Class 9 Exam  >  Class 9 Notes  >  NCERT Solutions Chapter 1 - Number System (II), Class 9, Maths

NCERT Solutions Chapter 1 - Number System (II), Class 9, Maths PDF Download

Exercises 1.4

 

1. Visualise 3.765 on the number line using successive magnification.

Answer

NCERT, CBSE, Class IX, Mathematics, Solved, Question and Answer, Q and A, Number Systems

 

2. Visualise NCERT, CBSE, Class IX, Mathematics, Solved, Question and Answer, Q and A, Number Systems on the number line, up to 4 decimal places.

Answer

 

NCERT, CBSE, Class IX, Mathematics, Solved, Question and Answer, Q and A, Number Systems  = 4.2626

NCERT, CBSE, Class IX, Mathematics, Solved, Question and Answer, Q and A, Number Systems

 

Exercise 1.5

1. Classify the following numbers as rational or irrational:

(i) 2 - √5

(ii) (3 + √23) - √23

(iii) 2√7/7√7

(iv) 1/√2

(v) 2π

 

Answer

(i) 2 - √5 = 2 - 2.2360679… = - 0.2360679…
Since the number is is non-terminating non-recurring therefore, it is an irrational number.

(ii) (3 + √23) - √23 = 3 + √23 - √23 = 3 = 3/1
Since the number is rational number as it can represented in p/form.

(iii) 2√7/7√7 = 2/7
Since the number is rational number as it can represented in p/form.

(iv) 1/√2 = √2/2 = 0.7071067811...
Since the number is is non-terminating non-recurring therefore, it is an irrational number.

(v) 2π = 2 × 3.1415… = 6.2830…
Since the number is is non-terminating non-recurring therefore, it is an irrational number.

 

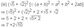
2. Simplify each of the following expressions:

(i) (3 +√3) (2 + √2)

(ii) (3 +√3) (3 - √3)

(iii) (√5 + √2)2

(iv) (√5 - √2) (√5 + √2)

Answer

NCERT, CBSE, Class IX, Mathematics, Solved, Question and Answer, Q and A, Number Systems

NCERT, CBSE, Class IX, Mathematics, Solved, Question and Answer, Q and A, Number Systems

NCERT, CBSE, Class IX, Mathematics, Solved, Question and Answer, Q and A, Number Systems

NCERT, CBSE, Class IX, Mathematics, Solved, Question and Answer, Q and A, Number Systems

 

3. Recall, π is defined as the ratio of the circumference (say c) of a circle to its diameter (say d). That is, π = c/d. This seems to contradict the fact that π is irrational. How will you resolve this contradiction?

Answer

There is no contradiction. When we measure a value with a scale, we only obtain an approximate value. We never obtain an exact value. Therefore, we may not realise that either c or d is irrational. The value of π is almost equal to 22/7 or 3.142857...

 

4. Represent √9.3 on the number line.

Answer

Step 1: Draw a line segment of unit 9.3. Extend it to C so that BC is of 1 unit.

Step 2: Now, AC = 10.3 units. Find the centre of AC and name it as O.

Step 3: Draw a semi circle with radius OC and centre O.

Step 4: Draw a perpendicular line BD to AC at point B which intersect the semicircle at D. Also, Join OD.

Step 5: Now, OBD is a right angled triangle.
Here, OD = 10.3/2 (radius of semi circle), OC = 10.3/2, BC = 1
OB = OC – BC = (10.3/2) – 1 = 8.3/2
Using Pythagoras theorem,
OD2 = BD2 OB2
⇒ (10.3/2)2 = BD2 (8.3/2)2
⇒ BD2 = (10.3/2)2 - (8.3/2)2
⇒ BD2 = (10.3/2 – 8.3/2) (10.3/2 8.3/2)
⇒ BD2 = 9.3
⇒ BD2 =  √9.3
Thus, the length of BD is √9.3.
Step 6: Taking BD as radius and B as centre draw an arc which touches the line segment. The point where it touches the line segment is at a distance of √9.3 from O as shown in the figure

NCERT, CBSE, Class IX, Mathematics, Solved, Question and Answer, Q and A, Number Systems

 

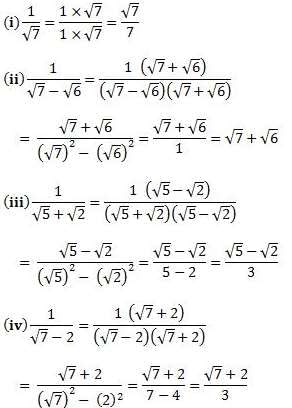
5. Rationalise the denominators of the following:

(i) 1/√7

(ii) 1/√7-√6

(iii) 1/√5 + √2

(iv) 1/√7-2

Answer

NCERT, CBSE, Class IX, Mathematics, Solved, Question and Answer, Q and A, Number Systems

 

Exercise 1.6

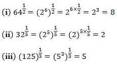
 1. Find:
 (i) 641/2
 (ii) 321/5
 (iii) 1251/3


Answer

NCERT, CBSE, Class IX, Mathematics, Solved, Question and Answer, Q and A, Number Systems

 

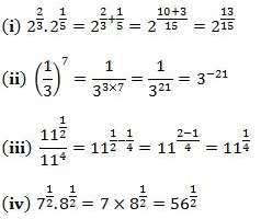
3. Simplify:

(i) 22/3.21/5

(ii) (1/33)7

(iii) 111/2/111/4

(iv) 71/2.81/2


Answer

NCERT, CBSE, Class IX, Mathematics, Solved, Question and Answer, Q and A, Number Systems

The document NCERT Solutions Chapter 1 - Number System (II), Class 9, Maths is a part of Class 9 category.
All you need of Class 9 at this link: Class 9

FAQs on NCERT Solutions Chapter 1 - Number System (II), Class 9, Maths

1. What are irrational numbers?
Ans. Irrational numbers are real numbers that cannot be expressed as the ratio of two integers. They are non-repeating and non-terminating decimals. Examples of irrational numbers are √2, √3, √5, π, etc.
2. What is a rational number?
Ans. Rational numbers are real numbers that can be expressed as the ratio of two integers. They are either terminating or repeating decimals. Examples of rational numbers are 1/2, 3/4, 0.25, etc.
3. What is the difference between a real number and an imaginary number?
Ans. A real number is a number that can be represented on the number line. It can be positive, negative, or zero. An imaginary number is a number that cannot be represented on the number line. It is expressed as a multiple of the imaginary unit i, where i = √-1.
4. What are the different types of numbers in the number system?
Ans. The different types of numbers in the number system are natural numbers, whole numbers, integers, rational numbers, irrational numbers, and real numbers.
5. What is the decimal expansion of an irrational number?
Ans. The decimal expansion of an irrational number is a non-repeating, non-terminating decimal. It goes on forever without repeating a pattern. For example, the decimal expansion of √2 is 1.41421356… and the decimal expansion of π is 3.14159265….
Download as PDF

Top Courses for Class 9

Related Searches

Maths

,

Class 9

,

ppt

,

Previous Year Questions with Solutions

,

Sample Paper

,

Maths

,

past year papers

,

pdf

,

MCQs

,

study material

,

NCERT Solutions Chapter 1 - Number System (II)

,

Free

,

shortcuts and tricks

,

Maths

,

video lectures

,

Class 9

,

Class 9

,

mock tests for examination

,

practice quizzes

,

Objective type Questions

,

Extra Questions

,

Viva Questions

,

NCERT Solutions Chapter 1 - Number System (II)

,

Semester Notes

,

NCERT Solutions Chapter 1 - Number System (II)

,

Exam

,

Summary

,

Important questions

;