JEE Exam  >  JEE Notes  >  Mathematics (Maths) Class 12  >  Mathematics: CBSE Sample Question Paper (2020-21)- 3

Mathematics: CBSE Sample Question Paper (2020-21)- 3 | Mathematics (Maths) Class 12 - JEE PDF Download

Class - XII
Math
TIME: 3 Hrs.
M.M: 80

General Instructions:
1. This question paper contains two parts A and B. Each part is compulsory. Part A carries 24 marks and Part B carries 56 marks.
2. Part-A has Objective Type Questions and Part-B has Descriptive Type Questions.
3. Both Part A and Part B have choices.

Part – A :
1. It consists of two sections- I and II.
2. Section I  comprises of 16 very short answer type questions.
3. Section II contains 2 case studies. Each case study comprises of 5 case-based MCQs. An examinee is to attempt any 4 out of 5 MCQs.

Part – B :
1. It consists of three sections-III, IV and V.
2. Section III comprises of 10 questions of 2 marks each.
3. Section IV comprises of 7 questions of 3 marks each.
4. Section V comprises of 3 questions of 5 marks each.
5. Internal choice is provided in 3 questions of Section –III, 2 questions of Section -IV and 3 questions of Section-V. You have to attempt only one of the alternatives in all such questions.

PART - A

Section - A

Question numbers 1 to 16 are very short answer type questions.
Q.1. What is the principal value branch of cosec–1x ?
Ans. As we know that the principal value of cosec–1x is Mathematics: CBSE Sample Question Paper (2020-21)- 3 | Mathematics (Maths) Class 12 - JEE
y = cosec–1x

Q.2. If the set A contains 5 elements and the set B contains 6 elements, then find the number of one-one and onto mappings from A to B.
Ans. We know that, if A and B are two non-empty finite sets containing m and n elements, respectively, then the number of one-one and onto mapping from A to B is
n! if m = n
0, if m ≠ n
Given that, m = 5 and n = 6
∴ m ≠ n
Number of one-one and onto mapping = 0

Q.3. If f(x) 2x and g(x) = x2/2 + 1 and are continuous function then what can be a discontinuous function?
Ans. 
Since f(x) = 2x and g(x) = x2/2 + 1 are continuous functions, then by using the algebra of continuous functions , the functions f(x) + g(x), f(x) – g(x), f(x).g(x) are also continuous functions but g(x)/f(x) is discontinuous function at x = 0.

Q.4. For what value of x, y = x(x – 3)2 decreases ?
Ans.

Given that,
y = x(x - 3)2
∴ dy/dx = x.2(x - 3).1 + (x - 3)2.1
= 2x2 - 6x + x2 + 9 - 6x
= 3x2 - 12x + 9
= 3(x2 - 3x - x + 3)
= 3(x - 3) (x - 1)

So, y  = x(x – 3)2 decreases for (1, 3).
[Since, y’ < 0 for all x ∈ (1, 3), hence y is decreasing on (1, 3)].

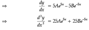
Q.5. If y = Ae5x + Be–5x, then find d2y/dx2.
Ans. y = Ae5x + Be–5x
Mathematics: CBSE Sample Question Paper (2020-21)- 3 | Mathematics (Maths) Class 12 - JEE
= 25y

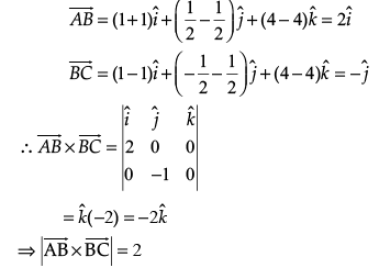
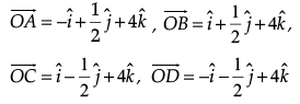
Q.6. Find the area of a rectangle having vertices A, B, C and D with position vectors Mathematics: CBSE Sample Question Paper (2020-21)- 3 | Mathematics (Maths) Class 12 - JEEMathematics: CBSE Sample Question Paper (2020-21)- 3 | Mathematics (Maths) Class 12 - JEE respectively ?
Ans. The position vectors of vertices A, B, C and D of rectangle ABCD are given as :
Mathematics: CBSE Sample Question Paper (2020-21)- 3 | Mathematics (Maths) Class 12 - JEE

The adjacent sides Mathematics: CBSE Sample Question Paper (2020-21)- 3 | Mathematics (Maths) Class 12 - JEE and Mathematics: CBSE Sample Question Paper (2020-21)- 3 | Mathematics (Maths) Class 12 - JEEof the given rectangle are given as :
Mathematics: CBSE Sample Question Paper (2020-21)- 3 | Mathematics (Maths) Class 12 - JEE

Now its, known that the area of parallelogram whose adjacent sides are Mathematics: CBSE Sample Question Paper (2020-21)- 3 | Mathematics (Maths) Class 12 - JEE
So that, the area of the given rectangle is Mathematics: CBSE Sample Question Paper (2020-21)- 3 | Mathematics (Maths) Class 12 - JEE= 2sq. units.
OR
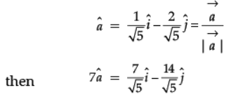
Find a vector in the direction of Mathematics: CBSE Sample Question Paper (2020-21)- 3 | Mathematics (Maths) Class 12 - JEEthat has magnitude 7 units.
Ans. 

Mathematics: CBSE Sample Question Paper (2020-21)- 3 | Mathematics (Maths) Class 12 - JEE

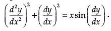
Q.7. Find the degree of the differential equation
Mathematics: CBSE Sample Question Paper (2020-21)- 3 | Mathematics (Maths) Class 12 - JEE
Ans. 
The degree of above differential equation is not defined because when we expand sin dy/dx we get an infinite series in the increasing powers of dy/dx. Therefore its degree is not defined.

Q.8. Find the interval on which the function f(x) = 2x3 + 9x2 + 12x – 1 is decreasing.
Ans. 

Given that,
f(x) = 2x3 + 9x2 + 12x - 1
f'(x) = 6x2 + 18 x + 12
= 6(x2 + 3x + 2)
= 6(x + 2) (x + 1)
So, f'(x) ≤ 0, for decreasing.

On drawing number lines as below :
Mathematics: CBSE Sample Question Paper (2020-21)- 3 | Mathematics (Maths) Class 12 - JEE
We see that f’(x) is decreasing in (−2, −1).

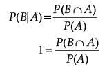
Q.9. If A and B are two events such that P(A) ≠ 0 and P(B|A) = 1, then show that A ⊂ B.
Ans. P(A) ≠ 0 and P(B|A) = 1
Mathematics: CBSE Sample Question Paper (2020-21)- 3 | Mathematics (Maths) Class 12 - JEE

Mathematics: CBSE Sample Question Paper (2020-21)- 3 | Mathematics (Maths) Class 12 - JEE
P(A) = P(B ∩A)
∴ A ⊂ B

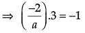
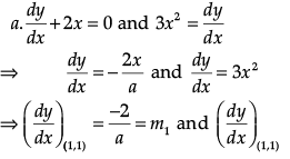
Q.10. If the curve ay + x2 = 7 and x3 = y, cut orthogonally at (1, 1), then what is the value of a?
And. 
Given that, ay + x2 = 7  and x3 = y On differentiating with respect to x in both equations, we get
Mathematics: CBSE Sample Question Paper (2020-21)- 3 | Mathematics (Maths) Class 12 - JEE
Since, the curve cuts orthogonally at (1, 1).
∴ m1m= -1
Mathematics: CBSE Sample Question Paper (2020-21)- 3 | Mathematics (Maths) Class 12 - JEE
∴ a = 6

Q.11. What is the number of points of discontinuity of f defined by f(x) = |x| – |x + 1| ?
Ans. f(x) = |x| – |x + 1|
Mathematics: CBSE Sample Question Paper (2020-21)- 3 | Mathematics (Maths) Class 12 - JEE
Here, at x = 0, –1 f(x) is continuous.

Hence, there is no point of discontinuity.

OR
What is the principal value of cos–1Mathematics: CBSE Sample Question Paper (2020-21)- 3 | Mathematics (Maths) Class 12 - JEE

Ans.
Mathematics: CBSE Sample Question Paper (2020-21)- 3 | Mathematics (Maths) Class 12 - JEE

Q.12. The negative of a matrix is obtained by multiplying it by which number ?
Ans. Let A is a given matrix
∴ – A = – 1[A]
So, the negative of a matrix is obtained by multiplying it by – 1.

Q.13. What is the slope of the tangent to the curve y = x3 – x at the point (2, 6) ?
Ans. 
y = x3 – x
Differentiate w.r.t. x
dy/dx = 3x2 - 1
Slope of the tangent to the curve
y = x– x at point (2, 6) is
Mathematics: CBSE Sample Question Paper (2020-21)- 3 | Mathematics (Maths) Class 12 - JEE= 3(2)2 – 1 = 11
OR
Show that function y = 4x – 9 is increasing for all x ∈ R.
Ans. 
Given, y = 4x – 9
dy/dx = 4 > 0 for all x ∈ R.
Hence, function is increasing for all x ∈ R.

Q.14. What are the values of a for which the function f(x) = sin x – ax + b increases on R ?
Ans. The value of ‘a’ for which the function f(x) = sin x - ax+ b increases on R are (∞, −1).
∵ f'(x) = cos x - aa
and f'(x) > 0
⇒ cos x > a
Since, cos x ∈ [-1, 1]
⇒ a < -1
⇒ a ∈(∞, −1)

Q.15. If a line has direction ratios 2, – 1, – 2 then find its direction cosines?
Ans. 
Since, Mathematics: CBSE Sample Question Paper (2020-21)- 3 | Mathematics (Maths) Class 12 - JEE
∴ Required direction cosines are :
Mathematics: CBSE Sample Question Paper (2020-21)- 3 | Mathematics (Maths) Class 12 - JEE

OR
Find the vector equation of the line through the points (3, 4, –7) and (1, –1, 6).
Ans. We know that, vector equation of a line that passes through two points a and b is represented by Mathematics: CBSE Sample Question Paper (2020-21)- 3 | Mathematics (Maths) Class 12 - JEE
Here, Mathematics: CBSE Sample Question Paper (2020-21)- 3 | Mathematics (Maths) Class 12 - JEEand
Mathematics: CBSE Sample Question Paper (2020-21)- 3 | Mathematics (Maths) Class 12 - JEE

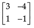
Q.16. For A = Mathematics: CBSE Sample Question Paper (2020-21)- 3 | Mathematics (Maths) Class 12 - JEE write A–1.
Ans.

Mathematics: CBSE Sample Question Paper (2020-21)- 3 | Mathematics (Maths) Class 12 - JEE

OR
Matrix A = Mathematics: CBSE Sample Question Paper (2020-21)- 3 | Mathematics (Maths) Class 12 - JEEis given to be symmetric, find values of a and b.

Ans. As A is a symmetric matrix,

Mathematics: CBSE Sample Question Paper (2020-21)- 3 | Mathematics (Maths) Class 12 - JEE
∴ By equality of matrices, a = −2/3 and b = 3/2.

Section - II

Both the case study based questions are compulsory. Attempt any 4 sub parts from each question 17 and 18. Each question carries 1 mark.
Q.17. There is a bridge whose length of three sides of a trapezium other than base are equal to 10 cm.

Mathematics: CBSE Sample Question Paper (2020-21)- 3 | Mathematics (Maths) Class 12 - JEE
Based on the above information answer the following:

(i) What is the value of DP ?
(a)
 Mathematics: CBSE Sample Question Paper (2020-21)- 3 | Mathematics (Maths) Class 12 - JEE
(b) Mathematics: CBSE Sample Question Paper (2020-21)- 3 | Mathematics (Maths) Class 12 - JEE
(c) 100 – x2
(d) x2 – 100
Ans. a

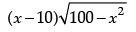
(ii) What is the area of trapezium A(x) ?
(a) Mathematics: CBSE Sample Question Paper (2020-21)- 3 | Mathematics (Maths) Class 12 - JEE
(b) Mathematics: CBSE Sample Question Paper (2020-21)- 3 | Mathematics (Maths) Class 12 - JEE
(c) (x – 10)(100 – x2)
(d) (x + 10)(100 – x2)
Ans. b

(iii) If A'(x) = 0, then what are the values of x ?
(a)
5, –10
(b) –5, 10
(c) –5, –10
(d) 5, 10
Ans. a

(iv) What is the value of A"(5) ?
(a) Mathematics: CBSE Sample Question Paper (2020-21)- 3 | Mathematics (Maths) Class 12 - JEE
(b)Mathematics: CBSE Sample Question Paper (2020-21)- 3 | Mathematics (Maths) Class 12 - JEE
(c) Mathematics: CBSE Sample Question Paper (2020-21)- 3 | Mathematics (Maths) Class 12 - JEE
(d) Mathematics: CBSE Sample Question Paper (2020-21)- 3 | Mathematics (Maths) Class 12 - JEE
Ans. c
(v) What is the value of maximum area ?
(a) 
75√2 cm2
(b) 75√3 cm2
(c) 75√5 cm2
(d) 75√7 cm2
Ans. b

Q.18. A tank with rectangular base and rectangular sides, open at the top is to be constructed so that its depth is 2 m and volume is 8 m3. If building of tank Rs 70 per square metre for the base and Rs 45 per square metre for the sides ?
Mathematics: CBSE Sample Question Paper (2020-21)- 3 | Mathematics (Maths) Class 12 - JEE
Based on the above information answer the following questions:

(i) What is the cost of base ?
(a) 
70 xy
(b) 80 xy
(c) 45 xy
(d) 90 xy
Ans. a

(ii) What is the cost of making all sides ?
(a) 
190(x + y)
(b) 200(x + y)
(c) 180(x + y)
(d) 170(x + y)
Ans. c

(iii) If 'C' be the total cost of tank, then dC/dx is :
(a) 
180(1 – 4x–1)
(b) 180(1 – 4x–2)
(c) 180(1 – 4x–3)
(d) 180(1 – 4x–4)
Ans. b

(iv) For what value of x, C is minimum ?
(a) 
1
(b) 2
(c) 3
(d) 4
Ans. b

(v) What is the least cost of construction ?
(a) Rs 
1000
(b) Rs 2000
(c) Rs 3000
(d) Rs 4000
Ans. a

PART - B

Section - III

Question numbers 19 to 28 carry 2 marks each.
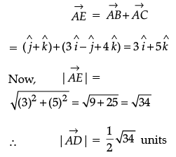
Q.19. The two vectors Mathematics: CBSE Sample Question Paper (2020-21)- 3 | Mathematics (Maths) Class 12 - JEErepresent the two sides AB and AC, respectively of DABC. Find the length of the median through A.
Ans. 

Mathematics: CBSE Sample Question Paper (2020-21)- 3 | Mathematics (Maths) Class 12 - JEE
Mathematics: CBSE Sample Question Paper (2020-21)- 3 | Mathematics (Maths) Class 12 - JEE
Now ABEC represent a parallelogram with AE as the diagonal.
Mathematics: CBSE Sample Question Paper (2020-21)- 3 | Mathematics (Maths) Class 12 - JEE

Q.20. Find the shortest distance between the lines
Mathematics: CBSE Sample Question Paper (2020-21)- 3 | Mathematics (Maths) Class 12 - JEE

Ans.
Mathematics: CBSE Sample Question Paper (2020-21)- 3 | Mathematics (Maths) Class 12 - JEE
Mathematics: CBSE Sample Question Paper (2020-21)- 3 | Mathematics (Maths) Class 12 - JEE

Q.21. Check if the relation R in the set R of real numbers defined as R = {(a, b): a < b} is (i) symmetric, (ii) transitive.
Ans. (i) It is not symmetric because if a < b then b < a is not true.
(ii) Here, if a < b and b < c then a < c is also true for all a, b, c ∈ Real numbers. Therefore R is transitive.

OR
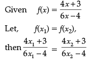
Show that the function f in A = R – Mathematics: CBSE Sample Question Paper (2020-21)- 3 | Mathematics (Maths) Class 12 - JEE defined as f(x) = Mathematics: CBSE Sample Question Paper (2020-21)- 3 | Mathematics (Maths) Class 12 - JEE is one-one.
Ans. 
Mathematics: CBSE Sample Question Paper (2020-21)- 3 | Mathematics (Maths) Class 12 - JEE
or (4x1 + 3)(6x2 – 4)= (6x1 – 4)(4x2 + 3)
or 24x1x2 – 16x1 + 18x2 – 12= 24x1x2 + 18x1 – 16x2 – 12
or – 16x1 + 18x2 = 18x1 – 16x2
or –16x1 – 18x1 = – 18x2 – 16x2
or –34x1 = – 34x2
or x1 = x2
or f is one-one.

Q.22. Find a matrix A such that 2A – 3B + 5C = 0, where B = Mathematics: CBSE Sample Question Paper (2020-21)- 3 | Mathematics (Maths) Class 12 - JEE
Ans.

Mathematics: CBSE Sample Question Paper (2020-21)- 3 | Mathematics (Maths) Class 12 - JEE

Q.23. Find Mathematics: CBSE Sample Question Paper (2020-21)- 3 | Mathematics (Maths) Class 12 - JEEAns.
Mathematics: CBSE Sample Question Paper (2020-21)- 3 | Mathematics (Maths) Class 12 - JEE
Mathematics: CBSE Sample Question Paper (2020-21)- 3 | Mathematics (Maths) Class 12 - JEE

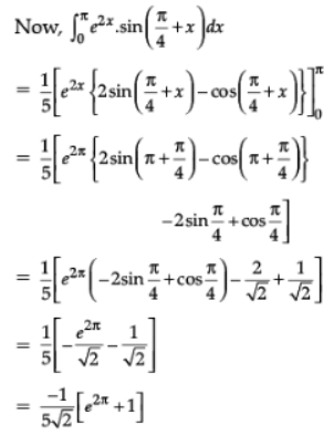
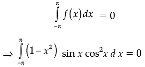
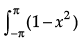
Q.24. Evaluate Mathematics: CBSE Sample Question Paper (2020-21)- 3 | Mathematics (Maths) Class 12 - JEEsinx.cos2 x.dx
Ans.
Let Mathematics: CBSE Sample Question Paper (2020-21)- 3 | Mathematics (Maths) Class 12 - JEEsinx.cos2 x.dx

Let f(x) = 1 - x2). sin x cos2 x
as f(-x) = - f(x) ⇒ f is odd function.
∴ l = 0
Detailed Solution :

Let f(x) = (1 – x2) sin x cos2 x
Then f(–x) = [1 – (–x)2] sin (–x) [cos (–x)]2
= (1 – x2) (–sin x) cos2 x
= –(1 – x2) sin x cos2 x
= –f(x)
So, f(x) is an odd function,
Mathematics: CBSE Sample Question Paper (2020-21)- 3 | Mathematics (Maths) Class 12 - JEE

Q.25. Let li, mi, ni i = 1, 2, 3 be the direction cosines of three mutually perpendicular vector in space. Show that AA’ = I3, where A = Mathematics: CBSE Sample Question Paper (2020-21)- 3 | Mathematics (Maths) Class 12 - JEE.
Ans.

Mathematics: CBSE Sample Question Paper (2020-21)- 3 | Mathematics (Maths) Class 12 - JEE
because
Mathematics: CBSE Sample Question Paper (2020-21)- 3 | Mathematics (Maths) Class 12 - JEE

Q.26. If A and B are two independent events, prove that A’ and B are also independent.
Ans.
P(A’ ∩ B) = P(B) – P(A ∩ B)
= P(B) – P(A) . P(B)
(∵ A and B are independent events)
= (1 - P(A)) P(B)
= P(A’) P(B) 1
Since, P(A’ ∩ B) = P(A’) P(B)
Therefore A’ and B are independent events.

Q.27. Show that the relation R in the set N × N defined by (a, b) R (c, d) if a2 + d2 = b2 + c2 ∀ a, b, c, d ∈ N, is an equivalence relation.
Ans.
Let (a, b) ∈ N × N
then,
∵ a2 + b2 = a2 + b2
∴ (a, b) R (a, b)
Hence R is  reflexive.
Let (a, b), (c, d) ∈ N × N be such that
(a, b) R (c, d)
⇒ a2 + d2 = b2 + c2 
⇒ c2 + b2 = d2 + a2
⇒ (c, d) R (a, b)
Hence, R is  symmetric.
Let (a, b), (c, d), (e, f) ∈ N × N be such that (a, b) R (c, d), (c, d) R (e, f).

⇒ a2 + d2 = b2 + c2 ...(i)
and c2 + f2 = d+ e2 ...(ii)
Adding eqn. (i) and (ii),
⇒ a2 + d2 + c2 + f2 = b2 + c+ d2 + e2
⇒ a2 + f2 = b2 + e2
⇒ (a, b) R (e, f)
Hence, R is transitive.
Since, R is reflexive, symmetric and transitive. Therefore, R is an equivalence relation.

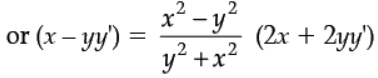
Q.28. Prove that x2 – y2 = C(x2 + y2)2 is the general solution of the differential equation (x2 – 3xy2) dx = (y3 – 3x2y) dy, where C is a parameter.
Ans. 
x2 – y2 = C(x2 + y2)2
or 2x – 2yy' = 2C(x2 + y2)(2x+2yy')
Mathematics: CBSE Sample Question Paper (2020-21)- 3 | Mathematics (Maths) Class 12 - JEE
or (y2 + x2)(x – yy')= (x2 – y2)(2x + 2yy')
or  [–2y(x2 – y2) – y(y2 + x2)] dy/dx
= 2x(x2 – y2) – x(y2 + x2)
or (y3 – 3x2y) dy/dx  = (x3 – 3xy2)
or (y3 – 3x2y) dy = (x3 – 3xy2) dx
Hence x2 –  y2 = C (x2 + y2)2 is the solution of given differential equation.

OR
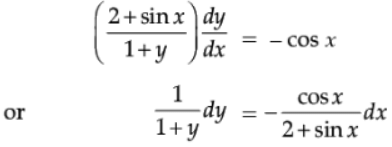
If y(x) is a solution of the differential equation Mathematics: CBSE Sample Question Paper (2020-21)- 3 | Mathematics (Maths) Class 12 - JEE= – cos x and y (0) = 1, then find the value of y(π/2)
Ans.
 

Mathematics: CBSE Sample Question Paper (2020-21)- 3 | Mathematics (Maths) Class 12 - JEE
Integrating, we get
log |1 + y| = – log |2 + sin x| + log C
or (1 + y)(2 + sin x) = C,
Putting y (0) = 1, we get C = 4
∴ (1 + y)(2 + sin x) = 4
Or
Mathematics: CBSE Sample Question Paper (2020-21)- 3 | Mathematics (Maths) Class 12 - JEE
Mathematics: CBSE Sample Question Paper (2020-21)- 3 | Mathematics (Maths) Class 12 - JEE

Section - IV

Question Numbers 29 to 35 carry 3 marks each.
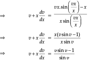
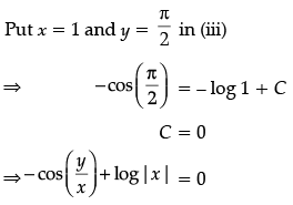
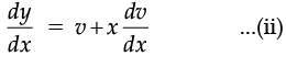
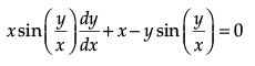
Q.29. Solve the differential equation:
Mathematics: CBSE Sample Question Paper (2020-21)- 3 | Mathematics (Maths) Class 12 - JEE
Given that x = 1 when y = π/2

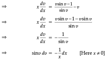
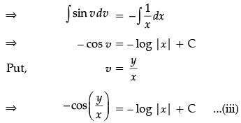
Ans. We have,
Mathematics: CBSE Sample Question Paper (2020-21)- 3 | Mathematics (Maths) Class 12 - JEE
Above differential equation is a homogeneous equation
Put y = vx
Then,
Mathematics: CBSE Sample Question Paper (2020-21)- 3 | Mathematics (Maths) Class 12 - JEE
From (i) and (ii)
Mathematics: CBSE Sample Question Paper (2020-21)- 3 | Mathematics (Maths) Class 12 - JEE
Mathematics: CBSE Sample Question Paper (2020-21)- 3 | Mathematics (Maths) Class 12 - JEE
Now, integrating both sides
Mathematics: CBSE Sample Question Paper (2020-21)- 3 | Mathematics (Maths) Class 12 - JEE
Also, given that x = 1, when y = π/2
Mathematics: CBSE Sample Question Paper (2020-21)- 3 | Mathematics (Maths) Class 12 - JEE
Therefore log |x| = Mathematics: CBSE Sample Question Paper (2020-21)- 3 | Mathematics (Maths) Class 12 - JEEis the required solution. 

OR
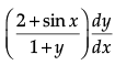
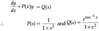
Solve the differential equation:
Mathematics: CBSE Sample Question Paper (2020-21)- 3 | Mathematics (Maths) Class 12 - JEE
Ans.

Mathematics: CBSE Sample Question Paper (2020-21)- 3 | Mathematics (Maths) Class 12 - JEE
Compare equation with
Mathematics: CBSE Sample Question Paper (2020-21)- 3 | Mathematics (Maths) Class 12 - JEE
Integrating factor (I.F.)
Mathematics: CBSE Sample Question Paper (2020-21)- 3 | Mathematics (Maths) Class 12 - JEE
Solution of equation is:
Mathematics: CBSE Sample Question Paper (2020-21)- 3 | Mathematics (Maths) Class 12 - JEE
Mathematics: CBSE Sample Question Paper (2020-21)- 3 | Mathematics (Maths) Class 12 - JEE
Substitute in eqn. (i), we get
Mathematics: CBSE Sample Question Paper (2020-21)- 3 | Mathematics (Maths) Class 12 - JEE
Mathematics: CBSE Sample Question Paper (2020-21)- 3 | Mathematics (Maths) Class 12 - JEE

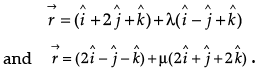
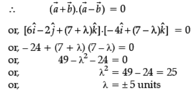
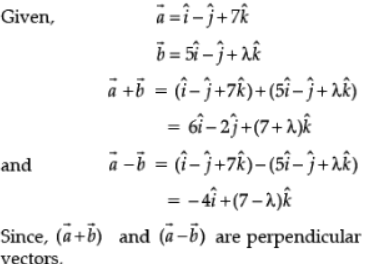
Q.30. If Mathematics: CBSE Sample Question Paper (2020-21)- 3 | Mathematics (Maths) Class 12 - JEEthen find the value of λ so that Mathematics: CBSE Sample Question Paper (2020-21)- 3 | Mathematics (Maths) Class 12 - JEEare perpendicular vectors.
Ans.

Mathematics: CBSE Sample Question Paper (2020-21)- 3 | Mathematics (Maths) Class 12 - JEE
Mathematics: CBSE Sample Question Paper (2020-21)- 3 | Mathematics (Maths) Class 12 - JEE

OR
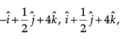
The two adjacent sides of a parallelogram are Mathematics: CBSE Sample Question Paper (2020-21)- 3 | Mathematics (Maths) Class 12 - JEEFind the two unit vectors parallel to its diagonals. Using the diagonal vectors, find the area of the parallelogram.
Ans.

Mathematics: CBSE Sample Question Paper (2020-21)- 3 | Mathematics (Maths) Class 12 - JEE
Mathematics: CBSE Sample Question Paper (2020-21)- 3 | Mathematics (Maths) Class 12 - JEE
Mathematics: CBSE Sample Question Paper (2020-21)- 3 | Mathematics (Maths) Class 12 - JEE
Mathematics: CBSE Sample Question Paper (2020-21)- 3 | Mathematics (Maths) Class 12 - JEE
Mathematics: CBSE Sample Question Paper (2020-21)- 3 | Mathematics (Maths) Class 12 - JEE

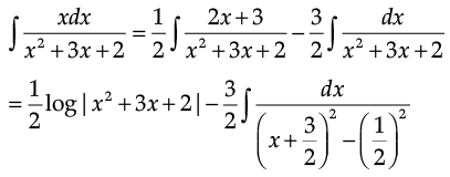
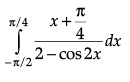
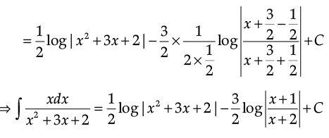
Q.31. Evaluate: Mathematics: CBSE Sample Question Paper (2020-21)- 3 | Mathematics (Maths) Class 12 - JEE
Ans.

Mathematics: CBSE Sample Question Paper (2020-21)- 3 | Mathematics (Maths) Class 12 - JEE
OR
Evaluate:
 Mathematics: CBSE Sample Question Paper (2020-21)- 3 | Mathematics (Maths) Class 12 - JEE
Ans.
Mathematics: CBSE Sample Question Paper (2020-21)- 3 | Mathematics (Maths) Class 12 - JEE
Mathematics: CBSE Sample Question Paper (2020-21)- 3 | Mathematics (Maths) Class 12 - JEE
Mathematics: CBSE Sample Question Paper (2020-21)- 3 | Mathematics (Maths) Class 12 - JEE

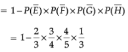
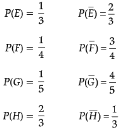
Q.32. A problem in mathematics is given to 4 students A, B, C, D. Their chances of solving the problem, respectively, are 1/3,1/4,1/5. What is the probability that
(i)  the problem will be solved?
(ii) a t most one of them solve the problem?
Ans.
Let
E be the event =  A solves the problem
F be the event = B solves the problem
G be the event = C solves the problem
H be the event = D solves the problem
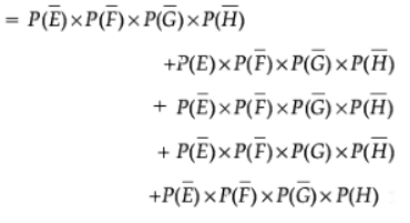
Mathematics: CBSE Sample Question Paper (2020-21)- 3 | Mathematics (Maths) Class 12 - JEE
(i) the probability = P(E ∪ F ∪ G ∪ H)
Mathematics: CBSE Sample Question Paper (2020-21)- 3 | Mathematics (Maths) Class 12 - JEE
= 13/15
(ii) the required probability
Mathematics: CBSE Sample Question Paper (2020-21)- 3 | Mathematics (Maths) Class 12 - JEE
Mathematics: CBSE Sample Question Paper (2020-21)- 3 | Mathematics (Maths) Class 12 - JEE

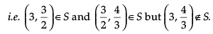
Q.33. Show that the relation S in the set R of real numbers defined as S = {(a, b) : a, b ∈ R and a ≤ b3} is neither reflexive nor symmetric nor transitive.
Ans.
S = {(a, b) : a, b ∈ R and a ≤ b3}.
Reflexive As  Mathematics: CBSE Sample Question Paper (2020-21)- 3 | Mathematics (Maths) Class 12 - JEEwhere  1/2 ∈ R, is not true.
Mathematics: CBSE Sample Question Paper (2020-21)- 3 | Mathematics (Maths) Class 12 - JEE
Thus, S is not reflexive.
Symmetric As -2 ≤ (3)3, where -2, 3 ∈ R, is true but 3 ≤ (-2)3 is not true.
i.e. (-2, 3) ∈ S but (3, -2) ∉ S.
Therefore, S is not symmetric.
Transitive As Mathematics: CBSE Sample Question Paper (2020-21)- 3 | Mathematics (Maths) Class 12 - JEE where Mathematics: CBSE Sample Question Paper (2020-21)- 3 | Mathematics (Maths) Class 12 - JEE is not true.
Mathematics: CBSE Sample Question Paper (2020-21)- 3 | Mathematics (Maths) Class 12 - JEE
Therefore, S is not transitive.
Hence, S is neither reflexive nor symmetric nor transitive.

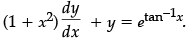
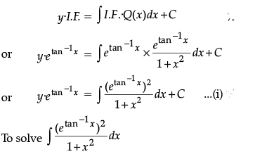
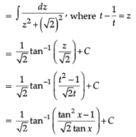
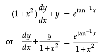
Q.34. Solve the differential equation (tan–1x – y)dx = (1 + x2) dy.
Ans. Given differential equation can be written as
Mathematics: CBSE Sample Question Paper (2020-21)- 3 | Mathematics (Maths) Class 12 - JEE
⇒ yetan−1 x = etan−1 x . (tan–1 x – 1) + c
or y = (tan–1 x–1) + c.e–tan–1x

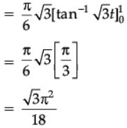
Q.35. Prove that y = Mathematics: CBSE Sample Question Paper (2020-21)- 3 | Mathematics (Maths) Class 12 - JEE is an increasing function of θ onMathematics: CBSE Sample Question Paper (2020-21)- 3 | Mathematics (Maths) Class 12 - JEE
Ans. 
Getting Mathematics: CBSE Sample Question Paper (2020-21)- 3 | Mathematics (Maths) Class 12 - JEE
Equating dy/dθ  to 0 and getting critical point as cos
= 0 i.e., θ = π 2
θ, 0 ≤ θ π/2, dy/dθ ≥ 0,

Hence, y is an increasing function of θ on Mathematics: CBSE Sample Question Paper (2020-21)- 3 | Mathematics (Maths) Class 12 - JEE
Detailed Solution:
Mathematics: CBSE Sample Question Paper (2020-21)- 3 | Mathematics (Maths) Class 12 - JEE
Mathematics: CBSE Sample Question Paper (2020-21)- 3 | Mathematics (Maths) Class 12 - JEE
Mathematics: CBSE Sample Question Paper (2020-21)- 3 | Mathematics (Maths) Class 12 - JEE
(4 – cos θ) is always greater than 0.
Since – 1 ≤ cos θ ≤ 1, (2 + cos θ)2 > 0.

Section - V

Question numbers 36 to 38 carry 5 marks each.
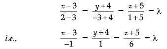
Q.36. Find the foot of perpendicular from P(1, 2, – 3) to the line . Also, find the image of P in the given line
.
Ans. Any point on the given line is (2l – 1, – 2l + 3, – l)i if this point is Q thenMathematics: CBSE Sample Question Paper (2020-21)- 3 | Mathematics (Maths) Class 12 - JEE
Since Mathematics: CBSE Sample Question Paper (2020-21)- 3 | Mathematics (Maths) Class 12 - JEE is perpendicular to the line
2(2λ – 2) – 2(– 2λ + 1) – 1(– λ + 3) = 0
or λ = 1
Mathematics: CBSE Sample Question Paper (2020-21)- 3 | Mathematics (Maths) Class 12 - JEE
∴ Foot of perpendicular is Q(1, 1, – 1)
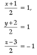
(Let P x, y, z) be the image of P in the line, then
Mathematics: CBSE Sample Question Paper (2020-21)- 3 | Mathematics (Maths) Class 12 - JEE
or x = 1, y = 0, z = 1
or Image P is (1, 0, 1).
OR
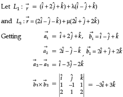
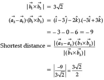
Show that the lines Mathematics: CBSE Sample Question Paper (2020-21)- 3 | Mathematics (Maths) Class 12 - JEEintersect. Also find their point of intersection.
Ans. 
Mathematics: CBSE Sample Question Paper (2020-21)- 3 | Mathematics (Maths) Class 12 - JEE 
General points on the lines are (3u – 1, 5u – 3, 7u – 5) & (v + 2, 3v + 4, 5v + 6)
Lines intersect if
3u – 1 = v + 2,
5u – 3 = 3v + 4,
7u – 5 = 5v + 6 for some u & v
or 3u – v = 3 ...(i)
5u – 3v = 7....(ii)
7u – 5v = 11 ...(iii)
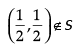
Solving equations (i) and (ii), we get
u= 1/2, v = - 3/2
Putting u & v in equation (iii),
Mathematics: CBSE Sample Question Paper (2020-21)- 3 | Mathematics (Maths) Class 12 - JEE
∴ lines intersect. ½
Putting value of u and v in general points, point of intersection of lines is:
Mathematics: CBSE Sample Question Paper (2020-21)- 3 | Mathematics (Maths) Class 12 - JEE

Q.37. Find the distance of the point P(3, 4, 4) from the point, where the line joining the points A(3, – 4, – 5) and B(2, – 3, 1) intersects the plane 2x + y + z = 7.
Ans. 
The equation of the line passing through A(3, –4, –5) and B(2, –3, 1) is given by
Mathematics: CBSE Sample Question Paper (2020-21)- 3 | Mathematics (Maths) Class 12 - JEE
Then co-ordinates of any random point on the line AB is Q(– λ + 3, λ – 4, 6λ – 5)
Line AB interests the plane 2λ + y + z = 7
Then 2(– λ + 3) + (λ – 4) + (6λ – 5) = 7
⇒ –2λ + 6 + λ – 4 + 6λ – 5 = 7
⇒ 5λ – 3 = 7
⇒ 5λ = 10
⇒ λ = 2
Therefore, co-ordinates of the point of intersection of the given line and the plane are Q(1, – 2, 7)
Now the distance between P(3, 4, 4) and Q(1, –2, 7)
Mathematics: CBSE Sample Question Paper (2020-21)- 3 | Mathematics (Maths) Class 12 - JEE
Mathematics: CBSE Sample Question Paper (2020-21)- 3 | Mathematics (Maths) Class 12 - JEE
∴ PQ = 7 units

OR
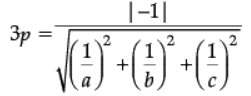
A variable plane which remains at a constant distance 3p from the origin cuts the coordinate axes at A, B, C. Show that the locus of the centroid of triangle ABC is Mathematics: CBSE Sample Question Paper (2020-21)- 3 | Mathematics (Maths) Class 12 - JEE
Ans.
Equation of plane cutting intercepts (say, a, b, c) on the axes is Mathematics: CBSE Sample Question Paper (2020-21)- 3 | Mathematics (Maths) Class 12 - JEEwith A(a, 0, 0), B(0, b, 0) and C(0, 0, c) distance of this plane from origin is
Mathematics: CBSE Sample Question Paper (2020-21)- 3 | Mathematics (Maths) Class 12 - JEE
Mathematics: CBSE Sample Question Paper (2020-21)- 3 | Mathematics (Maths) Class 12 - JEE
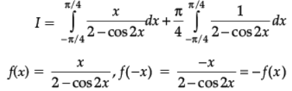
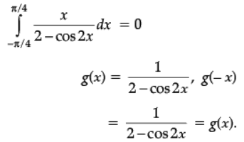
Q.38. Evaluate the following: Mathematics: CBSE Sample Question Paper (2020-21)- 3 | Mathematics (Maths) Class 12 - JEE
Ans. 
The given definite integral
Mathematics: CBSE Sample Question Paper (2020-21)- 3 | Mathematics (Maths) Class 12 - JEE 
Hence, f is odd.
Therefore,
Mathematics: CBSE Sample Question Paper (2020-21)- 3 | Mathematics (Maths) Class 12 - JEE
Hence, g is even. Thus
Mathematics: CBSE Sample Question Paper (2020-21)- 3 | Mathematics (Maths) Class 12 - JEE
Mathematics: CBSE Sample Question Paper (2020-21)- 3 | Mathematics (Maths) Class 12 - JEE
Mathematics: CBSE Sample Question Paper (2020-21)- 3 | Mathematics (Maths) Class 12 - JEE

OR
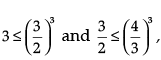
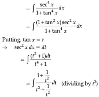
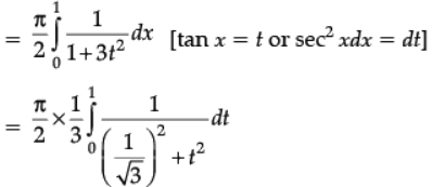
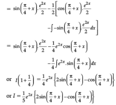
Find: Mathematics: CBSE Sample Question Paper (2020-21)- 3 | Mathematics (Maths) Class 12 - JEE
Ans.

Mathematics: CBSE Sample Question Paper (2020-21)- 3 | Mathematics (Maths) Class 12 - JEE
Dividing numerator and denominator by cos4x,
Mathematics: CBSE Sample Question Paper (2020-21)- 3 | Mathematics (Maths) Class 12 - JEE
Mathematics: CBSE Sample Question Paper (2020-21)- 3 | Mathematics (Maths) Class 12 - JEE

The document Mathematics: CBSE Sample Question Paper (2020-21)- 3 | Mathematics (Maths) Class 12 - JEE is a part of the JEE Course Mathematics (Maths) Class 12.
All you need of JEE at this link: JEE
203 videos|307 docs|139 tests
Related Searches

Objective type Questions

,

Free

,

Summary

,

Extra Questions

,

Sample Paper

,

practice quizzes

,

Mathematics: CBSE Sample Question Paper (2020-21)- 3 | Mathematics (Maths) Class 12 - JEE

,

study material

,

Mathematics: CBSE Sample Question Paper (2020-21)- 3 | Mathematics (Maths) Class 12 - JEE

,

shortcuts and tricks

,

ppt

,

MCQs

,

Mathematics: CBSE Sample Question Paper (2020-21)- 3 | Mathematics (Maths) Class 12 - JEE

,

Viva Questions

,

past year papers

,

video lectures

,

Semester Notes

,

pdf

,

mock tests for examination

,

Important questions

,

Exam

,

Previous Year Questions with Solutions

;