JEE Exam  >  JEE Notes  >  Mathematics (Maths) for JEE Main & Advanced  >  NCERT Exemplar: Application of Integrals

NCERT Exemplar: Application of Integrals | Mathematics (Maths) for JEE Main & Advanced PDF Download

Q.1. Find the area of the region bounded by the curves y2 = 9x, y = 3x.
Ans.
We have, y2 = 9x, y = 3x
Solving the two equations, we have
NCERT Exemplar: Application of Integrals | Mathematics (Maths) for JEE Main & Advanced
(3x)2 = 9x
⇒ 9x2 – 9x = 0 ⇒ 9x (x - 1) = 0
∴ x = 0, 1 Area of the shaded region
= ar (region OAB) – ar (DOAB)
NCERT Exemplar: Application of Integrals | Mathematics (Maths) for JEE Main & Advanced
NCERT Exemplar: Application of Integrals | Mathematics (Maths) for JEE Main & Advanced
Hence, the required area =NCERT Exemplar: Application of Integrals | Mathematics (Maths) for JEE Main & Advancedsq. units.

Q.2. Find the area of the region bounded by the parabola y2 = 2px, and x2 = 2py.
Ans.
We are given that: x2 = 2py ...(i)
and y2 = 2px ...(ii)
From eqn. (i) we get y =NCERT Exemplar: Application of Integrals | Mathematics (Maths) for JEE Main & Advanced
NCERT Exemplar: Application of Integrals | Mathematics (Maths) for JEE Main & Advanced
Putting the value of y in eqn. (ii) we have
NCERT Exemplar: Application of Integrals | Mathematics (Maths) for JEE Main & Advanced
⇒ x4 = 8p3x ⇒ x4 – 8p3x = 0
⇒ x (x3 – 8p3) = 0 ∴ x = 0, 2p
Required area = Area of the region (OCBA – ODBA)
NCERT Exemplar: Application of Integrals | Mathematics (Maths) for JEE Main & Advanced
NCERT Exemplar: Application of Integrals | Mathematics (Maths) for JEE Main & Advanced
NCERT Exemplar: Application of Integrals | Mathematics (Maths) for JEE Main & Advanced
Hence, the required area =NCERT Exemplar: Application of Integrals | Mathematics (Maths) for JEE Main & Advancedsq. units.

Q.3. Find the area of the region bounded by the curve y = x3 and y = x + 6 and x = 0.
Ans.
We are given that: y = x3, y = x + 6 and x = 0
Solving y = x3 and y = x + 6, we get
x + 6 = x3
⇒ x3 – x – 6 = 0
⇒ x2 (x – 2) + 2x (x – 2) + 3 (x – 2) = 0
⇒ (x – 2) (x2 + 2x + 3) = 0
x2 + 2x + 3 = 0 has no real roots. ∴ x = 2
∴ Required area of the shaded region
NCERT Exemplar: Application of Integrals | Mathematics (Maths) for JEE Main & AdvancedNCERT Exemplar: Application of Integrals | Mathematics (Maths) for JEE Main & Advanced
NCERT Exemplar: Application of Integrals | Mathematics (Maths) for JEE Main & Advanced
NCERT Exemplar: Application of Integrals | Mathematics (Maths) for JEE Main & Advanced10 sq. units.

Q.4. Find the area of the region bounded by the curve y2 = 4x, x2 = 4y.
Ans.
We have y2 = 4x and x2 = 4y.
NCERT Exemplar: Application of Integrals | Mathematics (Maths) for JEE Main & Advanced
NCERT Exemplar: Application of Integrals | Mathematics (Maths) for JEE Main & Advanced
NCERT Exemplar: Application of Integrals | Mathematics (Maths) for JEE Main & Advanced
NCERT Exemplar: Application of Integrals | Mathematics (Maths) for JEE Main & Advanced
⇒ x4 = 64x ⇒ x4 – 64x = 0
⇒ x(x3 – 64) = 0
∴ x = 0, x = 4
Required areaNCERT Exemplar: Application of Integrals | Mathematics (Maths) for JEE Main & Advanced
NCERT Exemplar: Application of Integrals | Mathematics (Maths) for JEE Main & Advanced
NCERT Exemplar: Application of Integrals | Mathematics (Maths) for JEE Main & Advanced
Hence, the required area =NCERT Exemplar: Application of Integrals | Mathematics (Maths) for JEE Main & Advanced

Q.5. Find the area of the region included between y2 = 9x and y = x
Ans.
Given that: y2 = 9x ...(i)
and y = x...(ii)
Solving eqns. (i) and (ii) we have
x2 = 9x ⇒ x2 – 9x = 0
x (x – 9) = 0 ∴ x = 0, 9
Required area
NCERT Exemplar: Application of Integrals | Mathematics (Maths) for JEE Main & Advanced
NCERT Exemplar: Application of Integrals | Mathematics (Maths) for JEE Main & Advanced
NCERT Exemplar: Application of Integrals | Mathematics (Maths) for JEE Main & Advanced
NCERT Exemplar: Application of Integrals | Mathematics (Maths) for JEE Main & Advanced
NCERT Exemplar: Application of Integrals | Mathematics (Maths) for JEE Main & Advanced
Hence, the required area =NCERT Exemplar: Application of Integrals | Mathematics (Maths) for JEE Main & Advanced

Q.6. Find the area of the region enclosed by the parabola x2 = y and the line y = x + 2
Ans.
Here, x2 = y and y = x + 2
∴ x2 = x + 2
⇒ x2 – x – 2 = 0
⇒ x2 – 2x + x – 2 = 0
⇒ x(x –2) + 1 (x – 2) = 0
⇒ (x – 2) (x + 1) = 0
∴ x = –1, 2
Graph of y = x + 2
NCERT Exemplar: Application of Integrals | Mathematics (Maths) for JEE Main & Advanced
NCERT Exemplar: Application of Integrals | Mathematics (Maths) for JEE Main & Advanced
Area of the required region
NCERT Exemplar: Application of Integrals | Mathematics (Maths) for JEE Main & Advanced
Hence, the required area =NCERT Exemplar: Application of Integrals | Mathematics (Maths) for JEE Main & Advanced

Q.7. Find the area of region bounded by the line x = 2 and the parabola y2 = 8x
Ans.
Here, y2 = 8x and x = 2
y2 = 8(2) = 16
∴ y = ±4
Required area
NCERT Exemplar: Application of Integrals | Mathematics (Maths) for JEE Main & Advanced
NCERT Exemplar: Application of Integrals | Mathematics (Maths) for JEE Main & Advanced
NCERT Exemplar: Application of Integrals | Mathematics (Maths) for JEE Main & Advanced
Hence, the area of the region =NCERT Exemplar: Application of Integrals | Mathematics (Maths) for JEE Main & Advanced

Q.8. Sketch the region {(x, 0) : y =NCERT Exemplar: Application of Integrals | Mathematics (Maths) for JEE Main & Advancedand x-axis. Find the area of the region using integration.
Ans.
Given that {(x, 0) : y =NCERT Exemplar: Application of Integrals | Mathematics (Maths) for JEE Main & Advanced 
⇒ y2 = 4 – x2
⇒ x2 + y2 = 4 which is a circle.
NCERT Exemplar: Application of Integrals | Mathematics (Maths) for JEE Main & Advanced
Required area
NCERT Exemplar: Application of Integrals | Mathematics (Maths) for JEE Main & Advanced
[Since circle is symmetrical about y-axis]
NCERT Exemplar: Application of Integrals | Mathematics (Maths) for JEE Main & Advanced
Hence, the required area = 2π sq. units.

Q.9. Calculate the area under the curve y = 2 √x included between the lines x = 0 and x = 1.
Ans.
Given the curves y = 2√x , x = 0 and x = 1.
y = 2√x ⇒ y2 = 4x (Parabola)
NCERT Exemplar: Application of Integrals | Mathematics (Maths) for JEE Main & Advanced
Required areaNCERT Exemplar: Application of Integrals | Mathematics (Maths) for JEE Main & Advanced
NCERT Exemplar: Application of Integrals | Mathematics (Maths) for JEE Main & Advanced
Hence, required area =NCERT Exemplar: Application of Integrals | Mathematics (Maths) for JEE Main & Advanced

Q.10. Using integration, find the area of the region bounded by the line 2y = 5x + 7, x-axis and the lines x = 2 and x = 8.
Ans.
Given that: 2y = 5x + 7, x-axis, x = 2 and x = 8.
Let us draw the graph of 2y = 5x + 7 ⇒ y =NCERT Exemplar: Application of Integrals | Mathematics (Maths) for JEE Main & Advanced
NCERT Exemplar: Application of Integrals | Mathematics (Maths) for JEE Main & Advanced
NCERT Exemplar: Application of Integrals | Mathematics (Maths) for JEE Main & Advanced
Area of the required shaded region
NCERT Exemplar: Application of Integrals | Mathematics (Maths) for JEE Main & Advanced
NCERT Exemplar: Application of Integrals | Mathematics (Maths) for JEE Main & Advanced

NCERT Exemplar: Application of Integrals | Mathematics (Maths) for JEE Main & Advanced
NCERT Exemplar: Application of Integrals | Mathematics (Maths) for JEE Main & Advanced
Hence, the required area = 96 sq. units.

Q.11. Draw a rough sketch of the curve y =NCERT Exemplar: Application of Integrals | Mathematics (Maths) for JEE Main & Advancedin the interval [1, 5]. Find the area under the curve and between the lines x = 1 and x = 5.
Ans.
Here, we have y =NCERT Exemplar: Application of Integrals | Mathematics (Maths) for JEE Main & Advanced 

⇒ y2 = x – 1 (Parabola)
Area of the required region
NCERT Exemplar: Application of Integrals | Mathematics (Maths) for JEE Main & Advanced
NCERT Exemplar: Application of Integrals | Mathematics (Maths) for JEE Main & Advanced
NCERT Exemplar: Application of Integrals | Mathematics (Maths) for JEE Main & Advanced
Hence, the required area =NCERT Exemplar: Application of Integrals | Mathematics (Maths) for JEE Main & Advanced

Q.12. Determine the area under the curve y =NCERT Exemplar: Application of Integrals | Mathematics (Maths) for JEE Main & Advanced included between the lines x = 0 and x = a.
Ans.
Here, we are given y =NCERT Exemplar: Application of Integrals | Mathematics (Maths) for JEE Main & Advanced

⇒ y2 = a2 – x2

⇒ x2 + y2 = a2 
Area of the shaded region
NCERT Exemplar: Application of Integrals | Mathematics (Maths) for JEE Main & Advanced
NCERT Exemplar: Application of Integrals | Mathematics (Maths) for JEE Main & Advanced
NCERT Exemplar: Application of Integrals | Mathematics (Maths) for JEE Main & Advanced
Hence, the required area =NCERT Exemplar: Application of Integrals | Mathematics (Maths) for JEE Main & Advanced

Q.13. Find the area of the region bounded by y = √x and y = x.
Ans.
We are given the equations of curve y = √x and line y = x.
Solving y = √x ⇒ y2 = x and y = x, we get
x2 = x ⇒ x2 – x = 0
⇒ x (x – 1) = 0 ∴ x = 0, 1
Required area of the shaded region
NCERT Exemplar: Application of Integrals | Mathematics (Maths) for JEE Main & Advanced
NCERT Exemplar: Application of Integrals | Mathematics (Maths) for JEE Main & Advanced
NCERT Exemplar: Application of Integrals | Mathematics (Maths) for JEE Main & Advanced
Hence, the required area =NCERT Exemplar: Application of Integrals | Mathematics (Maths) for JEE Main & Advanced

Q.14. Find the area enclosed by the curve y = –x2 and the straight lilne x + y + 2 = 0.
Ans.
We are given that y = –x2 or x2 = –y
and the line x + y + 2 = 0
Solving the two equations, we get
x  – x2 + 2 = 0
⇒ x2  – x – 2 = 0
⇒ x2 – 2x + x – 2 = 0
⇒ x (x – 2) + 1 (x – 2) = 0
⇒ (x – 2) (x + 1) = 0
∴ x = –1, 2
Area of the required shaded region
NCERT Exemplar: Application of Integrals | Mathematics (Maths) for JEE Main & Advanced
NCERT Exemplar: Application of Integrals | Mathematics (Maths) for JEE Main & Advanced
NCERT Exemplar: Application of Integrals | Mathematics (Maths) for JEE Main & Advanced
NCERT Exemplar: Application of Integrals | Mathematics (Maths) for JEE Main & Advanced
NCERT Exemplar: Application of Integrals | Mathematics (Maths) for JEE Main & Advanced
NCERT Exemplar: Application of Integrals | Mathematics (Maths) for JEE Main & Advanced

Q.15. Find the area bounded by the curve y = √x , x = 2y + 3 in the first quadrant and x-axis.
Ans.
Given that: y = √x , x = 2y + 3, first quadrant and x-axis.
Solving y = √x and x = 2y + 3, we get
y = NCERT Exemplar: Application of Integrals | Mathematics (Maths) for JEE Main & Advanced ⇒ y2 = 2y + 3

⇒ y2 – 2y – 3 = 0 ⇒ y2 – 3y + y – 3 = 0
⇒ y(y – 3) + 1 (y – 3) = 0
⇒(y + 1) (y – 3) = 0
∴ y = –1, 3
Area of shaded region
NCERT Exemplar: Application of Integrals | Mathematics (Maths) for JEE Main & Advanced
NCERT Exemplar: Application of Integrals | Mathematics (Maths) for JEE Main & Advanced
NCERT Exemplar: Application of Integrals | Mathematics (Maths) for JEE Main & Advanced
= 18 - 9 = 9 sq. units
Hence, the required area = 9 sq. units.

Long Answer (L.A.)
Q.16. Find the area of the region bounded by the curve y2 = 2x and x2 + y2 = 4x.
Ans.
Equations of the curves are given by
x2 + y2 = 4x ...(i)
and y2 = 2x ...(ii)
⇒ x2 – 4x + y2 = 0
⇒ x2 – 4x + 4 – 4 + y2 = 0
⇒  (x – 2)2 + y2 = 4
Clearly it is the equation of a circle having its centre (2, 0) and radius 2.
Solving x2 + y2 = 4x and y2 = 2x
x2 + 2x = 4x
⇒ x2 + 2x – 4x = 0
⇒  x2 – 2x = 0
⇒ x (x – 2) = 0
∴ x = 0, 2
NCERT Exemplar: Application of Integrals | Mathematics (Maths) for JEE Main & Advanced
Area of the required region
NCERT Exemplar: Application of Integrals | Mathematics (Maths) for JEE Main & Advanced
[∴ Parabola and circle both are symmetrical about x-axis.]
NCERT Exemplar: Application of Integrals | Mathematics (Maths) for JEE Main & Advanced
NCERT Exemplar: Application of Integrals | Mathematics (Maths) for JEE Main & Advanced
NCERT Exemplar: Application of Integrals | Mathematics (Maths) for JEE Main & Advancedsq. units
Hence, the required area =NCERT Exemplar: Application of Integrals | Mathematics (Maths) for JEE Main & Advanced

Q.17. Find the area bounded by the curve y = sinx between x = 0 and x = 2π.
Ans.
Required area =NCERT Exemplar: Application of Integrals | Mathematics (Maths) for JEE Main & Advanced
NCERT Exemplar: Application of Integrals | Mathematics (Maths) for JEE Main & Advanced
NCERT Exemplar: Application of Integrals | Mathematics (Maths) for JEE Main & Advanced
NCERT Exemplar: Application of Integrals | Mathematics (Maths) for JEE Main & Advanced

Q.18. Find the area of region bounded by the triangle whose vertices are (–1, 1), (0, 5) and (3, 2), using integration.
Ans.
The coordinates of the vertices of ΔABC are given by A(–1, 1), B (0, 5) and C (3, 2).
NCERT Exemplar: Application of Integrals | Mathematics (Maths) for JEE Main & Advanced
Equation of AB is y – 1 =NCERT Exemplar: Application of Integrals | Mathematics (Maths) for JEE Main & Advanced
⇒ y – 1 = 4x + 4
∴ y = 4x + 4 + 1 ⇒ y = 4x + 5 ...(i)
Equation of BC is y – 5 =NCERT Exemplar: Application of Integrals | Mathematics (Maths) for JEE Main & Advanced
⇒ y – 5 = –x
∴ y = 5 – x ...(ii)
Equation of CA is
NCERT Exemplar: Application of Integrals | Mathematics (Maths) for JEE Main & Advanced
NCERT Exemplar: Application of Integrals | Mathematics (Maths) for JEE Main & Advanced
NCERT Exemplar: Application of Integrals | Mathematics (Maths) for JEE Main & Advanced
Area of ΔABC
NCERT Exemplar: Application of Integrals | Mathematics (Maths) for JEE Main & Advanced
NCERT Exemplar: Application of Integrals | Mathematics (Maths) for JEE Main & Advanced
NCERT Exemplar: Application of Integrals | Mathematics (Maths) for JEE Main & Advanced
NCERT Exemplar: Application of Integrals | Mathematics (Maths) for JEE Main & Advanced
NCERT Exemplar: Application of Integrals | Mathematics (Maths) for JEE Main & Advanced

Q.19. Draw a rough sketch of the region {(x, y) : y2 ≤ 6ax and x2 + y2 ≤ 16a2}. Also find the area of the region sketched using method of integration.
Ans.
Given that:
{(x, y) : y2 ≤ 6ax and x2 + y2 ≤ 16a2}
Equation of Parabola is
y2 = 6ax ...(i)
and equation of circle is
x2 + y2 ≤ 16a2 ...(ii)
Solving eqns. (i) and (ii) we get
x2 + 6ax = 16a2
⇒ x2 + 6ax – 16a2 = 0
⇒ x2 + 8ax – 2ax – 16a2 = 0
⇒ x(x + 8a) – 2a (x + 8a) = 0
⇒(x + 8a) (x – 2a) = 0
∴ x = 2a and x = – 8a. (Rejected as it is out of region)
NCERT Exemplar: Application of Integrals | Mathematics (Maths) for JEE Main & Advanced
Area of the required shaded region
NCERT Exemplar: Application of Integrals | Mathematics (Maths) for JEE Main & Advanced
NCERT Exemplar: Application of Integrals | Mathematics (Maths) for JEE Main & Advanced
NCERT Exemplar: Application of Integrals | Mathematics (Maths) for JEE Main & Advanced
NCERT Exemplar: Application of Integrals | Mathematics (Maths) for JEE Main & Advanced
NCERT Exemplar: Application of Integrals | Mathematics (Maths) for JEE Main & Advanced
NCERT Exemplar: Application of Integrals | Mathematics (Maths) for JEE Main & Advanced
Hence, required area =NCERT Exemplar: Application of Integrals | Mathematics (Maths) for JEE Main & Advanced

Q.20. Compute the area bounded by the lines x + 2y = 2, y – x = 1 and 2x + y = 7.
Ans.
Given that: x + 2y = 2 ...(i)
y – x = 1 ...(ii)
and 2x + y = 7 ...(iii)
NCERT Exemplar: Application of Integrals | Mathematics (Maths) for JEE Main & AdvancedNCERT Exemplar: Application of Integrals | Mathematics (Maths) for JEE Main & AdvancedNCERT Exemplar: Application of Integrals | Mathematics (Maths) for JEE Main & Advanced
Solving eqns. (ii) and (iii) we get
y = 1 + x
∴ 2x + 1 + x = 7
3x = 6
⇒ x = 2
∴ y = 1 + 2  = 3
Coordinates of B = (2, 3)
NCERT Exemplar: Application of Integrals | Mathematics (Maths) for JEE Main & Advanced
Solving eqns. (i) and (iii)
we get
x + 2y = 2
∴ x = 2 – 2y
2x + y = 7
2(2 – 2y) + y = 7
⇒ 4 – 4y + y = 7 ⇒ - 3y = 3
∴ y = –1 and x = 4
∴ Coordinates of C = (4, – 1) and coordinates of A = (0, 1).
Taking the limits on y-axis, we get
NCERT Exemplar: Application of Integrals | Mathematics (Maths) for JEE Main & Advanced
NCERT Exemplar: Application of Integrals | Mathematics (Maths) for JEE Main & Advanced
NCERT Exemplar: Application of Integrals | Mathematics (Maths) for JEE Main & Advanced
NCERT Exemplar: Application of Integrals | Mathematics (Maths) for JEE Main & Advanced
Hence, the required area = 6 sq. units.

Q.21. Find the area bounded by the lines y = 4x + 5, y = 5 – x and 4y = x + 5.
Ans.
Given that y = 4x + 5 ...(i)
y = 5 – x ...(ii)
and 4y = x + 5 ...(iii)
NCERT Exemplar: Application of Integrals | Mathematics (Maths) for JEE Main & Advanced
NCERT Exemplar: Application of Integrals | Mathematics (Maths) for JEE Main & Advanced
Solving eq. (i) and (ii) we get
4x + 5 = 5 – x
⇒ x = 0 and y = 5
∴ Coordinates of A = (0, 5)
Solving eq. (ii) and (iii)
y = 5 – x
4y = x + 5
5y = 10
∴ y = 2 and x = 3
∴ Coordinates of B = (3, 2)
Solving eq. (i) and (iii)
y = 4x + 5
4y = x + 5
⇒ 4 (4x + 5) = x + 5
⇒ 16x + 20 = x + 5 ⇒ 15x = - 15
∴ x = –1 and y = 1
∴ Coordinates of C = (–1, 1).
∴ Area of required regions
NCERT Exemplar: Application of Integrals | Mathematics (Maths) for JEE Main & Advanced
NCERT Exemplar: Application of Integrals | Mathematics (Maths) for JEE Main & Advanced
NCERT Exemplar: Application of Integrals | Mathematics (Maths) for JEE Main & Advanced
Hence, the required area =NCERT Exemplar: Application of Integrals | Mathematics (Maths) for JEE Main & Advanced

Q.22. Find the area bounded by the curve y = 2cosx and the x-axis from x = 0 to x = 2π.
Ans.
Given equation of the curve is y = 2 cos x
NCERT Exemplar: Application of Integrals | Mathematics (Maths) for JEE Main & Advanced
∴ Area of the shaded region
NCERT Exemplar: Application of Integrals | Mathematics (Maths) for JEE Main & Advanced
NCERT Exemplar: Application of Integrals | Mathematics (Maths) for JEE Main & Advanced
NCERT Exemplar: Application of Integrals | Mathematics (Maths) for JEE Main & Advanced
NCERT Exemplar: Application of Integrals | Mathematics (Maths) for JEE Main & Advanced

Q.23. Draw a rough sketch of the given curve y = 1 + |x +1|, x = –3, x = 3, y = 0 and find the area of the region bounded by them, using integration.
Ans.
Given equations are y = 1 + |x + 1|, x = –3
and x  = 3, y = 0
Taking y = 1 + |x + 1|
⇒ y = 1 + x + 1
⇒ y = x + 2 and y = 1 – x – 1 
⇒ y = –x
On solving we get x = –1
NCERT Exemplar: Application of Integrals | Mathematics (Maths) for JEE Main & Advanced
Area of the required regions
NCERT Exemplar: Application of Integrals | Mathematics (Maths) for JEE Main & Advanced
NCERT Exemplar: Application of Integrals | Mathematics (Maths) for JEE Main & Advanced
Hence, the required area = 16 sq. units.

Objective Type Questions
Q.24. The area of the region bounded by the y-axis, y = cosx and y = sinx, 0 ≤ x ≤NCERT Exemplar: Application of Integrals | Mathematics (Maths) for JEE Main & Advanced
(a) √2 sq. units 
(b) ( √2 + 1) sq. units 
(c) ( √2 - 1) sq. units 
(d) (2√2 - 1) sq. units
Ans. (c)
Solution .
Given that y-axis, y = cos x, y = sin x,NCERT Exemplar: Application of Integrals | Mathematics (Maths) for JEE Main & Advanced 
NCERT Exemplar: Application of Integrals | Mathematics (Maths) for JEE Main & Advanced
Required areaNCERT Exemplar: Application of Integrals | Mathematics (Maths) for JEE Main & Advanced
NCERT Exemplar: Application of Integrals | Mathematics (Maths) for JEE Main & Advanced
Hence, the correct option is (c).

Q.25. The area of the region bounded by the curve x2 = 4y and the straight line x = 4y – 2 is
(a) 3/8 sq. units 
(b) 5/8 sq. units
(c) 7/8 sq. units
(d) 9/8 sq. units
Ans. (d)
Solution .
Given that: The equation of parabola is x2 = 4y ...(i)
and equation of straight line is x = 4y – 2 ...(ii)
NCERT Exemplar: Application of Integrals | Mathematics (Maths) for JEE Main & Advanced
Solving eqn. (i) and (ii) we get
NCERT Exemplar: Application of Integrals | Mathematics (Maths) for JEE Main & Advanced
NCERT Exemplar: Application of Integrals | Mathematics (Maths) for JEE Main & Advanced
⇒ x = x2 – 2
⇒ x2 – x – 2 = 0 ⇒ x2 – 2x + x – 2 = 0
⇒ x (x – 2) + 1 (x – 2) = 0 ⇒ (x – 2) (x + 1) = 0 ∴ x = –1, x = 2
Required area =NCERT Exemplar: Application of Integrals | Mathematics (Maths) for JEE Main & Advanced
NCERT Exemplar: Application of Integrals | Mathematics (Maths) for JEE Main & Advanced
Hence, the correct option is (d).

Q.26. The area of the region bounded by the curve y =NCERT Exemplar: Application of Integrals | Mathematics (Maths) for JEE Main & Advancedand x-axis is 
(a) 8 sq units 
(b) 20π sq units  
(c) 16π sq units 
(d) 256π sq units
Ans. (a)
Solution .
Here, equation of curve is y =NCERT Exemplar: Application of Integrals | Mathematics (Maths) for JEE Main & Advanced 
Required area
NCERT Exemplar: Application of Integrals | Mathematics (Maths) for JEE Main & Advanced
NCERT Exemplar: Application of Integrals | Mathematics (Maths) for JEE Main & Advanced
Hence, the correct option is (a).

Q.27. Area of the region in the first quadrant enclosed by the x-axis, the line y = x and the circle x2 + y2 = 32 is 
(a) 16π sq units 
(b) 4π sq units 
(c) 32π sq units    
(d) 24 sq units
Ans. (b)
Solution .

Given equation of circle is  x2 + y2 = 32 ⇒ x2 + y2 = (4√2 )2
and the line is y = x and the x-axis.
Solving the two equations we have
NCERT Exemplar: Application of Integrals | Mathematics (Maths) for JEE Main & Advanced
x2 + x2 = 32
⇒ 2x2 = 32
⇒ x2 = 16
∴ x = ± 4
Required area
NCERT Exemplar: Application of Integrals | Mathematics (Maths) for JEE Main & Advanced
NCERT Exemplar: Application of Integrals | Mathematics (Maths) for JEE Main & Advanced
NCERT Exemplar: Application of Integrals | Mathematics (Maths) for JEE Main & Advanced
Hence, the correct option is (b).

Q.28. Area of the region bounded by the curve y = cosx between x = 0 and x = π is
(a) 2 sq. units 
(b) 4 sq. units 
(c) 3 sq. units 
(d) 1 sq. units
Ans. (a)
Solution .

Given that: y = cos x, x = 0, x = π
Required area
NCERT Exemplar: Application of Integrals | Mathematics (Maths) for JEE Main & Advanced
NCERT Exemplar: Application of Integrals | Mathematics (Maths) for JEE Main & Advanced
NCERT Exemplar: Application of Integrals | Mathematics (Maths) for JEE Main & Advanced
Hence, the correct option is (a).

Q.29. The area of the region bounded by parabola y2 = x and the straight line 2y = x is
(a) 4/3 sq. units 
(b) 1 sq. unit
(c) 2/3 sq. units 
(d) 1/3 sq. units
Ans. (a)
Solution .

Given equation of parabola is y2 = x ...(i)
and equation of straight line is 2y = x ...(ii)
Solving eqns. (i) and (ii) we get
NCERT Exemplar: Application of Integrals | Mathematics (Maths) for JEE Main & Advanced
NCERT Exemplar: Application of Integrals | Mathematics (Maths) for JEE Main & Advanced
⇒ x(x – 4) = 0 ∴ x = 0, 4
Required area
NCERT Exemplar: Application of Integrals | Mathematics (Maths) for JEE Main & Advanced
NCERT Exemplar: Application of Integrals | Mathematics (Maths) for JEE Main & Advanced
NCERT Exemplar: Application of Integrals | Mathematics (Maths) for JEE Main & Advanced
Hence, the correct answer is (a).

Q.30. The area of the region bounded by the curve y = sinx between the ordinates x = 0,NCERT Exemplar: Application of Integrals | Mathematics (Maths) for JEE Main & Advancedand the x-axis is
(a) 2 sq. units 
(b) 4 sq. units 
(c) 3 sq. units 
(d) 1 sq. units
Ans. (d)
Solution .

Given equation of curve is y = sin x between x = 0 and x =NCERT Exemplar: Application of Integrals | Mathematics (Maths) for JEE Main & Advanced
NCERT Exemplar: Application of Integrals | Mathematics (Maths) for JEE Main & Advanced
Area of required region
NCERT Exemplar: Application of Integrals | Mathematics (Maths) for JEE Main & Advanced
Hence, the correct answer is (d).

Q.31. The area of the region bounded by the ellipseNCERT Exemplar: Application of Integrals | Mathematics (Maths) for JEE Main & Advanced is
(a) 20π sq units 
(b) 20π2 sq units 
(c) 16π2 sq units 
(d) 25 π sq units
Ans. (a)
Solution .

Given equation of ellipse isNCERT Exemplar: Application of Integrals | Mathematics (Maths) for JEE Main & Advanced 
NCERT Exemplar: Application of Integrals | Mathematics (Maths) for JEE Main & Advanced
NCERT Exemplar: Application of Integrals | Mathematics (Maths) for JEE Main & Advanced
NCERT Exemplar: Application of Integrals | Mathematics (Maths) for JEE Main & Advanced
∴ Since the ellipse is symmetrical about the axes.
∴ Required areaNCERT Exemplar: Application of Integrals | Mathematics (Maths) for JEE Main & Advanced
NCERT Exemplar: Application of Integrals | Mathematics (Maths) for JEE Main & Advanced
Hence, the correct answer is (a).

Q.32. The area of the region bounded by the circle x2 + y2 = 1 is 
(a) 2π sq units 
(b) π sq units 
(c) 3π sq units 
(d) 4π sq units
Ans. (b)
Solution .

Given equation of circle is
x2 + y2 = 1  y =NCERT Exemplar: Application of Integrals | Mathematics (Maths) for JEE Main & Advanced
NCERT Exemplar: Application of Integrals | Mathematics (Maths) for JEE Main & Advanced
Since the circle is symmetrical about the axes.
NCERT Exemplar: Application of Integrals | Mathematics (Maths) for JEE Main & Advanced
NCERT Exemplar: Application of Integrals | Mathematics (Maths) for JEE Main & Advanced
Hence, the correct answer is (b).

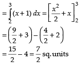
Q.33. The area of the region bounded by the curve y = x + 1 and the lines x = 2 and x = 3 is
(a) 7/2 sq. units 
(b) 9/2 sq. units 
(c) 11/2 sq. units
(d) 13/2 sq. units
Ans. (a)
Solution .

Given equation of lines are
y = x + 1, x = 2 and x = 3
Required area
NCERT Exemplar: Application of Integrals | Mathematics (Maths) for JEE Main & Advanced
NCERT Exemplar: Application of Integrals | Mathematics (Maths) for JEE Main & Advanced
Hence, the correct option is (a).

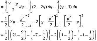
Q.34. The area of the region bounded by the curve x = 2y + 3 and the y lines. y = 1 and y = –1 is

(a) 4 sq. units
(b) 3/2 sq. units 

(c) 6 sq. units
(d) 8 sq. units

Ans. (c)
Solution .

Given equations of lines are x = 2y + 3,  y = 1 and y = –1
NCERT Exemplar: Application of Integrals | Mathematics (Maths) for JEE Main & Advanced
Required areaNCERT Exemplar: Application of Integrals | Mathematics (Maths) for JEE Main & Advanced
NCERT Exemplar: Application of Integrals | Mathematics (Maths) for JEE Main & Advanced
Hence, the correct answer is (c).

The document NCERT Exemplar: Application of Integrals | Mathematics (Maths) for JEE Main & Advanced is a part of the JEE Course Mathematics (Maths) for JEE Main & Advanced.
All you need of JEE at this link: JEE
172 videos|476 docs|154 tests
Related Searches

Summary

,

ppt

,

Objective type Questions

,

Free

,

MCQs

,

Extra Questions

,

NCERT Exemplar: Application of Integrals | Mathematics (Maths) for JEE Main & Advanced

,

NCERT Exemplar: Application of Integrals | Mathematics (Maths) for JEE Main & Advanced

,

Exam

,

Sample Paper

,

shortcuts and tricks

,

past year papers

,

NCERT Exemplar: Application of Integrals | Mathematics (Maths) for JEE Main & Advanced

,

Previous Year Questions with Solutions

,

mock tests for examination

,

Viva Questions

,

pdf

,

Semester Notes

,

study material

,

Important questions

,

practice quizzes

,

video lectures

;