JEE Exam  >  JEE Notes  >  Mathematics (Maths) for JEE Main & Advanced  >  NCERT Solutions Continuity & Differentiability

NCERT Solutions Class 12 Maths Chapter 5 - Continuity & Differentiability

Exercise 5.1

Q1: Prove that the function NCERT Solutions Class 12 Maths Chapter 5 - Continuity & Differentiability
Ans: 
NCERT Solutions Class 12 Maths Chapter 5 - Continuity & Differentiability
Therefore, f is continuous at x = 5

Q2: Examine the continuity of the function NCERT Solutions Class 12 Maths Chapter 5 - Continuity & Differentiability.
Ans:
NCERT Solutions Class 12 Maths Chapter 5 - Continuity & Differentiability
Thus, f is continuous at x = 3

Q3: Examine the following functions for continuity.
(a) NCERT Solutions Class 12 Maths Chapter 5 - Continuity & Differentiability
(b)NCERT Solutions Class 12 Maths Chapter 5 - Continuity & Differentiability
(c) NCERT Solutions Class 12 Maths Chapter 5 - Continuity & Differentiability
(d) NCERT Solutions Class 12 Maths Chapter 5 - Continuity & Differentiability
Ans: 
NCERT Solutions Class 12 Maths Chapter 5 - Continuity & Differentiability
(c) The given function is NCERT Solutions Class 12 Maths Chapter 5 - Continuity & Differentiability
For any real number c ≠ −5, we obtain
NCERT Solutions Class 12 Maths Chapter 5 - Continuity & Differentiability
NCERT Solutions Class 12 Maths Chapter 5 - Continuity & Differentiability
Therefore, f is continuous at all real numbers greater than 5.
Hence, f is continuous at every real number and therefore, it is a continuous function.

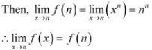
Q4: Prove that the function NCERT Solutions Class 12 Maths Chapter 5 - Continuity & Differentiability  is continuous at x = n, where n is a positive integer.
Ans: The given function is f (x) = xn
It is evident that f is defined at all positive integers, n, and its value at n is nn.
NCERT Solutions Class 12 Maths Chapter 5 - Continuity & Differentiability
Therefore, f is continuous at n, where n is a positive integer.

Q5: Is the function f defined byNCERT Solutions Class 12 Maths Chapter 5 - Continuity & Differentiability continuous at x = 0? At x = 1? At x = 2?
Ans: The given function f is NCERT Solutions Class 12 Maths Chapter 5 - Continuity & Differentiability
At x = 0,
It is evident that f is defined at 0 and its value at 0 is 0.
NCERT Solutions Class 12 Maths Chapter 5 - Continuity & Differentiability
The right hand limit of f at x = 1 is,
NCERT Solutions Class 12 Maths Chapter 5 - Continuity & Differentiability
Therefore, f is continuous at x = 2

Q6: Find all points of discontinuity of f, where f is defined byNCERT Solutions Class 12 Maths Chapter 5 - Continuity & Differentiability
Ans: The given function f is NCERT Solutions Class 12 Maths Chapter 5 - Continuity & Differentiability
It is evident that the given function f is defined at all the points of the real line.
Let c be a point on the real line. Then, three cases arise.
(i) c < 2
(ii) c > 2
(iii) c = 2
Case (i) c < 2
NCERT Solutions Class 12 Maths Chapter 5 - Continuity & Differentiability
Therefore, f is continuous at all points x, such that x < 2
Case (ii) c > 2
NCERT Solutions Class 12 Maths Chapter 5 - Continuity & Differentiability
It is observed that the left and right hand limit of f at x = 2 do not coincide.
Therefore, f is not continuous at x = 2
Hence, x = 2 is the only point of discontinuity of f.

Q7: Find all points of discontinuity of f, where f is defined by NCERT Solutions Class 12 Maths Chapter 5 - Continuity & Differentiability
Ans: The given function f is NCERT Solutions Class 12 Maths Chapter 5 - Continuity & Differentiability
The given function f is defined at all the points of the real line.
Let c be a point on the real line.
Case I:
NCERT Solutions Class 12 Maths Chapter 5 - Continuity & Differentiability
Therefore, f is continuous at all points x, such that x < −3
Case II:
NCERT Solutions Class 12 Maths Chapter 5 - Continuity & Differentiability
It is observed that the left and right hand limit of f at x = 3 do not coincide.
Therefore, f is not continuous at x = 3
Case V:
NCERT Solutions Class 12 Maths Chapter 5 - Continuity & Differentiability
Therefore, f is continuous at all points x, such that x > 3
Hence, x = 3 is the only point of discontinuity of f.

Q8: Find all points of discontinuity of f, where f is defined byNCERT Solutions Class 12 Maths Chapter 5 - Continuity & Differentiability
Ans: The given function f is NCERT Solutions Class 12 Maths Chapter 5 - Continuity & Differentiability
NCERT Solutions Class 12 Maths Chapter 5 - Continuity & Differentiability
It is observed that the left and right hand limit of f at x = 0 do not coincide.
Therefore, f is not continuous at x = 0
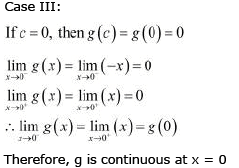
Case III:
NCERT Solutions Class 12 Maths Chapter 5 - Continuity & Differentiability
Therefore, f is continuous at all points x, such that x > 0
Hence, x = 0 is the only point of discontinuity of f.

Q9: Find all points of discontinuity of f, where f is defined byNCERT Solutions Class 12 Maths Chapter 5 - Continuity & Differentiability
Ans: The given function f is NCERT Solutions Class 12 Maths Chapter 5 - Continuity & Differentiability
NCERT Solutions Class 12 Maths Chapter 5 - Continuity & Differentiability
Therefore, the given function is a continuous function.
Hence, the given function has no point of discontinuity.

Q10: Find all points of discontinuity of f, where f is defined byNCERT Solutions Class 12 Maths Chapter 5 - Continuity & Differentiability
Ans: 
The given function f is NCERT Solutions Class 12 Maths Chapter 5 - Continuity & Differentiability
The given function f is defined at all the points of the real line.
Let c be a point on the real line.
Case I:
NCERT Solutions Class 12 Maths Chapter 5 - Continuity & Differentiability
Therefore, f is continuous at all points x, such that x > 1
Hence, the given function f has no point of discontinuity.

Q11: Find all points of discontinuity of f, where f is defined by NCERT Solutions Class 12 Maths Chapter 5 - Continuity & Differentiability
Ans: The given function f is NCERT Solutions Class 12 Maths Chapter 5 - Continuity & Differentiability
The given function f is defined at all the points of the real line.
Let c be a point on the real line.
Case I:
NCERT Solutions Class 12 Maths Chapter 5 - Continuity & Differentiability
Therefore, f is continuous at all points x, such that x > 2
Thus, the given function f is continuous at every point on the real line.
Hence, f has no point of discontinuity.

Question 12: Find all points of discontinuity of f, where f is defined by NCERT Solutions Class 12 Maths Chapter 5 - Continuity & Differentiability
Ans: The given function f is NCERT Solutions Class 12 Maths Chapter 5 - Continuity & Differentiability
The given function f is defined at all the points of the real line.
Let c be a point on the real line.
Case I:
NCERT Solutions Class 12 Maths Chapter 5 - Continuity & Differentiability
Therefore, f is continuous at all points x, such that x > 1
Thus, from the above observation, it can be concluded that x = 1 is the only point of discontinuity of f.

Q13: Is the function defined byNCERT Solutions Class 12 Maths Chapter 5 - Continuity & Differentiabilitya continuous function?
Ans: The given function is NCERT Solutions Class 12 Maths Chapter 5 - Continuity & Differentiability
The given function f is defined at all the points of the real line.
Let c be a point on the real line.
Case I:
NCERT Solutions Class 12 Maths Chapter 5 - Continuity & Differentiability
Therefore, f is continuous at all points x, such that x > 1
Thus, from the above observation, it can be concluded that x = 1 is the only point of
discontinuity of f.

Q14: Discuss the continuity of the function f, where f is defined byNCERT Solutions Class 12 Maths Chapter 5 - Continuity & Differentiability
Ans: The given function is NCERT Solutions Class 12 Maths Chapter 5 - Continuity & Differentiability
The given function is defined at all points of the interval [0, 10].
Let c be a point in the interval [0, 10].
Case I:
NCERT Solutions Class 12 Maths Chapter 5 - Continuity & Differentiability
Therefore, f is continuous at all points of the interval (1, 3).
Case IV:
NCERT Solutions Class 12 Maths Chapter 5 - Continuity & Differentiability
Therefore, f is continuous at all points of the interval (3, 10].
Hence, f is not continuous at x = 1 and x = 3

Q15: Discuss the continuity of the function f, where f is defined byNCERT Solutions Class 12 Maths Chapter 5 - Continuity & Differentiability
Ans: The given function is NCERT Solutions Class 12 Maths Chapter 5 - Continuity & Differentiability
The given function is defined at all points of the real line.
Let c be a point on the real line.
Case I:
NCERT Solutions Class 12 Maths Chapter 5 - Continuity & Differentiability
Therefore, f is continuous at all points of the interval (0, 1).
Case IV:
NCERT Solutions Class 12 Maths Chapter 5 - Continuity & Differentiability
Therefore, f is continuous at all points x, such that x > 1
Hence, f is not continuous only at x = 1

Q16: Discuss the continuity of the function f, where f is defined byNCERT Solutions Class 12 Maths Chapter 5 - Continuity & Differentiability
Ans: The given function f is NCERT Solutions Class 12 Maths Chapter 5 - Continuity & Differentiability
The given function is defined at all points of the real line.
Let c be a point on the real line.
Case I:
NCERT Solutions Class 12 Maths Chapter 5 - Continuity & Differentiability
Therefore, f is continuous at x = −1
Case III:
NCERT Solutions Class 12 Maths Chapter 5 - Continuity & Differentiability
Therefore, f is continuous at all points x, such that x > 1
Thus, from the above observations, it can be concluded that f is continuous at all points of the real line.

Q17: Find the relationship between a and b so that the function f defined by is continuous at x = 3.
NCERT Solutions Class 12 Maths Chapter 5 - Continuity & Differentiability
Ans: The given function f is NCERT Solutions Class 12 Maths Chapter 5 - Continuity & Differentiability
If f is continuous at x = 3, then
NCERT Solutions Class 12 Maths Chapter 5 - Continuity & Differentiability

Q18: For what value of is the function defined byNCERT Solutions Class 12 Maths Chapter 5 - Continuity & Differentiability continuous at x = 0? What about continuity at x = 1?
Ans: The given function f is NCERT Solutions Class 12 Maths Chapter 5 - Continuity & Differentiability
If f is continuous at x = 0, then
NCERT Solutions Class 12 Maths Chapter 5 - Continuity & Differentiability
Therefore, there is no value of λ for which f is continuous at x = 0 At x = 1,
f (1) = 4x + 1 = 4 × 1 + 1 = 5
NCERT Solutions Class 12 Maths Chapter 5 - Continuity & Differentiability
Therefore, for any values of λ, f is continuous at x = 1

Q19: Show that the function defined by g(x)= x-[x] is discontinuous at all integral point. Here [x] denotes the greatest integer less than or equal to x.
Ans: The given function is g(x)= x-[x]
It is evident that g is defined at all integral points.
Let n be an integer.
Then,
NCERT Solutions Class 12 Maths Chapter 5 - Continuity & Differentiability
It is observed that the left and right hand limits of f at x = n do not coincide.
Therefore, f is not continuous at x = n
Hence, g is discontinuous at all integral points.

Q20: Is the function defined by NCERT Solutions Class 12 Maths Chapter 5 - Continuity & Differentiability  continuous at x = p?
Ans: The given function is NCERT Solutions Class 12 Maths Chapter 5 - Continuity & Differentiability
It is evident that f is defined at x = p
NCERT Solutions Class 12 Maths Chapter 5 - Continuity & Differentiability
Therefore, the given function f is continuous at x = π

Q21: Discuss the continuity of the following functions.
(a) f (x) = sin x + cos x
(b) f (x) = sin x − cos x
(c) f (x) = sin x × cos x

Ans: It is known that if g and h are two continuous functions, then
g+h, g-h, and g.h are also continuous.
It has to proved first that g (x) = sin x and h (x) = cos x are continuous functions.
Let g (x) = sin x
It is evident that g (x) = sin x is defined for every real number.
Let c be a real number. Put x = c + h
If x → c, then h → 0
NCERT Solutions Class 12 Maths Chapter 5 - Continuity & Differentiability
Therefore, g is a continuous function.
Let h (x) = cos x
It is evident that h (x) = cos x is defined for every real number.
Let c be a real number. Put x = c + h
If x → c, then h → 0
h (c) = cos c
NCERT Solutions Class 12 Maths Chapter 5 - Continuity & Differentiability
Therefore, h is a continuous function.
Therefore, it can be concluded that
(a) f (x) = g (x) + h (x) = sin x + cos x is a continuous function
(b) f (x) = g (x) − h (x) = sin x − cos x is a continuous function
(c) f (x) = g (x) × h (x) = sin x × cos x is a continuous function.

Q22: Discuss the continuity of the cosine, cosecant, secant and cotangent functions,
Ans: It is known that if g and h are two continuous functions, then
NCERT Solutions Class 12 Maths Chapter 5 - Continuity & Differentiability
It has to be proved first that g (x) = sin x and h (x) = cos x are continuous functions. Let g (x) = sin x
It is evident that g (x) = sin x is defined for every real number.
Let c be a real number. Put x = c + h  
Therefore, g is a continuous function.
Let h (x) = cos x
It is evident that h (x) = cos x is defined for every real number.
Let c be a real number.
Put x = c + h
If x → c, then h → 0
Therefore, h (x) = cos x is continuous function.
NCERT Solutions Class 12 Maths Chapter 5 - Continuity & Differentiability
NCERT Solutions Class 12 Maths Chapter 5 - Continuity & Differentiability
Therefore, cotangent is continuous except at x = np, n Î Z

Q23: Find the points of discontinuity of f, where NCERT Solutions Class 12 Maths Chapter 5 - Continuity & Differentiability
Ans:
NCERT Solutions Class 12 Maths Chapter 5 - Continuity & Differentiability
Therefore, f is continuous at x = 0
From the above observations, it can be concluded that f is continuous at all points of
the real line.
Thus, f has no point of discontinuity.

Q24:Determine if f defined byNCERT Solutions Class 12 Maths Chapter 5 - Continuity & Differentiabilityis a continuous function?
Ans: The given function f is NCERT Solutions Class 12 Maths Chapter 5 - Continuity & Differentiability
It is evident that f is defined at all points of the real line.
Let c be a real number.
Case I:
NCERT Solutions Class 12 Maths Chapter 5 - Continuity & Differentiability
NCERT Solutions Class 12 Maths Chapter 5 - Continuity & Differentiability
Therefore, f is continuous at x = 0
From the above observations, it can be concluded that f is continuous at every point of the real line.
Thus, f is a continuous function.

Q25: Examine the continuity of f, where f is defined byNCERT Solutions Class 12 Maths Chapter 5 - Continuity & Differentiability
Ans: The given function f is NCERT Solutions Class 12 Maths Chapter 5 - Continuity & Differentiability
It is evident that f is defined at all points of the real line.
Let c be a real number.
Case I:
NCERT Solutions Class 12 Maths Chapter 5 - Continuity & Differentiability
Therefore, f is continuous at x = 0
From the above observations, it can be concluded that f is continuous at every point of
the real line.
Thus, f is a continuous function.

Q26: Find the values of k so that the function f is continuous at the indicated point.
NCERT Solutions Class 12 Maths Chapter 5 - Continuity & Differentiability
Ans:
NCERT Solutions Class 12 Maths Chapter 5 - Continuity & Differentiability
NCERT Solutions Class 12 Maths Chapter 5 - Continuity & Differentiability
Therefore, the required value of k is 6.
Question 27: Find the values of k so that the function f is continuous at the indicated point.
NCERT Solutions Class 12 Maths Chapter 5 - Continuity & Differentiability
Ans: The given function is  NCERT Solutions Class 12 Maths Chapter 5 - Continuity & Differentiability
The given function f is continuous at x = 2, if f is defined at x = 2 and if the value of f at x = 2 equals the limit of f at x = 2
It is evident that f is defined at x = 2 and f(2) = k(2)2 = 4k
NCERT Solutions Class 12 Maths Chapter 5 - Continuity & Differentiability

Q28: Find the values of k so that the function f is continuous at the indicated point.
NCERT Solutions Class 12 Maths Chapter 5 - Continuity & Differentiability
Ans: The given function is NCERT Solutions Class 12 Maths Chapter 5 - Continuity & Differentiability
The given function f is continuous at x = p, if f is defined at x = p and if the value of f at
x = p equals the limit of f at x = p
NCERT Solutions Class 12 Maths Chapter 5 - Continuity & Differentiability

Q29: Find the values of k so that the function f is continuous at the indicated point.
NCERT Solutions Class 12 Maths Chapter 5 - Continuity & Differentiability
Ans: The given function f is NCERT Solutions Class 12 Maths Chapter 5 - Continuity & Differentiability
The given function f is continuous at x = 5, if f is defined at x = 5 and if the value of f at
x = 5 equals the limit of f at x = 5
NCERT Solutions Class 12 Maths Chapter 5 - Continuity & Differentiability

Q30: Find the values of a and b such that the function defined byNCERT Solutions Class 12 Maths Chapter 5 - Continuity & Differentiability, is a continuous function.
Ans: The given function f is NCERT Solutions Class 12 Maths Chapter 5 - Continuity & Differentiability
It is evident that the given function f is defined at all points of the real line.
If f is a continuous function, then f is continuous at all real numbers.
In particular, f is continuous at x = 2 and x = 10
Since f is continuous at x = 2, we obtain
NCERT Solutions Class 12 Maths Chapter 5 - Continuity & Differentiability
Therefore, the values of a and b for which f is a continuous function are 2 and 1 respectively.

Q31: Show that the function defined by f(x) = cos (x2) is a continuous function.
Ans: The given function is f (x) = cos (x2)
This function f is defined for every real number and f can be written as the composition
of two functions as,
f = g o h, where g (x) = cos x and h (x) = x2
NCERT Solutions Class 12 Maths Chapter 5 - Continuity & Differentiability
Therefore, g (x) = cos x is continuous function.
h (x) = x2
Clearly, h is defined for every real number.
Let k be a real number, then h (k) = k2
NCERT Solutions Class 12 Maths Chapter 5 - Continuity & Differentiability
Therefore, h is a continuous function.
It is known that for real-valued functions g and h, such that (g o h) is defined at c, if g is continuous at c and if f is continuous at g (c), then (f o g) is continuous at c.
Therefore, NCERT Solutions Class 12 Maths Chapter 5 - Continuity & Differentiability  is a continuous function.

Q32: Show that the function defined by NCERT Solutions Class 12 Maths Chapter 5 - Continuity & Differentiability is a continuous function.
Ans: The given function is  NCERT Solutions Class 12 Maths Chapter 5 - Continuity & Differentiability
This function f is defined for every real number and f can be written as the composition of two functions as,
NCERT Solutions Class 12 Maths Chapter 5 - Continuity & Differentiability
Clearly, g is defined for all real numbers.
Let c be a real number.
Case I:
NCERT Solutions Class 12 Maths Chapter 5 - Continuity & Differentiability
Therefore, g is continuous at all points x, such that x > 0.

Q33: Examine that sin|x| is a continuous function.
Ans:NCERT Solutions Class 12 Maths Chapter 5 - Continuity & Differentiability
This function f is defined for every real number and f can be written as the composition
of two functions as,
NCERT Solutions Class 12 Maths Chapter 5 - Continuity & Differentiability
Clearly, g is defined for all real numbers.
Let c be a real number.
Case I:
NCERT Solutions Class 12 Maths Chapter 5 - Continuity & Differentiability
Therefore, g is continuous at x = 0
From the above three observations, it can be concluded that g is continuous at all
points. h (x) = sin x
It is evident that h (x) = sin x is defined for every real number.
Let c be a real number. Put x = c +k
If x → c, then k → 0 h (c) = sin c
NCERT Solutions Class 12 Maths Chapter 5 - Continuity & Differentiability
Therefore, h is a continuous function.  
It is known that for real-valued functions g and h, such that (g o h) is defined at c, if g is continuous at c and if f is continuous at g (c), then (f o g) is continuous at c.  
NCERT Solutions Class 12 Maths Chapter 5 - Continuity & Differentiability is a continuous function.

Q34: Find all the points of discontinuity of f defined by NCERT Solutions Class 12 Maths Chapter 5 - Continuity & Differentiability.
Ans: The given function is NCERT Solutions Class 12 Maths Chapter 5 - Continuity & Differentiability
The two functions, g and h, are defined as
NCERT Solutions Class 12 Maths Chapter 5 - Continuity & Differentiability
Clearly, g is defined for all real numbers.
Let c be a real number.
Case I:
NCERT Solutions Class 12 Maths Chapter 5 - Continuity & Differentiability
NCERT Solutions Class 12 Maths Chapter 5 - Continuity & Differentiability
From the above three observations, it can be concluded that g is continuous at all
NCERT Solutions Class 12 Maths Chapter 5 - Continuity & Differentiability
NCERT Solutions Class 12 Maths Chapter 5 - Continuity & Differentiability
Case II:  
NCERT Solutions Class 12 Maths Chapter 5 - Continuity & Differentiability
Clearly, h is defined for every real number.
Let c be a real number.
Case I:
NCERT Solutions Class 12 Maths Chapter 5 - Continuity & Differentiability
Therefore, h is continuous at all points x, such that x < −1
Case III:
NCERT Solutions Class 12 Maths Chapter 5 - Continuity & Differentiability
Therefore, h is continuous at x = −1
From the above three observations, it can be concluded that h is continuous at all points of the real line. g and h are continuous functions. Therefore, f = g − h is also continuous function.
Therefore, f has no point of discontinuity.

Exercise 5.2

Continuity & Differentiability

 Question 1: Differentiate the functions with respect to x.

NCERT Solutions Class 12 Maths Chapter 5 - Continuity & Differentiability

Answer

NCERT Solutions Class 12 Maths Chapter 5 - Continuity & Differentiability

NCERT Solutions Class 12 Maths Chapter 5 - Continuity & Differentiability

NCERT Solutions Class 12 Maths Chapter 5 - Continuity & Differentiability


Question 2: Differentiate the functions with respect to x. cos(sinx)

Answer

NCERT Solutions Class 12 Maths Chapter 5 - Continuity & Differentiability

Thus, f is a composite function of two functions. 

Put t = u (x) = sin x  

NCERT Solutions Class 12 Maths Chapter 5 - Continuity & Differentiability

NCERT Solutions Class 12 Maths Chapter 5 - Continuity & Differentiability

By chain rule,
Alternate method  

NCERT Solutions Class 12 Maths Chapter 5 - Continuity & Differentiability

NCERT Solutions Class 12 Maths Chapter 5 - Continuity & Differentiability


Question 3: Differentiate the functions with respect to x.

sin(ax + b)

Answer
NCERT Solutions Class 12 Maths Chapter 5 - Continuity & Differentiability
Alternate method
NCERT Solutions Class 12 Maths Chapter 5 - Continuity & Differentiability


Question 4: Differentiate the functions with respect to x.

NCERT Solutions Class 12 Maths Chapter 5 - Continuity & Differentiability

Answer
NCERT Solutions Class 12 Maths Chapter 5 - Continuity & Differentiability
Hence, by chain rule, we obtain

NCERT Solutions Class 12 Maths Chapter 5 - Continuity & Differentiability


Question 5: Differentiate the functions with respect to x.

NCERT Solutions Class 12 Maths Chapter 5 - Continuity & Differentiability

Answer

The given function is
NCERT Solutions Class 12 Maths Chapter 5 - Continuity & Differentiability
Put y = p (x) = cx + d
NCERT Solutions Class 12 Maths Chapter 5 - Continuity & Differentiability


Question 6: Differentiate the functions with respect to x. NCERT Solutions Class 12 Maths Chapter 5 - Continuity & Differentiability

Answer

NCERT Solutions Class 12 Maths Chapter 5 - Continuity & Differentiability


Question 7:  Differentiate the functions with respect to x.

NCERT Solutions Class 12 Maths Chapter 5 - Continuity & Differentiability

Answer

NCERT Solutions Class 12 Maths Chapter 5 - Continuity & Differentiability

Question 8: Differentiate the functions with respect to x. NCERT Solutions Class 12 Maths Chapter 5 - Continuity & Differentiability

Answer

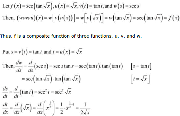
NCERT Solutions Class 12 Maths Chapter 5 - Continuity & Differentiability
Clearly, f is a composite function of two functions, u and v, such that

NCERT Solutions Class 12 Maths Chapter 5 - Continuity & Differentiability
Alternate method
NCERT Solutions Class 12 Maths Chapter 5 - Continuity & Differentiability


Question 9:
 Prove that the function f given by NCERT Solutions Class 12 Maths Chapter 5 - Continuity & Differentiability is not differentiable at x = 1.

Answer
The given function is NCERT Solutions Class 12 Maths Chapter 5 - Continuity & Differentiability

It is known that a function f is differentiable at a point x = c in its domain if both

NCERT Solutions Class 12 Maths Chapter 5 - Continuity & Differentiability are finite and equal.

To check the differentiability of the given function at x = 1,  

consider the left hand limit of f at x = 1  

NCERT Solutions Class 12 Maths Chapter 5 - Continuity & Differentiability

NCERT Solutions Class 12 Maths Chapter 5 - Continuity & Differentiability
Since the left and right hand limits of f at x = 1 are not equal, f is not differentiable at x = 1


Question 10:
Prove that the greatest integer function  NCERT Solutions Class 12 Maths Chapter 5 - Continuity & Differentiability defined by is not differentiable at x = 1 and x = 2.


Answer
The given function f is  NCERT Solutions Class 12 Maths Chapter 5 - Continuity & Differentiability
It is known that a function f is differentiable at a point x = c in its domain if both

NCERT Solutions Class 12 Maths Chapter 5 - Continuity & Differentiability are finite and equal. 

To check the differentiability of the given function at x = 1, consider the left hand limit  of f at x = 1  

NCERT Solutions Class 12 Maths Chapter 5 - Continuity & Differentiability

Since the left and right hand limits of f at x = 1 are not equal, f is not differentiable at x = 1

To check the differentiability of the given function at x = 2, consider the left hand limit of f at x = 2

NCERT Solutions Class 12 Maths Chapter 5 - Continuity & Differentiability
Since the left and right hand limits of f at x = 2 are not equal, f is not differentiable at x = 2

Exercise 5.3

Continuity & Differentiability

 Question 1:

NCERT Solutions Class 12 Maths Chapter 5 - Continuity & DifferentiabilityNCERT Solutions Class 12 Maths Chapter 5 - Continuity & Differentiability

Answer
NCERT Solutions Class 12 Maths Chapter 5 - Continuity & Differentiability

Question 2:

NCERT Solutions Class 12 Maths Chapter 5 - Continuity & Differentiability         NCERT Solutions Class 12 Maths Chapter 5 - Continuity & Differentiability


Answer
NCERT Solutions Class 12 Maths Chapter 5 - Continuity & Differentiability
NCERT Solutions Class 12 Maths Chapter 5 - Continuity & Differentiability


Question 3:

NCERT Solutions Class 12 Maths Chapter 5 - Continuity & Differentiability
Answer
NCERT Solutions Class 12 Maths Chapter 5 - Continuity & Differentiability


Question 4:

NCERT Solutions Class 12 Maths Chapter 5 - Continuity & Differentiability
Answer
The given relationship is NCERT Solutions Class 12 Maths Chapter 5 - Continuity & Differentiability
Differentiating this relationship with respect to x, we obtain

NCERT Solutions Class 12 Maths Chapter 5 - Continuity & Differentiability

NCERT Solutions Class 12 Maths Chapter 5 - Continuity & Differentiability

NCERT Solutions Class 12 Maths Chapter 5 - Continuity & Differentiability

NCERT Solutions Class 12 Maths Chapter 5 - Continuity & Differentiability


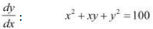
Question 5: 

Find NCERT Solutions Class 12 Maths Chapter 5 - Continuity & Differentiability

Answer

The given relationship is x2 +xy +y2 = 100

Differentiating this relationship with respect to x, we obtain 

NCERT Solutions Class 12 Maths Chapter 5 - Continuity & Differentiability

[Derivative of constant function is 0] 

NCERT Solutions Class 12 Maths Chapter 5 - Continuity & Differentiability


Question 6:

NCERT Solutions Class 12 Maths Chapter 5 - Continuity & Differentiability

Answer
NCERT Solutions Class 12 Maths Chapter 5 - Continuity & Differentiability


Question 7:

NCERT Solutions Class 12 Maths Chapter 5 - Continuity & Differentiability


Answer
NCERT Solutions Class 12 Maths Chapter 5 - Continuity & Differentiability
Using chain rule, we obtain
NCERT Solutions Class 12 Maths Chapter 5 - Continuity & Differentiability


Question 8:

Find NCERT Solutions Class 12 Maths Chapter 5 - Continuity & Differentiability


Answer
The given relationship is

NCERT Solutions Class 12 Maths Chapter 5 - Continuity & Differentiability
Differentiating this relationship with respect to x, we obtain
NCERT Solutions Class 12 Maths Chapter 5 - Continuity & Differentiability


Question 9:

Find  NCERT Solutions Class 12 Maths Chapter 5 - Continuity & Differentiability


Answer
NCERT Solutions Class 12 Maths Chapter 5 - Continuity & Differentiability
Therefore, by quotient rule, we obtain

NCERT Solutions Class 12 Maths Chapter 5 - Continuity & Differentiability


Question 10:

NCERT Solutions Class 12 Maths Chapter 5 - Continuity & Differentiability  NCERT Solutions Class 12 Maths Chapter 5 - Continuity & Differentiability


Answer
NCERT Solutions Class 12 Maths Chapter 5 - Continuity & Differentiability

NCERT Solutions Class 12 Maths Chapter 5 - Continuity & Differentiability
 

Question 11:

NCERT Solutions Class 12 Maths Chapter 5 - Continuity & Differentiability  NCERT Solutions Class 12 Maths Chapter 5 - Continuity & Differentiability

Answer
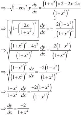
The given relationship is,

NCERT Solutions Class 12 Maths Chapter 5 - Continuity & Differentiability

On comparing L.H.S. and R.H.S. of the above relationship, we obtain  tany/2 = x

Differentiating this relationship with respect to x, we obtain 

NCERT Solutions Class 12 Maths Chapter 5 - Continuity & Differentiability

NCERT Solutions Class 12 Maths Chapter 5 - Continuity & Differentiability


Question 12:

NCERT Solutions Class 12 Maths Chapter 5 - Continuity & Differentiability  NCERT Solutions Class 12 Maths Chapter 5 - Continuity & Differentiability


Answer
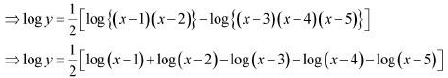
The given relationship is NCERT Solutions Class 12 Maths Chapter 5 - Continuity & Differentiability

 

NCERT Solutions Class 12 Maths Chapter 5 - Continuity & Differentiability
From (1), (2), and (3), we obtain

NCERT Solutions Class 12 Maths Chapter 5 - Continuity & Differentiability
NCERT Solutions Class 12 Maths Chapter 5 - Continuity & Differentiability
Differentiating this relationship with respect to x, we obtain

NCERT Solutions Class 12 Maths Chapter 5 - Continuity & Differentiability


Question 13:

NCERT Solutions Class 12 Maths Chapter 5 - Continuity & Differentiability


Answer
NCERT Solutions Class 12 Maths Chapter 5 - Continuity & Differentiability

NCERT Solutions Class 12 Maths Chapter 5 - Continuity & Differentiability


Question 14:

Find NCERT Solutions Class 12 Maths Chapter 5 - Continuity & Differentiability


Answer

NCERT Solutions Class 12 Maths Chapter 5 - Continuity & Differentiability
Differentiating this relationship with respect to x, we obtain

NCERT Solutions Class 12 Maths Chapter 5 - Continuity & Differentiability
 


Question 15:

Find dy/dx  NCERT Solutions Class 12 Maths Chapter 5 - Continuity & Differentiability


Answer
NCERT Solutions Class 12 Maths Chapter 5 - Continuity & Differentiability

NCERT Solutions Class 12 Maths Chapter 5 - Continuity & Differentiability

Differentiating this relationship with respect to x, we obtain 

NCERT Solutions Class 12 Maths Chapter 5 - Continuity & Differentiability

NCERT Solutions Class 12 Maths Chapter 5 - Continuity & Differentiability

Exercise 5.4

Q1: Differentiate the following w.r.t. x: NCERT Solutions Class 12 Maths Chapter 5 - Continuity & Differentiability
Ans: Let y = NCERT Solutions Class 12 Maths Chapter 5 - Continuity & Differentiability
By using the quotient rule, we obtain
NCERT Solutions Class 12 Maths Chapter 5 - Continuity & Differentiability

Q2: Differentiate the following w.r.t. x: esin-1x
Ans: Let y = esin-1x
By using the chain rule, we obtain
NCERT Solutions Class 12 Maths Chapter 5 - Continuity & Differentiability

Q3: Differentiate the following w.r.t. x: NCERT Solutions Class 12 Maths Chapter 5 - Continuity & Differentiability
Ans: Let y = NCERT Solutions Class 12 Maths Chapter 5 - Continuity & Differentiability
By using the chain rule, we obtain
NCERT Solutions Class 12 Maths Chapter 5 - Continuity & Differentiability

Q4: Differentiate the following w.r.t. x: sin(tan-1e-x)
Ans: Let y = sin(tan-1e-x)
By using the chain rule, we obtain
NCERT Solutions Class 12 Maths Chapter 5 - Continuity & Differentiability

Q5: Differentiate the following w.r.t. x: log(cosex)
Ans: Let y = log(cosex)
By using the chain rule, we obtain
NCERT Solutions Class 12 Maths Chapter 5 - Continuity & Differentiability

Q6: Differentiate the following w.r.t. x:
NCERT Solutions Class 12 Maths Chapter 5 - Continuity & Differentiability
Ans:
NCERT Solutions Class 12 Maths Chapter 5 - Continuity & Differentiability

Q7: Differentiate the following w.r.t. x: NCERT Solutions Class 12 Maths Chapter 5 - Continuity & Differentiability
Ans: Let
NCERT Solutions Class 12 Maths Chapter 5 - Continuity & Differentiability

Q8: Differentiate the following w.r.t. x:
NCERT Solutions Class 12 Maths Chapter 5 - Continuity & Differentiability
Ans: Let y = NCERT Solutions Class 12 Maths Chapter 5 - Continuity & Differentiability
By using the chain rule, we obtain
NCERT Solutions Class 12 Maths Chapter 5 - Continuity & Differentiability

Q9: Differentiate the following w.r.t. x:
NCERT Solutions Class 12 Maths Chapter 5 - Continuity & Differentiability
Ans: Let y = NCERT Solutions Class 12 Maths Chapter 5 - Continuity & Differentiability
By using the quotient rule, we obtain
NCERT Solutions Class 12 Maths Chapter 5 - Continuity & Differentiability

Q10: Differentiate the following w.r.t. x: NCERT Solutions Class 12 Maths Chapter 5 - Continuity & Differentiability, x>0
Ans: Let y = NCERT Solutions Class 12 Maths Chapter 5 - Continuity & Differentiability
By using the chain rule, we obtain
NCERT Solutions Class 12 Maths Chapter 5 - Continuity & Differentiability 

Exercise 5.5

Continuity & Differentiability 

Question 1: Differentiate the function with respect to x.

NCERT Solutions Class 12 Maths Chapter 5 - Continuity & Differentiability


Answer
NCERT Solutions Class 12 Maths Chapter 5 - Continuity & Differentiability

Question 2: Differentiate the function with respect to x.

NCERT Solutions Class 12 Maths Chapter 5 - Continuity & Differentiability


Answer

Let y = NCERT Solutions Class 12 Maths Chapter 5 - Continuity & Differentiability
Taking logarithm on both the sides, we obtain

NCERT Solutions Class 12 Maths Chapter 5 - Continuity & Differentiability

NCERT Solutions Class 12 Maths Chapter 5 - Continuity & Differentiability

Differentiating both sides with respect to x, we obtain 

NCERT Solutions Class 12 Maths Chapter 5 - Continuity & Differentiability

NCERT Solutions Class 12 Maths Chapter 5 - Continuity & Differentiability

Question 3: Differentiate the function with respect to x. NCERT Solutions Class 12 Maths Chapter 5 - Continuity & Differentiability

Answer

Let y = NCERT Solutions Class 12 Maths Chapter 5 - Continuity & Differentiability
Taking logarithm on both the sides, we obtain

NCERT Solutions Class 12 Maths Chapter 5 - Continuity & Differentiability
Differentiating both sides with respect to x, we obtain
NCERT Solutions Class 12 Maths Chapter 5 - Continuity & Differentiability

Question 4: Differentiate the function with respect to x. xx - 2sinx


Answer

Let y = NCERT Solutions Class 12 Maths Chapter 5 - Continuity & Differentiability

NCERT Solutions Class 12 Maths Chapter 5 - Continuity & Differentiability
u = xx
Taking logarithm on both the sides, we obtain

NCERT Solutions Class 12 Maths Chapter 5 - Continuity & Differentiability
Differentiating both sides with respect to x, we obtain

NCERT Solutions Class 12 Maths Chapter 5 - Continuity & Differentiability

 

Question 5: Differentiate the function with respect to x.

NCERT Solutions Class 12 Maths Chapter 5 - Continuity & Differentiability

Answer

Let y = NCERT Solutions Class 12 Maths Chapter 5 - Continuity & Differentiability
Taking logarithm on both the sides, we obtain

NCERT Solutions Class 12 Maths Chapter 5 - Continuity & Differentiability
Differentiating both sides with respect to x, we obtain
NCERT Solutions Class 12 Maths Chapter 5 - Continuity & Differentiability

 


Question 6: Differentiate the function with respect to x.

NCERT Solutions Class 12 Maths Chapter 5 - Continuity & Differentiability


Answer

NCERT Solutions Class 12 Maths Chapter 5 - Continuity & Differentiability
Differentiating both sides with respect to x, we obtain

NCERT Solutions Class 12 Maths Chapter 5 - Continuity & Differentiability
Differentiating both sides with respect to x, we obtain

NCERT Solutions Class 12 Maths Chapter 5 - Continuity & Differentiability
Therefore, from (1), (2), and (3), we obtain

NCERT Solutions Class 12 Maths Chapter 5 - Continuity & Differentiability



Question 7: Differentiate the function with respect to x.

NCERT Solutions Class 12 Maths Chapter 5 - Continuity & Differentiability

Answer

Let y = NCERT Solutions Class 12 Maths Chapter 5 - Continuity & Differentiability
NCERT Solutions Class 12 Maths Chapter 5 - Continuity & Differentiability
Differentiating both sides with respect to x, we obtain
NCERT Solutions Class 12 Maths Chapter 5 - Continuity & Differentiability
Differentiating both sides with respect to x, we obtain
NCERT Solutions Class 12 Maths Chapter 5 - Continuity & Differentiability


Question 8: Differentiate the function with respect to x.

NCERT Solutions Class 12 Maths Chapter 5 - Continuity & Differentiability

Answer

Let y = NCERT Solutions Class 12 Maths Chapter 5 - Continuity & Differentiability
NCERT Solutions Class 12 Maths Chapter 5 - Continuity & Differentiability

Differentiating both sides with respect to x, we obtain

NCERT Solutions Class 12 Maths Chapter 5 - Continuity & Differentiability
Therefore, from (1), (2), and (3), we obtain

NCERT Solutions Class 12 Maths Chapter 5 - Continuity & Differentiability


Question 9: Differentiate the function with respect to x.

NCERT Solutions Class 12 Maths Chapter 5 - Continuity & Differentiability


Answer
Let y = NCERT Solutions Class 12 Maths Chapter 5 - Continuity & Differentiability

NCERT Solutions Class 12 Maths Chapter 5 - Continuity & Differentiability
Differentiating both sides with respect to x, we obtain
NCERT Solutions Class 12 Maths Chapter 5 - Continuity & Differentiability

Question 10: Differentiate the function with respect to x.

NCERT Solutions Class 12 Maths Chapter 5 - Continuity & Differentiability


Answer

Let y = NCERT Solutions Class 12 Maths Chapter 5 - Continuity & Differentiability

NCERT Solutions Class 12 Maths Chapter 5 - Continuity & Differentiability
Differentiating both sides with respect to x, we obtain
NCERT Solutions Class 12 Maths Chapter 5 - Continuity & Differentiability
Differentiating both sides with respect to x, we obtain
NCERT Solutions Class 12 Maths Chapter 5 - Continuity & Differentiability


Question 11: Differentiate the function with respect to x.
NCERT Solutions Class 12 Maths Chapter 5 - Continuity & Differentiability

Answer

NCERT Solutions Class 12 Maths Chapter 5 - Continuity & Differentiability
Differentiating both sides with respect to x, we obtain

NCERT Solutions Class 12 Maths Chapter 5 - Continuity & Differentiability

NCERT Solutions Class 12 Maths Chapter 5 - Continuity & Differentiability
Differentiating both sides with respect to x, we obtain
NCERT Solutions Class 12 Maths Chapter 5 - Continuity & Differentiability
 

Question 12:
 Find 
NCERT Solutions Class 12 Maths Chapter 5 - Continuity & Differentiability of function NCERT Solutions Class 12 Maths Chapter 5 - Continuity & Differentiability.


Answer
NCERT Solutions Class 12 Maths Chapter 5 - Continuity & Differentiability
Differentiating both sides with respect to x, we obtain

NCERT Solutions Class 12 Maths Chapter 5 - Continuity & Differentiability


Question 13:

Find NCERT Solutions Class 12 Maths Chapter 5 - Continuity & Differentiability


Answer
NCERT Solutions Class 12 Maths Chapter 5 - Continuity & Differentiability
Differentiating both sides with respect to x, we obtain

NCERT Solutions Class 12 Maths Chapter 5 - Continuity & Differentiability



Question 14:
 Find NCERT Solutions Class 12 Maths Chapter 5 - Continuity & Differentiability of function NCERT Solutions Class 12 Maths Chapter 5 - Continuity & Differentiability .


Answer
NCERT Solutions Class 12 Maths Chapter 5 - Continuity & Differentiability
Differentiating both sides, we obtain

NCERT Solutions Class 12 Maths Chapter 5 - Continuity & Differentiability



Question 15:
 Find 
NCERT Solutions Class 12 Maths Chapter 5 - Continuity & Differentiability  of function NCERT Solutions Class 12 Maths Chapter 5 - Continuity & Differentiability.


Answer
NCERT Solutions Class 12 Maths Chapter 5 - Continuity & Differentiability
Differentiating both sides with respect to x, we obtain
NCERT Solutions Class 12 Maths Chapter 5 - Continuity & Differentiability


Question 16:
 Find the derivative of the function given by  
NCERT Solutions Class 12 Maths Chapter 5 - Continuity & Differentiability  and
 hence find 
NCERT Solutions Class 12 Maths Chapter 5 - Continuity & Differentiability.


Answer
The given relationship is NCERT Solutions Class 12 Maths Chapter 5 - Continuity & Differentiability
Taking logarithm on both the sides, we obtain

NCERT Solutions Class 12 Maths Chapter 5 - Continuity & Differentiability
Differentiating both sides with respect to x, we obtain

NCERT Solutions Class 12 Maths Chapter 5 - Continuity & Differentiability
Question 17:
 Differentiate 
NCERT Solutions Class 12 Maths Chapter 5 - Continuity & Differentiability  in three ways mentioned below
 (i) By using product rule.
 (ii) By expanding the product to obtain a single polynomial.
 (iii By logarithmic differentiation.
 Do they all give the same answer?


Answer

Let y = NCERT Solutions Class 12 Maths Chapter 5 - Continuity & Differentiability
(i)

NCERT Solutions Class 12 Maths Chapter 5 - Continuity & Differentiability


(ii)

NCERT Solutions Class 12 Maths Chapter 5 - Continuity & Differentiability
 


( iii) NCERT Solutions Class 12 Maths Chapter 5 - Continuity & Differentiability

Taking logarithm on both the sides, we obtain

NCERT Solutions Class 12 Maths Chapter 5 - Continuity & Differentiability
Differentiating both sides with respect to x, we obtain

NCERT Solutions Class 12 Maths Chapter 5 - Continuity & Differentiability

From the above three observations, it can be concluded that all the results of NCERT Solutions Class 12 Maths Chapter 5 - Continuity & Differentiability  are same.

 Question 18: If u, v and w are functions of x, then show that

NCERT Solutions Class 12 Maths Chapter 5 - Continuity & Differentiability
in two ways-first by repeated application of product rule, second by logarithmic
 differentiation.


Answer
Let NCERT Solutions Class 12 Maths Chapter 5 - Continuity & Differentiability
By applying product rule, we obtain
NCERT Solutions Class 12 Maths Chapter 5 - Continuity & Differentiability

Exercise 5.6

Continuity & Differentiability

 Question 1:
 If x and y are connected parametrically by the equation, without eliminating the

NCERT Solutions Class 12 Maths Chapter 5 - Continuity & Differentiability


Answer

NCERT Solutions Class 12 Maths Chapter 5 - Continuity & Differentiability


Question 2: If x and y are connected parametrically by the equation, without eliminating the
 parameter, find 
NCERT Solutions Class 12 Maths Chapter 5 - Continuity & Differentiability.
 x = a cos θ, y = b cos θ


Answer
The given equations are x = a cos θ and y = b cos θ
NCERT Solutions Class 12 Maths Chapter 5 - Continuity & Differentiability


Question 3: If x and y are connected parametrically by the equation, without eliminating the
 parameter, find 
NCERT Solutions Class 12 Maths Chapter 5 - Continuity & Differentiability.
 x = sin t, y = cos 2t


Answer
The given equations are x = sin t and y = cos 2t

NCERT Solutions Class 12 Maths Chapter 5 - Continuity & Differentiability

 

Question 4:
 If x and y are connected parametrically by the equation, without eliminating the
NCERT Solutions Class 12 Maths Chapter 5 - Continuity & Differentiability

NCERT Solutions Class 12 Maths Chapter 5 - Continuity & Differentiability.


Answer
NCERT Solutions Class 12 Maths Chapter 5 - Continuity & Differentiability


Question 5: If x and y are connected parametrically by the equation, without eliminating the 
NCERT Solutions Class 12 Maths Chapter 5 - Continuity & Differentiability

 Answer
The given equations are

NCERT Solutions Class 12 Maths Chapter 5 - Continuity & Differentiability

NCERT Solutions Class 12 Maths Chapter 5 - Continuity & Differentiability

Question 6: If x and y are connected parametrically by the equation, without eliminating the

NCERT Solutions Class 12 Maths Chapter 5 - Continuity & Differentiability


Answer

The given equations are

NCERT Solutions Class 12 Maths Chapter 5 - Continuity & Differentiability

NCERT Solutions Class 12 Maths Chapter 5 - Continuity & Differentiability


Question 7: If x and y are connected parametrically by the equation, without eliminating the

parameter,  find  NCERT Solutions Class 12 Maths Chapter 5 - Continuity & Differentiability.


Answer

The given equations are

NCERT Solutions Class 12 Maths Chapter 5 - Continuity & Differentiability

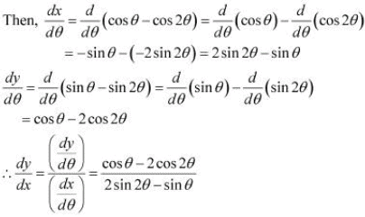
NCERT Solutions Class 12 Maths Chapter 5 - Continuity & Differentiability

NCERT Solutions Class 12 Maths Chapter 5 - Continuity & Differentiability

NCERT Solutions Class 12 Maths Chapter 5 - Continuity & Differentiability

 

Question 8: If x and y are connected parametrically by the equation, without eliminating the

parameter, find NCERT Solutions Class 12 Maths Chapter 5 - Continuity & Differentiability

NCERT Solutions Class 12 Maths Chapter 5 - Continuity & Differentiability


Answer
The given equations are NCERT Solutions Class 12 Maths Chapter 5 - Continuity & Differentiability

NCERT Solutions Class 12 Maths Chapter 5 - Continuity & Differentiability

NCERT Solutions Class 12 Maths Chapter 5 - Continuity & Differentiability


 Question 9: If x and y are connected parametrically by the equation, without eliminating the
 parameter, find 
NCERT Solutions Class 12 Maths Chapter 5 - Continuity & Differentiability.



Answer

NCERT Solutions Class 12 Maths Chapter 5 - Continuity & Differentiability

 


Question 10: If x and y are connected parametrically by the equation, without eliminating the

parameter, find  NCERT Solutions Class 12 Maths Chapter 5 - Continuity & Differentiability.


Answer
NCERT Solutions Class 12 Maths Chapter 5 - Continuity & Differentiability

Question 11:
 If 
NCERT Solutions Class 12 Maths Chapter 5 - Continuity & Differentiability


Answer
NCERT Solutions Class 12 Maths Chapter 5 - Continuity & Differentiability
NCERT Solutions Class 12 Maths Chapter 5 - Continuity & Differentiability

NCERT Solutions Class 12 Maths Chapter 5 - Continuity & Differentiability
Hence, proved.

Exercise 5.7

Continuity & Differentiability

Question 1: Find the second order derivatives of the function.

NCERT Solutions Class 12 Maths Chapter 5 - Continuity & Differentiability

Answer
Let y = NCERT Solutions Class 12 Maths Chapter 5 - Continuity & Differentiability
Then,

NCERT Solutions Class 12 Maths Chapter 5 - Continuity & Differentiability


Question 2: Find the second order derivatives of the function. x20

Answer
Let y = x20
Then,

NCERT Solutions Class 12 Maths Chapter 5 - Continuity & Differentiability

Question 3: Find the second order derivatives of the function. x.cos x

Answer
Let y = x.cos x
Then,

NCERT Solutions Class 12 Maths Chapter 5 - Continuity & Differentiability

NCERT Solutions Class 12 Maths Chapter 5 - Continuity & Differentiability

NCERT Solutions Class 12 Maths Chapter 5 - Continuity & Differentiability


Question 4: Find the second order derivatives of the function. log x

Answer
Let y = log x
Then,

NCERT Solutions Class 12 Maths Chapter 5 - Continuity & Differentiability

Question 5: Find the second order derivatives of the function. x3 log x

Answer
Let y = x3 log x
Then,
NCERT Solutions Class 12 Maths Chapter 5 - Continuity & Differentiability

Question 6: Find the second order derivatives of the function. NCERT Solutions Class 12 Maths Chapter 5 - Continuity & Differentiability

Answer

Let y = NCERT Solutions Class 12 Maths Chapter 5 - Continuity & Differentiability
NCERT Solutions Class 12 Maths Chapter 5 - Continuity & Differentiability

 

Question 7: Find the second order derivatives of the function.

NCERT Solutions Class 12 Maths Chapter 5 - Continuity & Differentiability


Answer
Let y = NCERT Solutions Class 12 Maths Chapter 5 - Continuity & Differentiability
Then,

NCERT Solutions Class 12 Maths Chapter 5 - Continuity & Differentiability


Question 8: Find the second order derivatives of the function.

NCERT Solutions Class 12 Maths Chapter 5 - Continuity & Differentiability


Answer
Let y = NCERT Solutions Class 12 Maths Chapter 5 - Continuity & Differentiability
Then,
NCERT Solutions Class 12 Maths Chapter 5 - Continuity & Differentiability

 

Question 9: Find the second order derivatives of the function.

NCERT Solutions Class 12 Maths Chapter 5 - Continuity & Differentiability


Answer
Let y = NCERT Solutions Class 12 Maths Chapter 5 - Continuity & Differentiability
Then,

NCERT Solutions Class 12 Maths Chapter 5 - Continuity & Differentiability


Question 10: Find the second order derivatives of the function.

NCERT Solutions Class 12 Maths Chapter 5 - Continuity & Differentiability


Answer
Let y = NCERT Solutions Class 12 Maths Chapter 5 - Continuity & Differentiability
Then,

NCERT Solutions Class 12 Maths Chapter 5 - Continuity & Differentiability
 

Question 11: If NCERT Solutions Class 12 Maths Chapter 5 - Continuity & Differentiability


Answer
It is given that, NCERT Solutions Class 12 Maths Chapter 5 - Continuity & Differentiability
Then,
NCERT Solutions Class 12 Maths Chapter 5 - Continuity & Differentiability
Hence, proved.


Question 12:
 If  
NCERT Solutions Class 12 Maths Chapter 5 - Continuity & Differentiability  in terms of y alone.


Answer
It is given that, NCERT Solutions Class 12 Maths Chapter 5 - Continuity & Differentiability
Then,

NCERT Solutions Class 12 Maths Chapter 5 - Continuity & Differentiability
NCERT Solutions Class 12 Maths Chapter 5 - Continuity & Differentiability

NCERT Solutions Class 12 Maths Chapter 5 - Continuity & Differentiability


Question 13:
 If 
NCERT Solutions Class 12 Maths Chapter 5 - Continuity & Differentiability


Answer
It is given that,  NCERT Solutions Class 12 Maths Chapter 5 - Continuity & Differentiability
Then,

NCERT Solutions Class 12 Maths Chapter 5 - Continuity & Differentiability
Hence, proved.

Question 14:
 If 
NCERT Solutions Class 12 Maths Chapter 5 - Continuity & Differentiability, show that  NCERT Solutions Class 12 Maths Chapter 5 - Continuity & Differentiability


Answer
It is given that, NCERT Solutions Class 12 Maths Chapter 5 - Continuity & Differentiability
Then,

NCERT Solutions Class 12 Maths Chapter 5 - Continuity & Differentiability
Hence, proved.


Question 15:
 If 
NCERT Solutions Class 12 Maths Chapter 5 - Continuity & Differentiability , show that  NCERT Solutions Class 12 Maths Chapter 5 - Continuity & Differentiability


Answer
It is given that, NCERT Solutions Class 12 Maths Chapter 5 - Continuity & Differentiability
Then,
NCERT Solutions Class 12 Maths Chapter 5 - Continuity & Differentiability
Hence, proved.


Question 16:
 If  
NCERT Solutions Class 12 Maths Chapter 5 - Continuity & Differentiability, show that NCERT Solutions Class 12 Maths Chapter 5 - Continuity & Differentiability


Answer
The given relationship is NCERT Solutions Class 12 Maths Chapter 5 - Continuity & Differentiability

NCERT Solutions Class 12 Maths Chapter 5 - Continuity & Differentiability
Taking logarithm on both the sides, we obtain

NCERT Solutions Class 12 Maths Chapter 5 - Continuity & Differentiability
Differentiating this relationship with respect to x, we obtain
NCERT Solutions Class 12 Maths Chapter 5 - Continuity & Differentiability
Hence, proved.


Question 17:
 If 
NCERT Solutions Class 12 Maths Chapter 5 - Continuity & Differentiability, show that NCERT Solutions Class 12 Maths Chapter 5 - Continuity & Differentiability


Answer
The given relationship is NCERT Solutions Class 12 Maths Chapter 5 - Continuity & Differentiability
Then,

NCERT Solutions Class 12 Maths Chapter 5 - Continuity & Differentiability 
Hence, proved.

The document NCERT Solutions Class 12 Maths Chapter 5 - Continuity & Differentiability is a part of the JEE Course Mathematics (Maths) for JEE Main & Advanced.
All you need of JEE at this link: JEE
177 videos|618 docs|160 tests

FAQs on NCERT Solutions Class 12 Maths Chapter 5 - Continuity & Differentiability

1. What is the definition of continuity in calculus?
Ans. Continuity in calculus refers to a function that is uninterrupted and connected on its entire domain without any breaks, jumps, or holes. Mathematically, a function f(x) is continuous at a point x = a if the limit of f(x) as x approaches a exists and is equal to f(a).
2. How can we determine if a function is continuous at a specific point?
Ans. To determine if a function is continuous at a specific point, we need to check three conditions: 1. The function must be defined at that point. 2. The limit of the function as x approaches the point must exist. 3. The value of the function at that point must be equal to the limit.
3. What is the importance of continuity and differentiability in calculus?
Ans. Continuity and differentiability are essential concepts in calculus as they help us understand the behavior of functions and their derivatives. Continuity ensures that a function is smooth and connected, while differentiability indicates the existence of the derivative at a point, which provides information about the rate of change of the function.
4. How does the concept of continuity relate to the concept of differentiability?
Ans. Continuity is a necessary condition for differentiability. If a function is differentiable at a point, it must also be continuous at that point. However, continuity does not guarantee differentiability, as a function can be continuous without having a derivative at a specific point (e.g., sharp corners or cusps).
5. Can a function be differentiable without being continuous?
Ans. No, a function cannot be differentiable at a point if it is not continuous at that point. Differentiability implies continuity, so if a function has a derivative at a specific point, it must also be continuous at that point.
Related Searches

Important questions

,

shortcuts and tricks

,

video lectures

,

Objective type Questions

,

Summary

,

ppt

,

Exam

,

NCERT Solutions Class 12 Maths Chapter 5 - Continuity & Differentiability

,

Previous Year Questions with Solutions

,

pdf

,

Sample Paper

,

Semester Notes

,

Extra Questions

,

Viva Questions

,

practice quizzes

,

past year papers

,

Free

,

mock tests for examination

,

MCQs

,

study material

,

NCERT Solutions Class 12 Maths Chapter 5 - Continuity & Differentiability

,

NCERT Solutions Class 12 Maths Chapter 5 - Continuity & Differentiability

;