Government Jobs Exam  >  Government Jobs Notes  >  Metal Complexes in Medicine (Part - 1) - Bioinorganic Chemistry, Inorganic Chemistry, CSIR-NET

Metal Complexes in Medicine (Part - 1) - Bioinorganic Chemistry, Inorganic Chemistry, CSIR-NET - Government Jobs PDF Download

INTRODUCTION 

Most of the major classes of pharmaceutical agents contain examples of metal compounds which are in current clinical use (1,2), and new areas of application are rapidly emerging. Some of these are discussed briefly below with special emphasis on the targeting of metal complexes and their biotransformation. Targeting is important because of the toxicity often associated with metal compounds. If they can be delivered only to the tissues, cells and receptors where they are required, then the toxicity may be reduced. The ease with which many metal complexes undergo ligand substitution and redox reactions is likely to mean that the active species are biotransformation products of the administered complex. Identification of these active species will lead to the more effective use of metal compounds as drugs. 

PLATINUM ANTICANCER AGENTS 

Platinum(II) complexes are now amongst the most widely used drugs for the treatment of cancer. Three injectable diammine compounds have been approved for clinical use (1-3), and several others are on clinical trials. There is current emphasis on reducing the toxicity of platinum anticancer complexes towards normal cells, circumventing acquired resistance to cisplatin, and increasing the spectrum of activity of platinum complexes towards a wider range of types of cancer.

Metal Complexes in Medicine (Part - 1) - Bioinorganic Chemistry, Inorganic Chemistry, CSIR-NET - Government Jobs   Metal Complexes in Medicine (Part - 1) - Bioinorganic Chemistry, Inorganic Chemistry, CSIR-NET - Government Jobs    Metal Complexes in Medicine (Part - 1) - Bioinorganic Chemistry, Inorganic Chemistry, CSIR-NET - Government Jobs

The ultimate target for Pt is DNA and certain platinated DNA adducts trigger DNA degradation and apoptosis (programmed cell death). The usefulness of cisplatin in the clinic is limited by (i) the spectrum of its anticancer activity (not active enough against several types of cancer), (ii) the development of resistance after continued treatment, and (iii) its high toxicity to some normal cells.

At least three resistance mechanism have been recognised: (i) reduced transport across the cell membrane, (ii) strong binding to inactivating thiolate ligands inside the cell, e.g. glutathione and metallothionein, and (iii) repair of platinated lesions on DNA by enzymes (e.g. excision). Kidani made the important early discovery that cellular resistance to cisplatin can be overcome by changing the ammine ligands to 1,2- diaminocyclohexane (DACH), and there is much current interest in the diaminocyclohexane (DACH) complex 4 and Pt(lV) analogues which are orally active . It is therefore of much interest to investigate how the structures of amine ligands affect the reactivity of platinum complexes. 

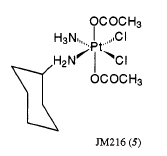
The orally-active Pt(IV) complex 5 (JM216), a mixed ligand complex containing ammonia and cyclohexylamine ligands, is on clinical trial. Active Pt(II) metabolites of this drug are known to be formed in blood plasma. However we cannot discount the possibility that Pt(IV) adducts are involved in the activity. Intriguingly the Pt(II) analogues of some trans Pt(IV) anticancer complexes have been reported to be inactive . The photosensitivity of many Pt(IV) complexes may limit their clinical use, although photoactivation may provide a novel strategy for activating Pt complexes in vivo .

Metal Complexes in Medicine (Part - 1) - Bioinorganic Chemistry, Inorganic Chemistry, CSIR-NET - Government Jobs   Metal Complexes in Medicine (Part - 1) - Bioinorganic Chemistry, Inorganic Chemistry, CSIR-NET - Government Jobs   Metal Complexes in Medicine (Part - 1) - Bioinorganic Chemistry, Inorganic Chemistry, CSIR-NET - Government Jobs

Some of the current thinking on the chemical basis for the mechanism of action of cisplatin as an anticancer drug is summarised in Figure 1. 

Metal Complexes in Medicine (Part - 1) - Bioinorganic Chemistry, Inorganic Chemistry, CSIR-NET - Government Jobs

Fig. 1, A summary of some of the processes that are thought to be involved in the cytotoxicity of platinum anticancer agents. 

Hydrolvsis 

Intracellular hydrolysis has long been thought to be an important process for the activation of chloro Pt anticancer diam(m)ine complexes. Changing the ammine ligands can markedly affect the rate of hydrolysis and the pK, values of the resulting aqua complexes. Although aqua ligands are very reactive, e.g. towards G on DNA, hydroxo ligands are relatively inert. Our work on  cis-[PtCl2(NH3)(2-picoline)] 6 has allowed us to compare the effects of various amines on both the hydrolysis rates and on the pKa values. The major effect is on the hydrolysis rate. 

For monoaqua adducts of 5, the pKa values of aqua ligands trans to NH3 and c-C6H11NH2 about the same (6.7), whereas hydrolysis of Cl- trans to c-C6H11NHis about  twice as fast as trans to NH3 . For the sterically-hindered complex 6 (AMD473), the effect of 2-picoline on the rate of hydrolysis of the Cl- trans to NH3 (cis to 2-picoline) is dramatic, being over 4x slower than the analogous Cl- ligand in the non- sterically-hindered 3-picoline complex . The pKa values of the aqua ligands in this complex are >0.3 units lower than those of cisplatin and a higher proportion of hydroxo species would be expected to be present under intracellular conditions. This, together with the kinetic effects, should make 6 much less reactive inside cells. The complex shows good activity against cisplatin-resistant cells, and by injection and oral administration against a cisplatin-resistant human ovarian xenograph , and is scheduled to enter clinical trials later this year. 

Attack on DNA 

Use of I5N-labelled complexes and 2D heteronuclear single quantum coherence (inverse detection) [1H, I5N] NMR spectroscopy allows the detailed pathways of reactions of cisplatin (and other ammine and amine complexes) to be followed. Intermediates at concentrations as low as 50 μM can be detected, and the I5N chemical shift is diagnostic of the trans ligand which makes this a powerful method for the identification of species . Such studies clearly demonstrate that aquation of cisplatin is the rate-limiting step in the attack on GG sequences of oligonucleotides. The formation of monofunctional adducts with Pt bound to N7 is followed by ring closure to form the stable intrastrand GG chelate. 

The GG chelate is known to be an important adduct in cells. The selectivity of Pt for GG sequences is related to the high electron density at such sites (most easily oxidized sites of DNA) although AG (but not GA) chelates are also formed. Insight into the nature of GG chelates can be gained form the recent X-ray structure of d(CCTCTG*G*TCTCC)*d(GGAGACCAGAGGr) reported by Takahara. The duplex is bent (by about 450) and there is some destacking of bases near the platination site. Intriguingly the square-planar coordination sphere is distorted with Pt lying ca. 1 A out of the plane of the G bases . The two ends of the duplex are folded differently into A- and B-DNA, but this may be a consequence of crystal packing. The strain associated with a GG-Pt chelate on duplex DNA may account for the observed equilibrium in solution between a folded, bent, form and a partially denatured, distorted, form of the duplex d(ATACATG*G*TACATA)*d(TATGTACCATGTAT),w hich is dependent on the pH, ionic strength and temperature . 

Monofunctional adducts 

Unexpected was the finding that one of the two monofunctional adducts formed during the reaction of cisplatin with the 14mer DNA duplex d(ATACATGGTACATA)*d(TATGTACCATGTAT) was very long lived with a half-life of 80 h at 298 K. This has been identified as the 5'G adduct via enzymatic digestion studies. The life-times of the two monofunctional G adducts with the 14mer GG single strand were similar, suggesting that the 3D structure of DNA plays a role in stabilising the long-lived adduct either by shielding the Cl ligand from hydrolysis (compare the reactions of complex 6 described above), or by hindering the approach of the incoming 3'-G N7 ligand. Molecular modelling studies demonstrate that H-bonding between the NH3 ligands and carbonyl groups on DNA play a major role in determining the orientation of the Pt-Cl bonds and their accessibility. Molecular mechanics calculations show that although the chloride ligand in the monofunctional adduct faces outward, away from the helix, the aqua ligand which replaces it after hydrolysis faces inwards on account of its strong H-bonding properties. Modelling of transition states is now required. Chottard et al. have made elegant use of HPLC methods to trap monofunctional intermediates and show that GG platination and chelation rates for cisplatin diaqua complex [Pt(NH3)2(H20)2]2+ depend on the DNA base sequence . 

Metal Complexes in Medicine (Part - 1) - Bioinorganic Chemistry, Inorganic Chemistry, CSIR-NET - Government Jobs

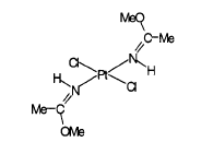
The biological significance of long-lived monofunctional adducts on DNA remains to be determined but these alone may be sufficient to kill cells if they are not repaired, which seems to be the case for the active trans iminoether complex 7 . Long-lived monofunctional adducts may also promote the formation of DNA-protein cross-links. Platinated lesions on DNA which would normally be repaired by  enzymes may be protected from repair by high mobility group (HMG) proteins , Fig. 1. Our NMR studies of the GG chelate of the 14mer with cisplatin described above suggest that the kinked duplex binds in the elbow region of HMGl box A (13). 

DNA base recognition bv Pt complexes 

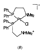
Under physiological conditions cisplatin does not attack the DNA base thymine (T), but changing the ligands on Pt(lI) to amino phosphines allows this to be achieved. Aminophosphine ligands bind strongly to Pt(II) but in bischelated cis complexes the Pt-N bond is relatively labile on account of the high trans influence of P and steric interactions between the substituents on the N atoms. Thus chelate ring- opening in these complexes can be controlled by the substituents on N, by the size of the chelate ring, by the pH (protonation of the displaced N , by the size of the chelate ring, by the pH (protonation of the displaced N ligand), and concentration of competing ligands such as Cl'. Despite the presence of four phenyl groups in complexes such as 8, they are usually soluble in water.

Metal Complexes in Medicine (Part - 1) - Bioinorganic Chemistry, Inorganic Chemistry, CSIR-NET - Government Jobs

 

Reaction between complex 8 and 5'-guanosine monophosphate (5'-GMP) occurs rapidly with opening of one of the chelate rings and binding to N7. However, GMP can be displaced by Cl" at high concentrations. This complex does not bind to A, but does bind to T (and U) at N3 . Deprotonation of N3 may be assisted by the displaced amino group. Protonated amine dangling arms can take part in secondary interactions with DNA phosphate groups.

Complex 8 exhibits activity against cisplatin-resistant tumour cells in vitro although there is as yet no evidence for activity in vivo. Two mechanisms may be responsible for the cytotoxicity. Firstly the complex may act as a positively-charged lipophilic antimitondrial agent similar to [Au(dppe)2]+. Secondly, in the ring-opened form, it can bind to DNA bases and form lesions different from cisplatin. Preliminary DNA work supports the latter hypothesis .

Binding to methionine

For cisplatin, binding to methionine (Met) would normally be considered as an inactivation step. The metabolite [Pt(Met)2)] has been detected in the urine of patients treated with cisplatin and it is a relatively unreactive complex, existing in solution as a mixture of 3 diastereoisomers of each of the 2 geometrical isomers . The cis isomer predominates over the trans isomer by 87:13, and interconversion between the two is slow (half-lives for conversion of cis to trans 22.4 h, and trans to cis 3.2 h at 310 K). However S-bound L-Met, as opposed to S,N-chelated L-Met, is more reactive as a ligand on Pt(II) and can be slowly replaced by N7 of G . Transfer of Pt onto DNA via Met-containing peptides or proteins may therefore be possible. Monofunctional adducts of the type [Pt(en)(G)(L-Met-S)] appear to be very stable and so methionine may play a role in trapping these adducts. Also the high trans influence of S as a Pt(H) ligand can lead to the facile labilization of N ligands and this allows cisplatin to reaction with GMP faster in the presence of L-Met then in its absence  which introduces another route to DNA platination.

Since carboplatin hydrolyses and reacts with chloride too slowly to account for its biological activity, activation by reaction with Met derivatives could provide an important pathway. Reaction of carboplatin with L-Met leads to a surprisingly stable ring-opened intermediate with a half-life of 28 h at 310 K. This intermediate may be stabilised by intramolecular H-bonding, and related complexes appear to be present in urine after carboplatin administration .

Metallothionein and glutathione

The binding of Pt(II) to thiolate S tends to be irreversible, in contrast to thioether S. Reactions between cisplatin and intracellular thiols such as glutathione (the tripeptide y-Glu-Cys-Gly) may therefore inactivate the drug and be part of cellular resistance mechanisms . Moreover, there is over-expression of the pump for glutathione conjugates in cisplatin-resistant cells suggesting that Pt-glutathione complexes are pumped out of the cell .

Cisplatin resistance in some cell types involves the low-molecular-mass cysteine-rich protein metallothionein (MT). Cisplatin administration leads to the induction of MT in e.g. the liver, and may bind and inactivate Pt, but MT may also be involved in scavenging free radicals. Reactions between MT and cisplatin lead to displacement of the ammine ligands and give rise to PtS4 clusters containing 7-10 Pt per mol . Pt binding is ca. 10-30x stronger than Zn(II) and Cd(II) . Transplatin reacts with MT faster than cisplatin .

The document Metal Complexes in Medicine (Part - 1) - Bioinorganic Chemistry, Inorganic Chemistry, CSIR-NET - Government Jobs is a part of Government Jobs category.
All you need of Government Jobs at this link: Government Jobs

FAQs on Metal Complexes in Medicine (Part - 1) - Bioinorganic Chemistry, Inorganic Chemistry, CSIR-NET - Government Jobs

1. What is bioinorganic chemistry?
Ans. Bioinorganic chemistry is a branch of chemistry that studies the role of inorganic elements, such as metals, in biological systems. It focuses on understanding the interactions between metal complexes and biomolecules, and how these interactions influence biological processes.
2. How are metal complexes used in medicine?
Ans. Metal complexes are used in medicine for various purposes. They can be designed to act as diagnostic agents, allowing for the visualization of specific tissues or organs in medical imaging. Metal complexes can also be used as therapeutic agents, where they target specific biomolecules or cellular processes to treat diseases such as cancer or bacterial infections.
3. What are some examples of metal complexes used in medicine?
Ans. There are several examples of metal complexes used in medicine. One well-known example is cisplatin, a platinum-based complex used in cancer chemotherapy. Another example is technetium-99m, a radioactive metal complex used in nuclear medicine for imaging various organs and tissues. Iron complexes are also used in the treatment of iron-deficiency anemia.
4. How do metal complexes interact with biomolecules in the body?
Ans. Metal complexes can interact with biomolecules in the body through various mechanisms. They can bind to specific sites on proteins or enzymes, altering their structure or activity. Metal complexes can also interact with DNA, either by binding to the DNA molecule itself or by intercalating between the DNA base pairs. These interactions can have a range of effects on biological processes.
5. What is the significance of studying metal complexes in medicine?
Ans. Studying metal complexes in medicine is significant because it allows for the development of new diagnostic and therapeutic strategies. By understanding the interactions between metal complexes and biomolecules, scientists can design more effective drugs and imaging agents. Additionally, studying metal complexes helps in understanding the role of metals in biological systems, which is crucial for understanding diseases and developing targeted treatments.
Download as PDF

Top Courses for Government Jobs

Related Searches

Inorganic Chemistry

,

Metal Complexes in Medicine (Part - 1) - Bioinorganic Chemistry

,

mock tests for examination

,

ppt

,

MCQs

,

Important questions

,

practice quizzes

,

CSIR-NET - Government Jobs

,

video lectures

,

Objective type Questions

,

Inorganic Chemistry

,

shortcuts and tricks

,

Extra Questions

,

CSIR-NET - Government Jobs

,

Previous Year Questions with Solutions

,

Summary

,

Metal Complexes in Medicine (Part - 1) - Bioinorganic Chemistry

,

Semester Notes

,

Inorganic Chemistry

,

Viva Questions

,

past year papers

,

Metal Complexes in Medicine (Part - 1) - Bioinorganic Chemistry

,

Free

,

pdf

,

Exam

,

study material

,

Sample Paper

,

CSIR-NET - Government Jobs

;