Class 8 Exam  >  Class 8 Notes  >  Mathematics Class 8- New NCERT (Ganita Prakash)  >  MCQ (with Solutions): Quadrilaterals

MCQ (with Solutions): Quadrilaterals | Mathematics Class 8- New NCERT (Ganita Prakash) PDF Download

Q1. Which of the following quadrilaterals has two pairs of adjacent sides equal and diagonals intersecting at right angles?
(i) square
(ii) rhombus
(iii) kite
(iv) rectangle.

Q2.
Which of the following quadrilaterals has a pair of opposite sides parallel? 
(i) rhombus
(ii) trapezium
(iii) kite
(iv) rectangle.

Q3. Which of the following quadrilaterals is a regular quadrilateral?  
(i)  rectangle
(ii) square
(iii) rhombus
(iv) kite.

Q4. Which of the quadrilaterals has all angles as right angles, opposite sides equal and diagonals bisect each other?
(i) rectangle
(ii) rhombus
(iii) square
(iv) none of these.

Q5. Which of the parallelograms has all sides equal and diagonals bisect each other at a right angle?
(i) square
(ii) rectangle 
(iii) rhombus
(iv) trapezium.

Q6. In an isosceles parallelogram, we have:
(i) pair of parallel sides as equal
(ii) pair of non-parallel sides as equal
(iii) pair of non-parallel sides as perpendicular
(iv) none of these.

Q7. Which of the following is true the adjacent angles of a parallelogram?
(i) they are equal to each other
(ii) they are complementary angles
(iii) they are supplementary angles
(iv) none of these.

Q8. The sides of a pentagon are produced in order. Which of the following is the sum of its exterior angles?
(i) 540°
(ii) 180° 
(iii) 720°
(iv) 360°

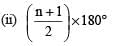
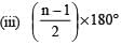
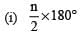
Q9. 
Which of the following is a formula to find the sum of interior angles of a quadrilaters of n-sides?
MCQ (with Solutions): Quadrilaterals | Mathematics Class 8- New NCERT (Ganita Prakash)

MCQ (with Solutions): Quadrilaterals | Mathematics Class 8- New NCERT (Ganita Prakash)

MCQ (with Solutions): Quadrilaterals | Mathematics Class 8- New NCERT (Ganita Prakash)

(iv) (n – 2) × 180°

Q10. Diagonals of which of the following quadrilaterals do not bisect it into two congruent triangles?
(i) rhombus
(ii) trapezium
(iii) square
(iv) rectangle.

Answers

1. (iii)
2. (ii)
3. (ii)
4. (i)
5. (iii)
6. (ii)
7. (iii)

MCQ (with Solutions): Quadrilaterals | Mathematics Class 8- New NCERT (Ganita Prakash)Supplementary angles 

8. (iv)
9. (iv)
10. (ii)

The document MCQ (with Solutions): Quadrilaterals | Mathematics Class 8- New NCERT (Ganita Prakash) is a part of the Class 8 Course Mathematics Class 8- New NCERT (Ganita Prakash).
All you need of Class 8 at this link: Class 8
26 videos|177 docs|11 tests

FAQs on MCQ (with Solutions): Quadrilaterals - Mathematics Class 8- New NCERT (Ganita Prakash)

1. What are the properties of a quadrilateral?
Ans. A quadrilateral is a polygon with four sides, four vertices, and four angles. The sum of the internal angles in a quadrilateral is always 360 degrees. Quadrilaterals can be classified into different types such as squares, rectangles, trapezoids, and rhombuses, each having unique properties. For example, a rectangle has opposite sides equal and all angles equal to 90 degrees, while a rhombus has all sides equal and opposite angles equal.
2. How can we classify quadrilaterals based on their sides and angles?
Ans. Quadrilaterals can be classified based on their sides and angles into several categories: 1. Parallelograms: Opposite sides are equal and parallel. 2. Rectangles: All angles are right angles, and opposite sides are equal. 3. Rhombuses: All sides are equal, and opposite angles are equal. 4. Squares: All sides and angles are equal. 5. Trapezoids: At least one pair of opposite sides is parallel. 6. Kite: Two pairs of adjacent sides are equal.
3. What is the formula to find the area of a quadrilateral?
Ans. The area of a quadrilateral can be calculated using various methods depending on its type. For a rectangle, the area is calculated as length × width. For a trapezoid, the area can be calculated using the formula: Area = (1/2) × (base₁ + base₂) × height. For irregular quadrilaterals, the area can be found by dividing it into triangles or using the shoelace formula.
4. What is the difference between convex and concave quadrilaterals?
Ans. Convex quadrilaterals have all interior angles less than 180 degrees, and the diagonals lie inside the shape. In contrast, concave quadrilaterals have one or more interior angles greater than 180 degrees, causing at least one diagonal to lie outside the shape. This distinction is important in geometry as it affects the properties and classifications of quadrilaterals.
5. How do you calculate the perimeter of a quadrilateral?
Ans. The perimeter of a quadrilateral is calculated by adding the lengths of all four sides. The formula can be expressed as: Perimeter = side₁ + side₂ + side₃ + side₄. If the lengths of the sides are known, simply sum them up to find the total perimeter of the quadrilateral.
Related Searches

study material

,

Important questions

,

Previous Year Questions with Solutions

,

Summary

,

MCQs

,

mock tests for examination

,

Free

,

Exam

,

Sample Paper

,

video lectures

,

Extra Questions

,

pdf

,

past year papers

,

Viva Questions

,

ppt

,

shortcuts and tricks

,

MCQ (with Solutions): Quadrilaterals | Mathematics Class 8- New NCERT (Ganita Prakash)

,

MCQ (with Solutions): Quadrilaterals | Mathematics Class 8- New NCERT (Ganita Prakash)

,

Semester Notes

,

practice quizzes

,

Objective type Questions

,

MCQ (with Solutions): Quadrilaterals | Mathematics Class 8- New NCERT (Ganita Prakash)

;