Commerce Exam  >  Commerce Notes  >  Mathematics (Maths) Class 11  >  NCERT Solutions: Exercise: Miscellaneous - Complex Numbers

NCERT Solutions Class 11 Maths Chapter 4 - Complex Numbers and Quadratic Equations

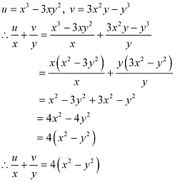
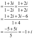
Question 1: Evaluate: NCERT Solutions Class 11 Maths Chapter 4 - Complex Numbers and Quadratic Equations

Answer:

 NCERT Solutions Class 11 Maths Chapter 4 - Complex Numbers and Quadratic Equations

 

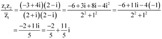
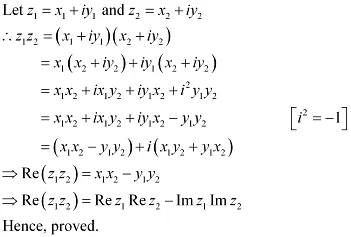
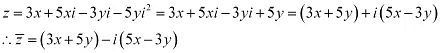
Question 2: For any two complex numbers z1 and z2, prove that

Re (z1z2) = Re zRe z2 – Im z1 Im z2

Answer:

 NCERT Solutions Class 11 Maths Chapter 4 - Complex Numbers and Quadratic Equations

 

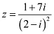
Question 3: Reduce NCERT Solutions Class 11 Maths Chapter 4 - Complex Numbers and Quadratic Equations to the standard form.

Answer:

 NCERT Solutions Class 11 Maths Chapter 4 - Complex Numbers and Quadratic Equations

NCERT Solutions Class 11 Maths Chapter 4 - Complex Numbers and Quadratic Equations [ On Multiplying numerator and denomunator by (14 + 5i)

 

NCERT Solutions Class 11 Maths Chapter 4 - Complex Numbers and Quadratic Equations

 

Question 4: If xiy = NCERT Solutions Class 11 Maths Chapter 4 - Complex Numbers and Quadratic Equations prove that NCERT Solutions Class 11 Maths Chapter 4 - Complex Numbers and Quadratic Equations.

Answer:

NCERT Solutions Class 11 Maths Chapter 4 - Complex Numbers and Quadratic Equations [ On Multiplying numerator and denomunator by (c + id)]

NCERT Solutions Class 11 Maths Chapter 4 - Complex Numbers and Quadratic Equations

 NCERT Solutions Class 11 Maths Chapter 4 - Complex Numbers and Quadratic Equations

 

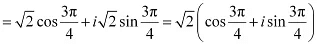
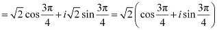
Question 5: Convert the following in the polar form:

(i) NCERT Solutions Class 11 Maths Chapter 4 - Complex Numbers and Quadratic Equations,

(ii) NCERT Solutions Class 11 Maths Chapter 4 - Complex Numbers and Quadratic Equations

 

Answer:

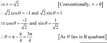
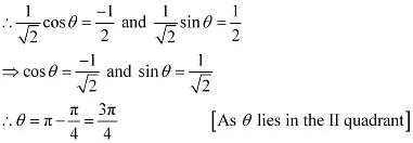
 (i) Here, NCERT Solutions Class 11 Maths Chapter 4 - Complex Numbers and Quadratic Equations

 NCERT Solutions Class 11 Maths Chapter 4 - Complex Numbers and Quadratic Equations

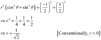
Let cos θ = –1 and r sin θ = 1

On squaring and adding, we obtain

r2 (cos2 θ + sin2 θ) = 1+ 1

⇒ r2 (cos2 θ + sin2 θ) = 2
⇒ r2 = 2     [cos2 θ + sin2 θ = 1]

 NCERT Solutions Class 11 Maths Chapter 4 - Complex Numbers and Quadratic Equations

zr cos θ +  i r sin θ

 NCERT Solutions Class 11 Maths Chapter 4 - Complex Numbers and Quadratic Equations

This is the required polar form.

(ii) Here, NCERT Solutions Class 11 Maths Chapter 4 - Complex Numbers and Quadratic Equations

 NCERT Solutions Class 11 Maths Chapter 4 - Complex Numbers and Quadratic Equations

Let cos θ = –1 and r sin θ = 1

On squaring and adding, we obtain

r2 (cos2 θ + sin2 θ) = 1+ 1
r2 (cos2 θ  +sin2 θ) = 2

⇒ r2 = 2                        [cos2 θ + sin2 θ = 1]

 NCERT Solutions Class 11 Maths Chapter 4 - Complex Numbers and Quadratic Equations

zr cos θ  + i r sin θ

 NCERT Solutions Class 11 Maths Chapter 4 - Complex Numbers and Quadratic Equations

This is the required polar form.


Question 6: Solve the equation

NCERT Solutions Class 11 Maths Chapter 4 - Complex Numbers and Quadratic Equations

Answer:

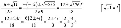
The given quadratic equation is NCERT Solutions Class 11 Maths Chapter 4 - Complex Numbers and Quadratic Equations

This equation can also be written as NCERT Solutions Class 11 Maths Chapter 4 - Complex Numbers and Quadratic Equations

On comparing this equation with ax2 +  bx +  c = 0, we obtain

a = 9, b = –12, and c = 20

Therefore, the discriminant of the given equation is

D = b2 – 4ac = (–12)2 – 4 × 9 × 20 = 144 – 720 = –576

Therefore, the required solutions are

 NCERT Solutions Class 11 Maths Chapter 4 - Complex Numbers and Quadratic Equations

 

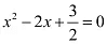
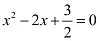
Question 7: Solve the equation NCERT Solutions Class 11 Maths Chapter 4 - Complex Numbers and Quadratic Equations

Answer:

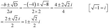
The given quadratic equation is NCERT Solutions Class 11 Maths Chapter 4 - Complex Numbers and Quadratic Equations

This equation can also be written as NCERT Solutions Class 11 Maths Chapter 4 - Complex Numbers and Quadratic Equations

On comparing this equation with ax2 +  bx +  c = 0, we obtain

a = 2, b = –4, and c = 3

Therefore, the discriminant of the given equation is

D = b2 – 4ac = (–4)2 – 4 × 2 × 3 = 16 – 24 = –8

Therefore, the required solutions are

 NCERT Solutions Class 11 Maths Chapter 4 - Complex Numbers and Quadratic Equations

 

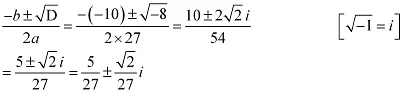
Question 8: Solve the equation 27x2 – 10+ 1 = 0

Answer:

The given quadratic equation is 27x2 – 10x + 1 = 0

On comparing the given equation with ax2 +  bx +  c = 0, we obtain

a = 27, b = –10, and c = 1

Therefore, the discriminant of the given equation is

D = b2 – 4ac = (–10)2 – 4 × 27 × 1 = 100 – 108 = –8

Therefore, the required solutions are

 NCERT Solutions Class 11 Maths Chapter 4 - Complex Numbers and Quadratic Equations

 

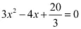
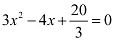
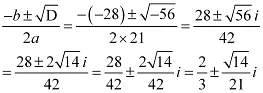
Question 9: Solve the equation 21x2 – 28+ 10 = 0

Answer:

The given quadratic equation is 21x2 – 28x + 10 = 0

On comparing the given equation with ax2 +  bx +  = 0, we obtain

a = 21, b = –28, and c = 10

Therefore, the discriminant of the given equation is

D = b2 – 4ac = (–28)2 – 4 × 21 × 10 = 784 – 840 = –56

Therefore, the required solutions are

 NCERT Solutions Class 11 Maths Chapter 4 - Complex Numbers and Quadratic Equations

 

Question 9: If NCERT Solutions Class 11 Maths Chapter 4 - Complex Numbers and Quadratic Equations  find NCERT Solutions Class 11 Maths Chapter 4 - Complex Numbers and Quadratic Equations.

Answer:

 NCERT Solutions Class 11 Maths Chapter 4 - Complex Numbers and Quadratic Equations

 

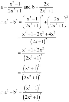
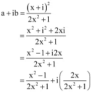
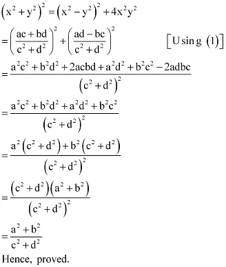
Question 10: If a +  ib = NCERT Solutions Class 11 Maths Chapter 4 - Complex Numbers and Quadratic Equations, prove that a2 +  b2 = NCERT Solutions Class 11 Maths Chapter 4 - Complex Numbers and Quadratic Equations

Answer:

 NCERT Solutions Class 11 Maths Chapter 4 - Complex Numbers and Quadratic Equations

On comparing real and imaginary parts, we obtain

 NCERT Solutions Class 11 Maths Chapter 4 - Complex Numbers and Quadratic Equations

Hence, proved.


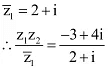
Question 10: Let  NCERT Solutions Class 11 Maths Chapter 4 - Complex Numbers and Quadratic Equations. Find

(i) NCERT Solutions Class 11 Maths Chapter 4 - Complex Numbers and Quadratic Equations,

(ii) NCERT Solutions Class 11 Maths Chapter 4 - Complex Numbers and Quadratic Equations

 

Answer:

 NCERT Solutions Class 11 Maths Chapter 4 - Complex Numbers and Quadratic Equations

(i) NCERT Solutions Class 11 Maths Chapter 4 - Complex Numbers and Quadratic Equations

 NCERT Solutions Class 11 Maths Chapter 4 - Complex Numbers and Quadratic Equations

On multiplying numerator and denominator by (2 – i), we obtain

 NCERT Solutions Class 11 Maths Chapter 4 - Complex Numbers and Quadratic Equations

On comparing real parts, we obtain

NCERT Solutions Class 11 Maths Chapter 4 - Complex Numbers and Quadratic Equations 

(ii) NCERT Solutions Class 11 Maths Chapter 4 - Complex Numbers and Quadratic Equations

On comparing imaginary parts, we obtain

 NCERT Solutions Class 11 Maths Chapter 4 - Complex Numbers and Quadratic Equations

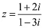
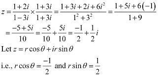
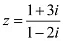
Question 11: Find the modulus and argument of the complex number NCERT Solutions Class 11 Maths Chapter 4 - Complex Numbers and Quadratic Equations.

Answer:

Let NCERT Solutions Class 11 Maths Chapter 4 - Complex Numbers and Quadratic Equations, then

 NCERT Solutions Class 11 Maths Chapter 4 - Complex Numbers and Quadratic Equations

On squaring and adding, we obtain

 NCERT Solutions Class 11 Maths Chapter 4 - Complex Numbers and Quadratic Equations

NCERT Solutions Class 11 Maths Chapter 4 - Complex Numbers and Quadratic Equations

 

Therefore, the modulus and argument of the given complex number are  NCERT Solutions Class 11 Maths Chapter 4 - Complex Numbers and Quadratic Equations respectively.


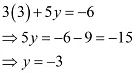
Question 12: Find the real numbers x and y if (xiy) (3+5i) is the conjugate of –6 – 24i.

Answer:

Let NCERT Solutions Class 11 Maths Chapter 4 - Complex Numbers and Quadratic Equations

 NCERT Solutions Class 11 Maths Chapter 4 - Complex Numbers and Quadratic Equations

It is given that, NCERT Solutions Class 11 Maths Chapter 4 - Complex Numbers and Quadratic Equations

 NCERT Solutions Class 11 Maths Chapter 4 - Complex Numbers and Quadratic Equations

Equating real and imaginary parts, we obtain

 NCERT Solutions Class 11 Maths Chapter 4 - Complex Numbers and Quadratic Equations

Multiplying equation (i) by 3 and equation (ii) by 5 and then adding them, we obtain

 NCERT Solutions Class 11 Maths Chapter 4 - Complex Numbers and Quadratic Equations

Putting the value of x in equation (i), we obtain

 NCERT Solutions Class 11 Maths Chapter 4 - Complex Numbers and Quadratic Equations

Thus, the values of and y are 3 and –3 respectively.

 

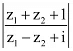
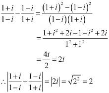
Question 13: Find the modulus of NCERT Solutions Class 11 Maths Chapter 4 - Complex Numbers and Quadratic Equations .

Answer:

 NCERT Solutions Class 11 Maths Chapter 4 - Complex Numbers and Quadratic Equations

 

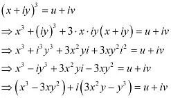
Question 14: If (x  + iy)3 = u  + iv, then show that NCERT Solutions Class 11 Maths Chapter 4 - Complex Numbers and Quadratic Equations.

Answer:

 NCERT Solutions Class 11 Maths Chapter 4 - Complex Numbers and Quadratic Equations

On equating real and imaginary parts, we obtain

 NCERT Solutions Class 11 Maths Chapter 4 - Complex Numbers and Quadratic Equations

Hence, proved.

 

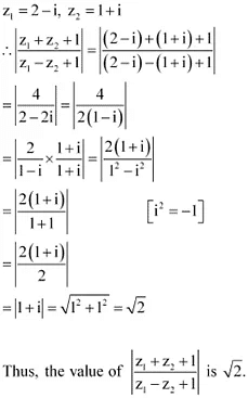
Question 15: If α and β are different complex numbers with NCERT Solutions Class 11 Maths Chapter 4 - Complex Numbers and Quadratic Equations = 1, then find NCERT Solutions Class 11 Maths Chapter 4 - Complex Numbers and Quadratic Equations.

Answer:

Let α = a  + ib and β = x +  iy

It is given that, NCERT Solutions Class 11 Maths Chapter 4 - Complex Numbers and Quadratic Equations

 NCERT Solutions Class 11 Maths Chapter 4 - Complex Numbers and Quadratic Equations

  NCERT Solutions Class 11 Maths Chapter 4 - Complex Numbers and Quadratic Equations

NCERT Solutions Class 11 Maths Chapter 4 - Complex Numbers and Quadratic Equations

NCERT Solutions Class 11 Maths Chapter 4 - Complex Numbers and Quadratic Equations

NCERT Solutions Class 11 Maths Chapter 4 - Complex Numbers and Quadratic Equations  

NCERT Solutions Class 11 Maths Chapter 4 - Complex Numbers and Quadratic Equations

 

Question 16: Find the number of non-zero integral solutions of the equation NCERT Solutions Class 11 Maths Chapter 4 - Complex Numbers and Quadratic Equations.

Answer:

 NCERT Solutions Class 11 Maths Chapter 4 - Complex Numbers and Quadratic Equations

Thus, 0 is the only integral solution of the given equation. Therefore, the number of non-zero integral solutions of the given equation is 0.

 

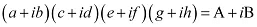
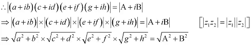
Question 17: If (a  + ib) (c +  id) (e +  if) (g  + ih) = A + iB, then show that

(a2  + b2) (c2+   d2) (e2 +  f2) (g2 +  h2) = A2  +B2.

 

Answer:

 NCERT Solutions Class 11 Maths Chapter 4 - Complex Numbers and Quadratic Equations

 NCERT Solutions Class 11 Maths Chapter 4 - Complex Numbers and Quadratic Equations

On squaring both sides, we obtain

(a2  + b2) (c2 +  d2) (e2 +  f2) (g2  + h2) = A2 + B2

Hence, proved.

 

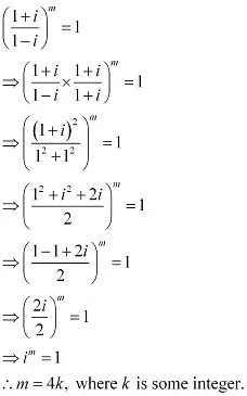
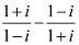
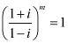
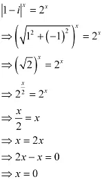
Question 18: If NCERT Solutions Class 11 Maths Chapter 4 - Complex Numbers and Quadratic Equations, then find the least positive integral value of m.

Answer:

 NCERT Solutions Class 11 Maths Chapter 4 - Complex Numbers and Quadratic Equations

Therefore, the least positive integer is 1.

Thus, the least positive integral value of m is 4 (= 4 × 1).

The document NCERT Solutions Class 11 Maths Chapter 4 - Complex Numbers and Quadratic Equations is a part of the Commerce Course Mathematics (Maths) Class 11.
All you need of Commerce at this link: Commerce
73 videos|264 docs|91 tests
Related Searches

study material

,

NCERT Solutions Class 11 Maths Chapter 4 - Complex Numbers and Quadratic Equations

,

Sample Paper

,

Viva Questions

,

Extra Questions

,

ppt

,

video lectures

,

Objective type Questions

,

Important questions

,

NCERT Solutions Class 11 Maths Chapter 4 - Complex Numbers and Quadratic Equations

,

Exam

,

pdf

,

NCERT Solutions Class 11 Maths Chapter 4 - Complex Numbers and Quadratic Equations

,

Semester Notes

,

practice quizzes

,

shortcuts and tricks

,

Summary

,

Free

,

MCQs

,

mock tests for examination

,

Previous Year Questions with Solutions

,

past year papers

;