Class 8 Exam  >  Class 8 Notes  >  NCERT Solution (Ex-2.6) - Chapter 2: Linear Equations in One Variable, Maths, Class 8

NCERT Solution (Ex-2.6) - Chapter 2: Linear Equations in One Variable, Maths, Class 8 PDF Download

Linear Equations in one variable

Exercise 2.6

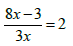
Question 1:
Solve the following equation:

Answer 1:

 8x-3= 2*3x

8x-3 =6x

8x-6x=3

2x=3

x=3/2

Question 2:
Solve the following equation: 

Answer 2:

 9x=15(7-6x)

 9x=105-90x

 9x+90x=105

 99x=105

 x=105/99  35/33

 

Question 3:
Solve the following equation:  

Answer 3:

 z*9 =4(z+15)

9z=4z+60

9z-4z=60

5z=60

z=60/5     z=12

 

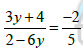
Question 4:
Solve the following equation 

Answer

5(3y+4) = -2(2-6y)

15y+20= -4+12y

15y-12y=-4-20

 3y= -24     y=-24/3    y=-8

Question 5:
Solve the following equation:
 

Answer

          y=-20/25                

  y=-4/5

Question 6:
The ages of Hari and Harry are in the ratio 5:7. Four years from now the ratio of their ages will be 3:4. Find their present ages.

Answer 6:
Let the Ages of Hari and Harry be 5x years and 7x years.

According to question, 

Hence, the age of Hari = 5x = 5 x 4 = 20 years and the age of Harry = 7x = 7 x 4 = 28 years.

Question 7:
The denominator of a rational number is greater than its numerator by 8. If the numerator is increased by 17 and the denominator is decreased by 1, the number obtained is 3/2 Find the rational number.

Answer 7:
Let the numerator of a rational number be x, then the denominator is x +8.

Therefore, Rational number x/(x+8)

According to the question,

      2(x+17)= 3(x+7)

      2x+34 = 3x+21

      2x-3x=21-34

      -x= -13            
     x=13

Hence, the required rational number

The document NCERT Solution (Ex-2.6) - Chapter 2: Linear Equations in One Variable, Maths, Class 8 is a part of Class 8 category.
All you need of Class 8 at this link: Class 8

FAQs on NCERT Solution (Ex-2.6) - Chapter 2: Linear Equations in One Variable, Maths, Class 8

1. What is a linear equation in one variable?
Ans. A linear equation in one variable is an equation in which the variable occurs only with the power of one and the equation can be represented by a straight line on a graph. The general form of a linear equation in one variable is ax + b = 0, where x is the variable, a and b are constants.
2. What are the methods to solve linear equations in one variable?
Ans. There are mainly two methods to solve linear equations in one variable: 1. Balance method: This method involves balancing both sides of the equation by adding, subtracting, multiplying, or dividing the same value on both sides until the variable is isolated. 2. Cross-multiplication method: This method involves multiplying both sides of the equation by the same value to eliminate fractions and simplify the equation.
3. How do you check the solution of a linear equation in one variable?
Ans. To check the solution of a linear equation in one variable, substitute the value of the variable obtained by solving the equation into the original equation. If the equation is satisfied, then the value of the variable is the solution of the equation.
4. What are the applications of linear equations in one variable in real life?
Ans. Linear equations in one variable have several applications in real life, such as: 1. Calculating distance, speed, and time in physics and engineering. 2. Calculating profit and loss in business and economics. 3. Calculating the amount of medicine to be given to a patient based on their weight in medicine and healthcare. 4. Calculating the amount of fertilizer to be used in agriculture based on the size of the land. 5. Calculating the number of seats to be sold in a theater to break even in the entertainment industry.
5. Can a linear equation in one variable have no solution or infinite solutions?
Ans. Yes, a linear equation in one variable can have no solution or infinite solutions. If the coefficients of the variable on both sides of the equation are equal, then the equation will have infinite solutions. If the coefficients are not equal and the equation cannot be balanced, then the equation will have no solution.
Download as PDF

Top Courses for Class 8

Related Searches

practice quizzes

,

mock tests for examination

,

Maths

,

Important questions

,

MCQs

,

Maths

,

NCERT Solution (Ex-2.6) - Chapter 2: Linear Equations in One Variable

,

Exam

,

past year papers

,

Class 8

,

Free

,

Extra Questions

,

Summary

,

Previous Year Questions with Solutions

,

Sample Paper

,

study material

,

Maths

,

NCERT Solution (Ex-2.6) - Chapter 2: Linear Equations in One Variable

,

Semester Notes

,

video lectures

,

pdf

,

NCERT Solution (Ex-2.6) - Chapter 2: Linear Equations in One Variable

,

Class 8

,

Objective type Questions

,

shortcuts and tricks

,

Viva Questions

,

Class 8

,

ppt

;