CAT Exam  >  CAT Notes  >  Practice Questions Level 2: Mixtures & Alligations - 1

Mixtures and Alligations Questions for CAT with Answers PDF

This EduRev document offers 10 Multiple Choice Questions (MCQs) from the topic Mixtures & Alligations (Level - 2). These questions are of Level - 2 difficulty and will assist you in the preparation of CAT & other MBA exams. You can practice/attempt these CAT Multiple Choice Questions (MCQs) and check the explanations for a better understanding of the topic. 

Question for Practice Questions Level 2: Mixtures & Alligations - 1
Try yourself:Two liquids A and B are in the ratio 5 : 1 in container X and in the ratio 1 : 3 in container Y. In what ratio should the contents of the two containers be mixed so as to obtain a mixture of A and B in the ratio 1 : 1?  
View Solution

Question for Practice Questions Level 2: Mixtures & Alligations - 1
Try yourself:A giant watermelon weighs 30 kg, of which 90% is water. After remaining in the sun for one hour, some of the water evaporates such that water makes up 80% of the weight. What is the weight of the watermelon now?  
View Solution

Question for Practice Questions Level 2: Mixtures & Alligations - 1
Try yourself:In what ratio must water be mixed with milk to gain Mixtures and Alligations Questions for CAT with Answers PDFon selling the mixture at cost price?
View Solution

Question for Practice Questions Level 2: Mixtures & Alligations - 1
Try yourself:In what proportion must wheat at Rs. 1.8 per kg be mixed with wheat at Rs. 2.5 per kg to get a mixture worth Rs. 2.0 per kg?
View Solution

Question for Practice Questions Level 2: Mixtures & Alligations - 1
Try yourself:A milkman has 48 litres of mixture of milk and water in the ratio 5 : 1, respectively. He withdraws some amount of the mixture from the vessel and replaces it with milk. The ratio of the mixture of milk and water now becomes 7 : 1. What amount of the mixture is withdrawn?
View Solution

Question for Practice Questions Level 2: Mixtures & Alligations - 1
Try yourself:Puneet bought a mobile and a computer. Then he sold these to his friend Manjeet. He made a loss of 10% on the mobile and an overall profit of 15%. If the ratio of the costs of mobile and computer was 2 : 5, what was the profit made on the computer?
View Solution

Question for Practice Questions Level 2: Mixtures & Alligations - 1
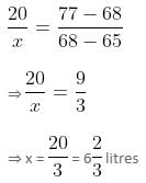
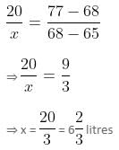
Try yourself:How many litres of a 77% solution of alcohol must be added to 20 litres of a 65% alcoholic drink to obtain a 68% alcoholic drink?
View Solution

Question for Practice Questions Level 2: Mixtures & Alligations - 1
Try yourself:The ratios of spirit to wine in two flasks labelled as A and B, containing spirit and wine mixture, are 7 : 3 and 3 : 1, respectively. Some amounts of the mixtures from the two flasks are poured into a third flask. The new mixture now contains spirit and wine in the ratio of 11 : 4. Find the ratio in which the mixtures from the flask A and flask B are mixed together to get this new mixture.
View Solution

Question for Practice Questions Level 2: Mixtures & Alligations - 1
Try yourself:A sum of Rs. 39,00,000 is allotted for providing compensation to the victims of a train accident. The authorities have decided to sanction an amount of Rs. 30,000 to the injured and Rs. 80,000 to the families of the dead passengers. If there are total 65 victims, then find the number of injured passengers.  
View Solution

Question for Practice Questions Level 2: Mixtures & Alligations - 1
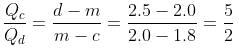
Try yourself:One alloy contains 90% copper and 10% tin. Another alloy contains 93% copper and 4% tin. If they are mixed so that the mixture may contain 9% of tin, then what percent of copper will it contain?
View Solution

The document Mixtures and Alligations Questions for CAT with Answers PDF is a part of CAT category.
All you need of CAT at this link: CAT
Download as PDF

Top Courses for CAT

Related Searches

Objective type Questions

,

ppt

,

Mixtures and Alligations Questions for CAT with Answers PDF

,

Extra Questions

,

mock tests for examination

,

Summary

,

shortcuts and tricks

,

MCQs

,

Sample Paper

,

study material

,

Important questions

,

Previous Year Questions with Solutions

,

Viva Questions

,

Free

,

Semester Notes

,

Mixtures and Alligations Questions for CAT with Answers PDF

,

Exam

,

past year papers

,

Mixtures and Alligations Questions for CAT with Answers PDF

,

video lectures

,

practice quizzes

,

pdf

;