CAT Exam  >  CAT Notes  >  Practice Questions Level 1: Mixtures & Alligations - 1

Mixtures and Alligations Questions for CAT with Answers PDF

This EduRev document offers 10 Multiple Choice Questions (MCQs) from the topic Mixtures & Alligations (Level - 1). These questions are of Level - 1 difficulty and will assist you in the preparation of CAT & other MBA exams. You can practice/attempt these CAT Multiple Choice Questions (MCQs) and check the explanations for a better understanding of the topic.

 

Question for Practice Questions Level 1: Mixtures & Alligations - 1
Try yourself:In a mixture of 60 litres, the ratio of milk to water is 2 : 1. If the ratio of milk to water needs to be 1 : 2, then the amount of water (in litres) to be added further is
View Solution

Question for Practice Questions Level 1: Mixtures & Alligations - 1
Try yourself:If 20 litres of mixture containing 15% alcohol is mixed with 30 litres of mixture containing 18% alcohol, what is the concentration of the resulting solution?
View Solution

Question for Practice Questions Level 1: Mixtures & Alligations - 1
Try yourself:A milkman mixes 20 litres of water with 80 litres of milk. After selling one-fourth of this mixture, he adds water to replenish the quantity that he has sold. What is the current proportion of water to milk?  
View Solution

Question for Practice Questions Level 1: Mixtures & Alligations - 1
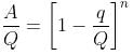
Try yourself:A vessel is full of a mixture of liquor and water with 18% liquor. Eight litres are drawn of and then the vessel is filled with water. How much does the vessel hold if the liquor is now 15%?
View Solution

Question for Practice Questions Level 1: Mixtures & Alligations - 1
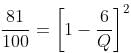
Try yourself:Six gallons of wine is drawn from a cask and is replaced by six gallons of water. Six gallons of the mixture is drawn and again replaced by six gallons of water. If the ratio of wine to water in the cask is now 81 : 19, then how much wine was in the cask at first?  
View Solution

Question for Practice Questions Level 1: Mixtures & Alligations - 1
Try yourself:We have two solutions of milk - A and B. Solution A contains milk and water in the ratio of 1 : 3 and solution B contains the same in the ratio of 2 : 3. If we mix both in equal quantities, then what is the ratio of milk and water in the new solution?
View Solution

Question for Practice Questions Level 1: Mixtures & Alligations - 1
Try yourself:A lump of two metals weighing 18 grams is worth Rs. 74, but if their weights are interchanged, it would be worth Rs. 60.10. If the price of gold is Rs. 7.20 per gram, then find the weight of the other metal in the mixture.  
View Solution

Question for Practice Questions Level 1: Mixtures & Alligations - 1
Try yourself:We have two solutions of milk - A and B. Solution A contains milk and water in the ratio of 1 : 3 and solution B contains the same in the ratio of 2 : 3. If we mix both in equal quantities, then what is the ratio of milk and water in the new solution?
View Solution

Question for Practice Questions Level 1: Mixtures & Alligations - 1
Try yourself:An alloy contains zinc and tin in the ratio of 3 : 4. Another alloy contains zinc and silver in the ratio of 4 : 3. If both of these alloys are melted and mixed in equal ratios, then what will be the ratio of zinc and tin in the new alloy?
View Solution

Question for Practice Questions Level 1: Mixtures & Alligations - 1
Try yourself:Two liquids A and B are in the ratio 5 : 1 in container X and in the ratio 1 : 3 in container Y. In what ratio should the contents of the two containers be mixed so as to obtain a mixture of A and B in the ratio 1 : 1?
View Solution

The document Mixtures and Alligations Questions for CAT with Answers PDF is a part of CAT category.
All you need of CAT at this link: CAT
Download as PDF

Top Courses for CAT

Related Searches

Viva Questions

,

pdf

,

ppt

,

Extra Questions

,

Mixtures and Alligations Questions for CAT with Answers PDF

,

Important questions

,

Summary

,

mock tests for examination

,

Semester Notes

,

Mixtures and Alligations Questions for CAT with Answers PDF

,

past year papers

,

Objective type Questions

,

Sample Paper

,

study material

,

video lectures

,

Previous Year Questions with Solutions

,

practice quizzes

,

MCQs

,

shortcuts and tricks

,

Exam

,

Mixtures and Alligations Questions for CAT with Answers PDF

,

Free

;