JEE Exam  >  JEE Notes  >  Mathematics (Maths) Class 12  >  NCERT Exemplar - Determinants(Part-2)

NCERT Exemplar - Determinants(Part-2) | Mathematics (Maths) Class 12 - JEE PDF Download

Objective Type Questions (M.C.Q.)
Q.24. IfNCERT Exemplar - Determinants(Part-2) | Mathematics (Maths) Class 12 - JEEthen value of x is
(a) 3 
(b) ± 3 
(c) ± 6 
(d) 6
Ans. (c)
Solution.
Given that
NCERT Exemplar - Determinants(Part-2) | Mathematics (Maths) Class 12 - JEE
⇒ 2x2 – 40 = 18 + 14 ⇒ 2x2 = 32 + 40
⇒ 2x2 = 72 ⇒ x2 = 36
∴ x = ± 6
Hence, the correct option is (c).

Q.25. The value of determinantNCERT Exemplar - Determinants(Part-2) | Mathematics (Maths) Class 12 - JEE
(a) a3 + b3 + c3 
(b) 3bc 
(c) a3 + b3 + c3 – 3abc 
(d) None of these
Ans. (d)
Solution.
Here, we haveNCERT Exemplar - Determinants(Part-2) | Mathematics (Maths) Class 12 - JEE
C2 → C2 + C3
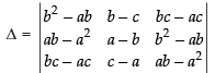
NCERT Exemplar - Determinants(Part-2) | Mathematics (Maths) Class 12 - JEE
NCERT Exemplar - Determinants(Part-2) | Mathematics (Maths) Class 12 - JEE
(Taking a + b + c common from C2)
R1 → R1 - R2, R2 → R2 - R3
NCERT Exemplar - Determinants(Part-2) | Mathematics (Maths) Class 12 - JEE
Expanding along C2
NCERT Exemplar - Determinants(Part-2) | Mathematics (Maths) Class 12 - JEE
⇒ (a + b + c) (a - b) (b - c) (- 1)
⇒ (a + b + c) (a - b) (c - b)
Hence, the correct option is (d).

Q.26. The area of a triangle with vertices (–3, 0), (3, 0) and (0, k) is 9 sq. units. The value of k will be
(a) 9 
(b) 3 
(c) – 9 
(d) 6
Ans. (b)
Solution.
Area of triangle with vertices (x1 y1), (x2 y2) and (x3, y3) will be:
NCERT Exemplar - Determinants(Part-2) | Mathematics (Maths) Class 12 - JEE
NCERT Exemplar - Determinants(Part-2) | Mathematics (Maths) Class 12 - JEE
NCERT Exemplar - Determinants(Part-2) | Mathematics (Maths) Class 12 - JEE
NCERT Exemplar - Determinants(Part-2) | Mathematics (Maths) Class 12 - JEE
3k = 9 ⇒ k = 3
Hence, the correct option is (b).

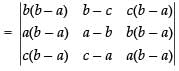
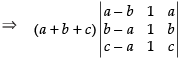
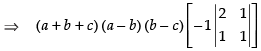
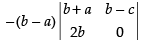
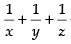
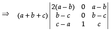
Q.27. The determinantNCERT Exemplar - Determinants(Part-2) | Mathematics (Maths) Class 12 - JEEequals 
(a) abc (b – c) (c – a) (a – b)
(b) (b – c) (c – a) (a – b)
(c) (a + b + c) (b – c) (c – a) (a – b)
(d) None of these

Ans. (d)
Solution.
LetNCERT Exemplar - Determinants(Part-2) | Mathematics (Maths) Class 12 - JEE
NCERT Exemplar - Determinants(Part-2) | Mathematics (Maths) Class 12 - JEE
(Taking (b – a) common from C1 and C3)
NCERT Exemplar - Determinants(Part-2) | Mathematics (Maths) Class 12 - JEE
C1 → C1 - C3
NCERT Exemplar - Determinants(Part-2) | Mathematics (Maths) Class 12 - JEE
(C1 and C2 are identical columns.)
= (a – b)2 × 0
= 0
Hence, the correct option is (d).

Q.28. The number of distinct real roots ofNCERT Exemplar - Determinants(Part-2) | Mathematics (Maths) Class 12 - JEE in the intervalNCERT Exemplar - Determinants(Part-2) | Mathematics (Maths) Class 12 - JEE
(a) 0 
(b) 2 
(c) 1 
(d) 3
Ans. (c)
Solution.
Given that
NCERT Exemplar - Determinants(Part-2) | Mathematics (Maths) Class 12 - JEE
C1 → C1 + C2 + C3
NCERT Exemplar - Determinants(Part-2) | Mathematics (Maths) Class 12 - JEE
Taking 2 cos x + sin x common from C1
NCERT Exemplar - Determinants(Part-2) | Mathematics (Maths) Class 12 - JEE
R1 → R1 - R2, R2 → R2 - R3
NCERT Exemplar - Determinants(Part-2) | Mathematics (Maths) Class 12 - JEE
⇒ (2 cos x + sin x) (cos x – sin x)= 0
NCERT Exemplar - Determinants(Part-2) | Mathematics (Maths) Class 12 - JEE
Hence, the correct option is (c).

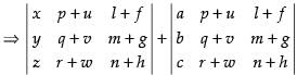
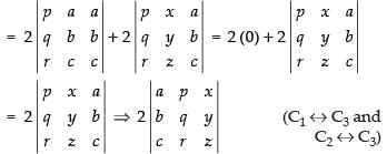
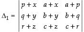
Q.29. If A, B and C are angles of a triangle, then the determinant
NCERT Exemplar - Determinants(Part-2) | Mathematics (Maths) Class 12 - JEEis equal to
(a) 0 
(b) – 1 
(c) 1 
(d) None of these
Ans. (a)
Solution.
LetNCERT Exemplar - Determinants(Part-2) | Mathematics (Maths) Class 12 - JEE
C1 → aC1 + bC2 + cC3
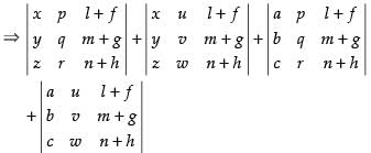
NCERT Exemplar - Determinants(Part-2) | Mathematics (Maths) Class 12 - JEE
NCERT Exemplar - Determinants(Part-2) | Mathematics (Maths) Class 12 - JEENCERT Exemplar - Determinants(Part-2) | Mathematics (Maths) Class 12 - JEE
NCERT Exemplar - Determinants(Part-2) | Mathematics (Maths) Class 12 - JEE
Hence, the correct option is (a).

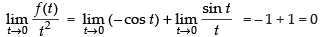
Q.30. LetNCERT Exemplar - Determinants(Part-2) | Mathematics (Maths) Class 12 - JEE is equal to
(a) 0 
(b) – 1 
(c) 2 
(d) 3
Ans. (a)
Solution.

We have f(t) =NCERT Exemplar - Determinants(Part-2) | Mathematics (Maths) Class 12 - JEE
Expanding along R1
NCERT Exemplar - Determinants(Part-2) | Mathematics (Maths) Class 12 - JEE
= cos t(t2 - 2t2 ) - t( 2t sint - 2t sint )+ ( 2t sint- t sint )
= -t2 cos t+ t sin t
NCERT Exemplar - Determinants(Part-2) | Mathematics (Maths) Class 12 - JEE
NCERT Exemplar - Determinants(Part-2) | Mathematics (Maths) Class 12 - JEE
NCERT Exemplar - Determinants(Part-2) | Mathematics (Maths) Class 12 - JEE
Hence, the correct option is (a).

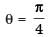
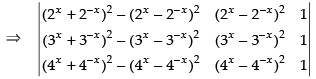
Q.31. The maximum value ofNCERT Exemplar - Determinants(Part-2) | Mathematics (Maths) Class 12 - JEEis (θ  is real number)
(a) 1/2
(b) √3/2
(c) √2
(d) 2√3/4

Ans. (a)
Solution.

Given that:NCERT Exemplar - Determinants(Part-2) | Mathematics (Maths) Class 12 - JEE
C1 → C1 - C2, C2 → C2 - C3
NCERT Exemplar - Determinants(Part-2) | Mathematics (Maths) Class 12 - JEE
Expanding along R1
NCERT Exemplar - Determinants(Part-2) | Mathematics (Maths) Class 12 - JEE
NCERT Exemplar - Determinants(Part-2) | Mathematics (Maths) Class 12 - JEE
but maximum value of sin 2θ = 1NCERT Exemplar - Determinants(Part-2) | Mathematics (Maths) Class 12 - JEE
Hence, the correct option is (a).

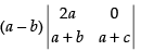
Q.32. IfNCERT Exemplar - Determinants(Part-2) | Mathematics (Maths) Class 12 - JEE then
(a) f (a) = 0 
(b) f (b) = 0 
(c) f (0) = 0 
(d) f (1) = 0
Ans. (c)
Solution.

Given that:NCERT Exemplar - Determinants(Part-2) | Mathematics (Maths) Class 12 - JEE
NCERT Exemplar - Determinants(Part-2) | Mathematics (Maths) Class 12 - JEE
Expanding along R1 =NCERT Exemplar - Determinants(Part-2) | Mathematics (Maths) Class 12 - JEE
= (a – b) [2a(a + c)] = (a – b) × 2a × (a + c) ≠ 0
NCERT Exemplar - Determinants(Part-2) | Mathematics (Maths) Class 12 - JEE
Expanding along R1
NCERT Exemplar - Determinants(Part-2) | Mathematics (Maths) Class 12 - JEE
= - (b - a) [( - 2b) (b - c)] = 2b(b – a) (b – c) ≠ 0
NCERT Exemplar - Determinants(Part-2) | Mathematics (Maths) Class 12 - JEE
Expanding along R1 =NCERT Exemplar - Determinants(Part-2) | Mathematics (Maths) Class 12 - JEE
= a(bc) – b(ac)= abc – abc = 0
Hence, the correct option is (c). 

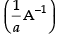
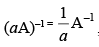
Q.33. IfNCERT Exemplar - Determinants(Part-2) | Mathematics (Maths) Class 12 - JEE, then A–1 exists if
(a) λ = 2 
(b) λ ≠ 2 
(c) λ ≠ – 2 
(d) None of these
Ans. (d)
Solution.

We have,
NCERT Exemplar - Determinants(Part-2) | Mathematics (Maths) Class 12 - JEE
Expanding along R1 =NCERT Exemplar - Determinants(Part-2) | Mathematics (Maths) Class 12 - JEE
= 2(6 – 5) – λ(0 – 5) – 3(0 – 2)
= 2 + 5λ + 6 = 8 + 5λ
If A–1 exists then |A| ≠ 0
∴ 8 + 5λ ≠ 0  so λ ≠NCERT Exemplar - Determinants(Part-2) | Mathematics (Maths) Class 12 - JEE
Hence, the correct option is (d).

Q.34. If A and B are invertible matrices, then which of the following is not correct?
(a) adj A = |A| × A-1 
(b) det (A)-1 = [det(A)]-1 
(c) (AB)-1 = B-1A-1 
(d) (A + B)-1 = B-1 + A-1
Ans. (d)
Solution.

If A and B are two invertible matrices then
(a) adj A = |A| × A-1 is correct
(b) det (A)–1 = [det(A)]–1 =NCERT Exemplar - Determinants(Part-2) | Mathematics (Maths) Class 12 - JEE is correct
(c) Also, (AB)–1 = B–1A–1 is correct
(d) (A + B)-1NCERT Exemplar - Determinants(Part-2) | Mathematics (Maths) Class 12 - JEEadj (A + B)
∴ (A + B)-1 ≠ B-1+ A-1
Hence, the correct option is (d).

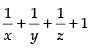
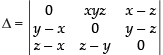
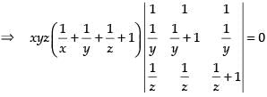
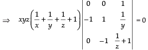
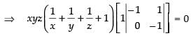
Q.35. If x, y, z are all different from zero andNCERT Exemplar - Determinants(Part-2) | Mathematics (Maths) Class 12 - JEE then value of x–1 + y–1 + z–1 is
(a) xyz 
(b) x–1y–1z–1 
(c) – x – y – z 
(d) –1
Ans. (d)
Solution.

Given that
NCERT Exemplar - Determinants(Part-2) | Mathematics (Maths) Class 12 - JEE
Taking x, y and z common from R1, R2 and R3 respectively.
NCERT Exemplar - Determinants(Part-2) | Mathematics (Maths) Class 12 - JEE
R1 → R1 + R2 + R3
NCERT Exemplar - Determinants(Part-2) | Mathematics (Maths) Class 12 - JEE
TakingNCERT Exemplar - Determinants(Part-2) | Mathematics (Maths) Class 12 - JEEcommon from R1
NCERT Exemplar - Determinants(Part-2) | Mathematics (Maths) Class 12 - JEE
C1 → C1 - C2, C2 → C2 - C3
NCERT Exemplar - Determinants(Part-2) | Mathematics (Maths) Class 12 - JEE
Expanding along R1
NCERT Exemplar - Determinants(Part-2) | Mathematics (Maths) Class 12 - JEE
NCERT Exemplar - Determinants(Part-2) | Mathematics (Maths) Class 12 - JEE
NCERT Exemplar - Determinants(Part-2) | Mathematics (Maths) Class 12 - JEE+ 1 = 0 and xyz ≠ 0 (x ≠ y ≠ z ≠ 0)

∴ x–1 + y–1 + z–1 = – 1
Hence, the correct option is (d).

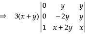
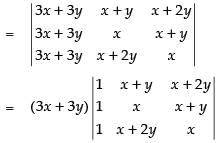
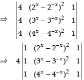
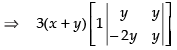
Q.36. The value of the determinantNCERT Exemplar - Determinants(Part-2) | Mathematics (Maths) Class 12 - JEE
(a) 9x2(x + y) 
(b) 9y2(x + y) 
(c) 3y2(x + y) 
(d) 7x2(x + y)
Ans. (b)
Solution.

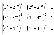
LetNCERT Exemplar - Determinants(Part-2) | Mathematics (Maths) Class 12 - JEE
C1 → C1 + C2 + C3
NCERT Exemplar - Determinants(Part-2) | Mathematics (Maths) Class 12 - JEE
[Taking (3x + 3y) common from C1]  
R1 → R1 - R2, R2 → R2 - R3
NCERT Exemplar - Determinants(Part-2) | Mathematics (Maths) Class 12 - JEE
Expanding along C1
NCERT Exemplar - Determinants(Part-2) | Mathematics (Maths) Class 12 - JEE
⇒ 3(x + y) (y2 + 2y2) ⇒ 3(x + y) (3y2) ⇒ 9y2(x + y)
Hence, the correct option is (b).

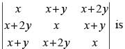
Q.37. There are two values of a which makes determinant,
NCERT Exemplar - Determinants(Part-2) | Mathematics (Maths) Class 12 - JEEthen sum of these number is
(a) 4 
(b) 5 
(c) – 4 
(d) 9
Ans. (c)
Solution.

Given that,NCERT Exemplar - Determinants(Part-2) | Mathematics (Maths) Class 12 - JEE
Expanding along C1
NCERT Exemplar - Determinants(Part-2) | Mathematics (Maths) Class 12 - JEE

⇒ (2a2 + 4) – 2(– 4a – 20) = 86 

⇒ 2a2 + 4 + 8a + 40 = 86
⇒ 2a2 + 8a + 4 + 40 – 86 = 0 

⇒ 2a2 + 8a – 42 = 0

⇒ a2 + 4a – 21 = 0

⇒ a2 + 7a – 3a – 21 = 0
⇒ a(a + 7) – 3(a + 7) = 0
⇒ (a – 3) (a + 7) = 0
∴ a = 3, – 7
Required sum of the two numbers = 3 – 7 = – 4.
Hence, the correct option is (c).

Fill in the blanks
Q.38. If A is a matrix of order 3 × 3, then |3A| = _______ .
Ans.
We know that for a matrix of order 3 × 3,
|KA| = K3 |A|
NCERT Exemplar - Determinants(Part-2) | Mathematics (Maths) Class 12 - JEE

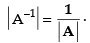
Q.39. If A is invertible matrix of order 3 × 3, then |A –1 |  _______ .
Ans.
We know that for an invertible matrix A of any order,
NCERT Exemplar - Determinants(Part-2) | Mathematics (Maths) Class 12 - JEE

Q.40. If x, y, z ∈ R, then the value of determinant
NCERT Exemplar - Determinants(Part-2) | Mathematics (Maths) Class 12 - JEEis equal to  _______.
Ans.
We have,NCERT Exemplar - Determinants(Part-2) | Mathematics (Maths) Class 12 - JEE
C1 → C1 - C2
NCERT Exemplar - Determinants(Part-2) | Mathematics (Maths) Class 12 - JEE
NCERT Exemplar - Determinants(Part-2) | Mathematics (Maths) Class 12 - JEE[applying (a + b)2 – (a – b)2 = 4ab]
NCERT Exemplar - Determinants(Part-2) | Mathematics (Maths) Class 12 - JEE
(Taking 4 common from C1)
⇒ 4 × 0 = 0 (∵ C1 and C3 are identical columns)

Q.41. If cos 2θ = 0,NCERT Exemplar - Determinants(Part-2) | Mathematics (Maths) Class 12 - JEE=_______ .
Ans.
Given that: cos 2θ = 0
NCERT Exemplar - Determinants(Part-2) | Mathematics (Maths) Class 12 - JEE
NCERT Exemplar - Determinants(Part-2) | Mathematics (Maths) Class 12 - JEE
The determinant can be written as
NCERT Exemplar - Determinants(Part-2) | Mathematics (Maths) Class 12 - JEE
Expanding along C1,
NCERT Exemplar - Determinants(Part-2) | Mathematics (Maths) Class 12 - JEE

Q.42. If A is a matrix of order 3 × 3, then (A 2)–1  = ________.
Ans.
For any square matrix A, (A2)–1 = (A–1)2.

Q.43. If A is a matrix of order 3 × 3, then number of minors in determinant of A are ________.
Ans.
The order of a matrix is 3 × 3
∴ Total number of elements = 3 × 3 = 9
Hence, the number of minors in the determinant is 9.

Q.44. The sum of the products of elements of any row with the co-factors of corresponding elements is equal to _________.
Ans.
The sum of the products of elements of any row with the co-factors of corresponding elements is equal to the value of the determinant of the given matrix.
LetNCERT Exemplar - Determinants(Part-2) | Mathematics (Maths) Class 12 - JEE
Expanding along R1
NCERT Exemplar - Determinants(Part-2) | Mathematics (Maths) Class 12 - JEE
⇒ a11M11 + a12M12 + a13M13
(where M11, M12 and M13 are the minors of the corresponding elements)

Q.45. If x = – 9 is a root ofNCERT Exemplar - Determinants(Part-2) | Mathematics (Maths) Class 12 - JEEthen other two roots are __________.
Ans.
We have,NCERT Exemplar - Determinants(Part-2) | Mathematics (Maths) Class 12 - JEE
Expanding along R1
NCERT Exemplar - Determinants(Part-2) | Mathematics (Maths) Class 12 - JEE
⇒ x(x2 – 12) – 3(2x – 14) + 7(12 – 7x) = 0
⇒ x3 – 12x –6x + 42 + 84 – 49x = 0
 x3 – 67x + 126 = 0 ...(1)
The roots of the equation may be the factors of 126 i.e., 2 × 7 × 9
9 is given the root of the determinant put x = 2 in eq. (1)
(2)3 – 67 × 2 + 126 ⇒ 8 - 134 + 126 = 0
Hence, x = 2 is  the other root.
Now, put x = 7 in eq. (1)
(7)3 – 67(7) + 126 ⇒ 343 - 469 + 126 = 0
Hence, x = 7 is  also the other root of the determinant.

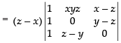
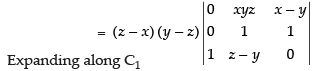
Q.46. NCERT Exemplar - Determinants(Part-2) | Mathematics (Maths) Class 12 - JEE= _______.
Ans.
LetNCERT Exemplar - Determinants(Part-2) | Mathematics (Maths) Class 12 - JEE
C1 → C1 – C3
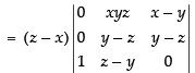
NCERT Exemplar - Determinants(Part-2) | Mathematics (Maths) Class 12 - JEE
Taking (z – x) common from C1
NCERT Exemplar - Determinants(Part-2) | Mathematics (Maths) Class 12 - JEE
R→ R1 - R2, R2 → R2 - R3
NCERT Exemplar - Determinants(Part-2) | Mathematics (Maths) Class 12 - JEE
Taking (y – z) common from R2
NCERT Exemplar - Determinants(Part-2) | Mathematics (Maths) Class 12 - JEE
NCERT Exemplar - Determinants(Part-2) | Mathematics (Maths) Class 12 - JEE
= (z – x) (y – z) (xyz – x + y) =  (y – z) (z – x) (y – x + xyz)

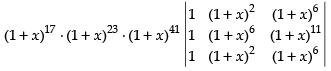
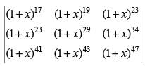
Q.47. If f(x)  =NCERT Exemplar - Determinants(Part-2) | Mathematics (Maths) Class 12 - JEE= A + Bx + Cx+ ..., then A =  ________.
Ans.
Given that
NCERT Exemplar - Determinants(Part-2) | Mathematics (Maths) Class 12 - JEE
Taking (1 + x)17, (1 + x)23 and (1 + x)41 common from R1, R2 and R3 respectively
NCERT Exemplar - Determinants(Part-2) | Mathematics (Maths) Class 12 - JEE
⇒ (1 + x)17 . (1+x)23 . (1+x)41 . 0 (R1 and R3 are identical)
∴ 0 = A + Bx + Cx2 + &
By comparing the like terms, we get A = 0.

State True or False for the statements of the following Exercises:
Q.48. ( A3 ) –1 = ( A −1 )3 , where A is a square matrix and |A| ≠ 0.
Ans.
Since (AK)–1 = (A–1)K where K ∈ N
So, (A3)-1 = (A-1)is true

Q.49. NCERT Exemplar - Determinants(Part-2) | Mathematics (Maths) Class 12 - JEE, where a is any real number and A is a square matrix.
Ans.
If A is a non-singular square matrix, then for any non-zero
scalar ‘a‘, aA is invertible.
NCERT Exemplar - Determinants(Part-2) | Mathematics (Maths) Class 12 - JEE
So, (aA) is inverse ofNCERT Exemplar - Determinants(Part-2) | Mathematics (Maths) Class 12 - JEE
NCERT Exemplar - Determinants(Part-2) | Mathematics (Maths) Class 12 - JEEis true.

Q.50. |A–1| ≠ |A|–1 , where A is non-singular matrix.
Ans.
False.
Since NCERT Exemplar - Determinants(Part-2) | Mathematics (Maths) Class 12 - JEE= NCERT Exemplar - Determinants(Part-2) | Mathematics (Maths) Class 12 - JEEfor a non-singular matrix.

Q.51. If A and B are matrices of order 3 and |A| = 5 , |B| = 3 , then |3AB|  = 27 × 5 × 3 = 405.
Ans.
True.
NCERT Exemplar - Determinants(Part-2) | Mathematics (Maths) Class 12 - JEE

Q.52. If the value of a third order determinant is 12, then the value of the determinant formed by replacing each element by its co-factor will be 144.
Ans.
True.
Since NCERT Exemplar - Determinants(Part-2) | Mathematics (Maths) Class 12 - JEE
If A is a square matrix of order n
thenNCERT Exemplar - Determinants(Part-2) | Mathematics (Maths) Class 12 - JEE
NCERT Exemplar - Determinants(Part-2) | Mathematics (Maths) Class 12 - JEE

Q.53. NCERT Exemplar - Determinants(Part-2) | Mathematics (Maths) Class 12 - JEE, where a, b, c are in A.P.
Ans.
True.
LetNCERT Exemplar - Determinants(Part-2) | Mathematics (Maths) Class 12 - JEE
R2 → 2R2 - (R1 + R3)
NCERT Exemplar - Determinants(Part-2) | Mathematics (Maths) Class 12 - JEE
a, b, c are in A.P.
∴ b – a = c – b ⇒ 2b = a + c
NCERT Exemplar - Determinants(Part-2) | Mathematics (Maths) Class 12 - JEE

Q.54. |adj. A| = |A|2 , where A is a square matrix of order two.
Ans.
False.
SinceNCERT Exemplar - Determinants(Part-2) | Mathematics (Maths) Class 12 - JEEwhere n is the order of the square matrix.

Q.55. The determinantNCERT Exemplar - Determinants(Part-2) | Mathematics (Maths) Class 12 - JEEis equal to zero.
Ans.
True.
LetNCERT Exemplar - Determinants(Part-2) | Mathematics (Maths) Class 12 - JEE
Splitting up C3
NCERT Exemplar - Determinants(Part-2) | Mathematics (Maths) Class 12 - JEE
NCERT Exemplar - Determinants(Part-2) | Mathematics (Maths) Class 12 - JEE[∵ C1 and C3 are identical]
NCERT Exemplar - Determinants(Part-2) | Mathematics (Maths) Class 12 - JEE
[Taking cos A and cos B common from C2 and C3 respectively]
= cos A cos B (0) [∵ C2 and C3 are identical]
= 0

Q.56. If the determinantNCERT Exemplar - Determinants(Part-2) | Mathematics (Maths) Class 12 - JEEsplits into exactly K determinants of order 3, each element of which contains only one term, then the value of K is 8.
Ans.
True.
LetNCERT Exemplar - Determinants(Part-2) | Mathematics (Maths) Class 12 - JEE
Splitting up C1
NCERT Exemplar - Determinants(Part-2) | Mathematics (Maths) Class 12 - JEE
Splitting up C2 in both determinants
NCERT Exemplar - Determinants(Part-2) | Mathematics (Maths) Class 12 - JEE
Similarly by splitting C3 in each determinant, we will get 8 determinants.

Q.57. LetNCERT Exemplar - Determinants(Part-2) | Mathematics (Maths) Class 12 - JEE thenNCERT Exemplar - Determinants(Part-2) | Mathematics (Maths) Class 12 - JEE
Ans. True.
Given that:NCERT Exemplar - Determinants(Part-2) | Mathematics (Maths) Class 12 - JEE
L.H.S.NCERT Exemplar - Determinants(Part-2) | Mathematics (Maths) Class 12 - JEE
C1 → C1 + C2 + C3
NCERT Exemplar - Determinants(Part-2) | Mathematics (Maths) Class 12 - JEE
[Taking 2 common from C1]
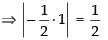
C1 → C1 - C2  =NCERT Exemplar - Determinants(Part-2) | Mathematics (Maths) Class 12 - JEE
C3 → C3 - C1d  =NCERT Exemplar - Determinants(Part-2) | Mathematics (Maths) Class 12 - JEE
Splitting up C2
NCERT Exemplar - Determinants(Part-2) | Mathematics (Maths) Class 12 - JEE
= 2 × 16 = 32

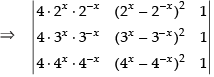
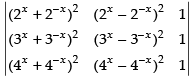
Q.58. The maximum value ofNCERT Exemplar - Determinants(Part-2) | Mathematics (Maths) Class 12 - JEE
Ans.
True.
LetNCERT Exemplar - Determinants(Part-2) | Mathematics (Maths) Class 12 - JEE
C1 → C1 - C2, C2 → C2 - C3
NCERT Exemplar - Determinants(Part-2) | Mathematics (Maths) Class 12 - JEE
Expanding along C3
NCERT Exemplar - Determinants(Part-2) | Mathematics (Maths) Class 12 - JEE= sin θ cos θ – 0 = sin θ cos θ
NCERT Exemplar - Determinants(Part-2) | Mathematics (Maths) Class 12 - JEE
NCERT Exemplar - Determinants(Part-2) | Mathematics (Maths) Class 12 - JEE[Maximum value of sin 2θ = 1]
NCERT Exemplar - Determinants(Part-2) | Mathematics (Maths) Class 12 - JEE 

The document NCERT Exemplar - Determinants(Part-2) | Mathematics (Maths) Class 12 - JEE is a part of the JEE Course Mathematics (Maths) Class 12.
All you need of JEE at this link: JEE
223 videos|377 docs|167 tests

FAQs on NCERT Exemplar - Determinants(Part-2) - Mathematics (Maths) Class 12 - JEE

1. What are the properties of determinants?
Ans. The properties of determinants are as follows: 1. If two rows or columns of a determinant are interchanged, then the sign of the determinant changes. 2. If any two rows or columns of a determinant are identical, then the value of the determinant is zero. 3. If any row or column of a determinant is multiplied by a constant, then the value of the determinant is also multiplied by the same constant. 4. If we multiply each element of a row or column of a determinant by a constant and add them to the corresponding elements of another row or column, then the value of the determinant remains unchanged. 5. If all the elements of a row or column of a determinant are zero, then the value of the determinant is zero.
2. How can we find the determinant of a 2x2 matrix?
Ans. To find the determinant of a 2x2 matrix, we follow these steps: 1. Consider a 2x2 matrix [a b; c d]. 2. The determinant is given by the formula |A| = ad - bc. 3. Substitute the values of a, b, c, and d into the formula. 4. Multiply ad and bc. 5. Subtract the product of bc from ad to obtain the determinant value.
3. Can a determinant have a negative value?
Ans. Yes, a determinant can have a negative value. The sign of the determinant depends on the properties of the matrix. If the determinant satisfies certain conditions, it can be negative. For example, if the number of row interchanges required to bring a matrix to its row-echelon form is odd, then the determinant will be negative. On the other hand, if the number of row interchanges is even, the determinant will be positive.
4. What is the significance of determinants in linear algebra?
Ans. Determinants play a significant role in linear algebra: 1. Determinants help determine whether a system of linear equations has a unique solution, infinite solutions, or no solution. 2. They can be used to find the area and volume of geometric shapes. 3. Determinants are also used to solve problems in vector calculus, such as finding the curl and divergence of a vector field. 4. They are essential in finding the inverse of a matrix, as a matrix is invertible if and only if its determinant is non-zero. 5. Determinants are used in various other applications, such as solving differential equations, solving optimization problems, and analyzing matrices in computer graphics.
5. Is it possible to have a zero determinant for a non-zero matrix?
Ans. No, it is not possible to have a zero determinant for a non-zero matrix. If a matrix has a zero determinant, it is called a singular matrix or a non-invertible matrix. A non-zero matrix always has a non-zero determinant. The determinant of a matrix represents its linear independence, and if the determinant is zero, it implies that the matrix's rows or columns are linearly dependent. Thus, a non-zero matrix cannot have a zero determinant.
Related Searches

NCERT Exemplar - Determinants(Part-2) | Mathematics (Maths) Class 12 - JEE

,

Summary

,

Previous Year Questions with Solutions

,

NCERT Exemplar - Determinants(Part-2) | Mathematics (Maths) Class 12 - JEE

,

Important questions

,

MCQs

,

Viva Questions

,

NCERT Exemplar - Determinants(Part-2) | Mathematics (Maths) Class 12 - JEE

,

Exam

,

mock tests for examination

,

pdf

,

study material

,

ppt

,

video lectures

,

shortcuts and tricks

,

Objective type Questions

,

practice quizzes

,

Sample Paper

,

Extra Questions

,

Free

,

past year papers

,

Semester Notes

;