Civil Engineering (CE) Exam  >  Civil Engineering (CE) Notes  >  Material Parameters

Material Parameters - Civil Engineering (CE) PDF Download

Material parameters 
In this section, we define the various material parameters and relate them to the Lam`e constants. We do this by defining the stress that is applied on the body in the shape of a cuboid. Since, the body is assumed to obey Hooke’s law, the state of strain gets fixed once the state of stress is specified because of the relation (6.74). Consequently, these parameters can be defined by prescribing the state of strain in the body as well.

Young’s modulus and Poisson’s ratio 
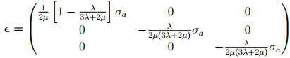
Consider a cuboid being subjected to a uniform normal traction on two of its faces as shown in figure 6.3. Assuming the stress field is uniform, that is spatially constant, the Cartesian components of the stress at any point in the body is,

Material Parameters - Civil Engineering (CE)                                  (6.76)

Substituting the above in equation (6.74) for the stress we obtain the strain as

Material Parameters - Civil Engineering (CE)               (6.77)

Now, Young’s modulus, E, is defined as the ratio of the uniaxial stress to the component of the linearized strain along the direction of the applied uniaxial stress, i.e.,
Material Parameters - Civil Engineering (CE)                               (6.78)

The Poisson’s ratio , ν is defined as the negative of the ratio of the component of the strain along a direction perpendicular to the axis of loading, called the transverse strain to the component of the strain along the axis of loading, called the axial strain, i.e.,

Material Parameters - Civil Engineering (CE)                                                               (6.79)

In equations (6.78) and (6.79) we expressed the Young’s Modulus and Poisson’s ratio in terms of the Lam`e constants. This relation can be inverted to express Lam`e constants in terms of E and ν as,
Material Parameters - Civil Engineering (CE)                              (6.80)

Finally, substituting equation (6.80) in equation (6.73) and (6.74), the constitutive relations can be written in terms of the Young’s modulus and Poisson’s ratio as,

Material Parameters - Civil Engineering (CE)


Shear Modulus 
Consider a cuboid being subjected to uniform pure shear stress of the form

Material Parameters - Civil Engineering (CE)                                                                   (6.83)

Substituting the above state of stress in (6.74), the state of strain is obtained as,
Material Parameters - Civil Engineering (CE)                                                          (6.84)

In chapter 3, section 3.10.3, we showed that if the angle change between two line segments oriented along X and Y direction is κ, then this simple shearing deformation results in,

Material Parameters - Civil Engineering (CE)                                                             (6.85)

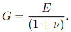
Then, the shear modulus, G is defined as the ratio of the shear stress (τ ) to change in angle (κ) due to this applied shear stress between two orthogonal line elements in the plane of shear i.e.,

Material Parameters - Civil Engineering (CE)                                                                            (6.86)

Using equation (6.80b), the shear modulus can be written in terms of the Young’s modulus and Poisson’s ratio as,
Material Parameters - Civil Engineering (CE)                                                                         (6.87)


Bulk Modulus 
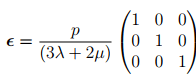
Consider a cuboid being subjected to uniform pure hydrostatic stress,
Material Parameters - Civil Engineering (CE)                                                              (6.88)

Using (6.74) it could be seen that the above state of stress result in the strain tensor being,
Material Parameters - Civil Engineering (CE)                                              (6.89)

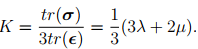
The bulk modulus, K, is defined as the ratio of the mean hydrostatic stress to the volumetric strain when the body is subjected to pure hydrostatic stress. Thus,

Material Parameters - Civil Engineering (CE)                                            (6.90)

Now, we would like to express the bulk modulus in terms of Young’s modulus and Poisson’s ratio. Towards this, we substitute equation (6.80) in (6.90) to obtain

Material Parameters - Civil Engineering (CE)                                                                 (6.91)

The document Material Parameters - Civil Engineering (CE) is a part of Civil Engineering (CE) category.
All you need of Civil Engineering (CE) at this link: Civil Engineering (CE)

FAQs on Material Parameters - Civil Engineering (CE)

1. What are material parameters?
Ans. Material parameters are the physical properties or characteristics of a material that describe its behavior under different conditions. These parameters include factors such as density, elasticity, thermal conductivity, electrical conductivity, and more.
2. How are material parameters determined?
Ans. Material parameters are typically determined through experiments and tests. Different testing methods are used to measure specific properties of the material, such as tensile strength for elasticity or thermal conductivity for heat transfer. These experimental results are then used to calculate or define the material parameters.
3. Why are material parameters important in engineering?
Ans. Material parameters play a crucial role in engineering as they help engineers understand and predict the behavior of materials in various applications. By knowing the material parameters, engineers can design structures or components that can withstand specific loads, temperatures, or other environmental conditions.
4. Can material parameters change with temperature?
Ans. Yes, material parameters can change with temperature. Many materials exhibit temperature-dependent behavior, meaning their properties can vary as the temperature changes. For example, the thermal expansion coefficient and thermal conductivity of a material can change significantly with temperature.
5. How can material parameters affect the performance of a product?
Ans. Material parameters directly impact the performance of a product. For instance, if a material has low tensile strength, it may not be suitable for structural applications where high loads are expected. Similarly, the thermal conductivity of a material can affect its ability to dissipate heat, making it important for thermal management in electronic devices. By selecting materials with appropriate parameters, engineers can optimize the performance and reliability of their products.
Download as PDF

Top Courses for Civil Engineering (CE)

Related Searches

MCQs

,

ppt

,

Material Parameters - Civil Engineering (CE)

,

Objective type Questions

,

pdf

,

video lectures

,

Free

,

Material Parameters - Civil Engineering (CE)

,

Summary

,

Viva Questions

,

practice quizzes

,

Exam

,

shortcuts and tricks

,

Important questions

,

Previous Year Questions with Solutions

,

Sample Paper

,

past year papers

,

study material

,

Material Parameters - Civil Engineering (CE)

,

Semester Notes

,

mock tests for examination

,

Extra Questions

;