress intensity factor and fracture toughness. - Finite element analysis (FEA): FEA simulates the loading conditions and material behavior to predict fatigue life based on stress and strain distributions.
5. How can low and high cycle fatigue be mitigated in mechanical engineering applications?
Ans. Low and high cycle fatigue can be mitigated through various strategies, including: - Proper design: Using appropriate safety factors, avoiding stress concentration points, and optimizing component geometry to minimize stress levels can help reduce fatigue failure risks. - Material selection: Choosing materials with high fatigue strength and resistance to crack initiation and propagation can enhance fatigue life. - Surface treatments: Techniques such as shot peening, surface coatings, and case hardening can improve the fatigue resistance of materials. - Maintenance and inspection: Regular inspection and maintenance can identify potential fatigue-related issues, allowing for timely repairs or component replacements. - Finite element analysis: Conducting FEA can help optimize designs, identify critical areas prone to fatigue failure, and assess the impact of different loading conditions on fatigue life.
Related Searches

Free

,

Sample Paper

,

Low & High Cycle Fatigue | Design of Machine Elements - Mechanical Engineering

,

video lectures

,

Summary

,

past year papers

,

Exam

,

Low & High Cycle Fatigue | Design of Machine Elements - Mechanical Engineering

,

practice quizzes

,

Extra Questions

,

Semester Notes

,

Viva Questions

,

ppt

,

Previous Year Questions with Solutions

,

Objective type Questions

,

shortcuts and tricks

,

pdf

,

MCQs

,

Important questions

,

Low & High Cycle Fatigue | Design of Machine Elements - Mechanical Engineering

,

study material

,

mock tests for examination

;