Class 9 Exam  >  Class 9 Notes  >  Notes : Pair of Linear Equations In Two Variables

Pair of Linear Equations In Two Variables Notes - Class 9 PDF Download

Pair of Linear Equations In Two Variables

Exercise 3

Question: 1. Solve the following pair of linear equations by the substitution method.

(i) x + y = 14, x-y=4

Pair of Linear Equations In Two Variables Notes - Class 9
Pair of Linear Equations In Two Variables Notes - Class 9

(iii) 3x – y = 3, 9x – 3y = 9

Pair of Linear Equations In Two Variables Notes - Class 9

(iv) 0.2x + 0.3y = 1.3

0.4x + 0.5y = 2.3

Pair of Linear Equations In Two Variables Notes - Class 9
Pair of Linear Equations In Two Variables Notes - Class 9
Pair of Linear Equations In Two Variables Notes - Class 9

Question: 2. Solve 2x + 3y = 11 and 2x – 4y = – 24 and hence find the value of ‘m’ for which y = mx + 3.

Pair of Linear Equations In Two Variables Notes - Class 9

Question: 3. Form the pair of linear equations for the following problems and find their solution by substitution method.

(i) The difference between two numbers is 26 and one number is three times the other. Find them.

Pair of Linear Equations In Two Variables Notes - Class 9

(ii) The larger of two supplementary angles exceeds the smaller by 18 degrees. Find them.

Pair of Linear Equations In Two Variables Notes - Class 9

(iii) The coach of a cricket team buys 7 bats and 6 balls for Rs 3800. Later, she buys 3 bats and 5 balls for Rs 1750. Find the cost of each bat and each ball.

Pair of Linear Equations In Two Variables Notes - Class 9

(iv) The taxi charges in a city consist of a fixed charge together with the charge for the distance covered. For a distance of 10 km, the charge paid is Rs 105 and for a journey of 15 km, the charge paid is Rs 155. What are the fixed charges and the charge per km? How much does a person have to pay for travelling a distance of 25 km?

Pair of Linear Equations In Two Variables Notes - Class 9
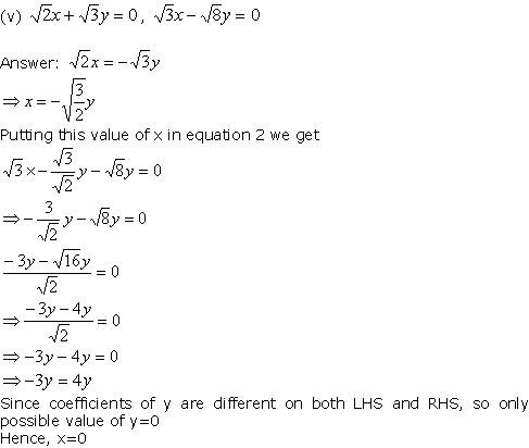
Pair of Linear Equations In Two Variables Notes - Class 9
Pair of Linear Equations In Two Variables Notes - Class 9

(vi) Five years hence, the age of Jacob will be three times that of his son. Five years ago, Jacob’s age was seven times that of his son. What are their present ages?

Pair of Linear Equations In Two Variables Notes - Class 9

The document Pair of Linear Equations In Two Variables Notes - Class 9 is a part of Class 9 category.
All you need of Class 9 at this link: Class 9

FAQs on Pair of Linear Equations In Two Variables Notes - Class 9

1. What are linear equations in two variables?
Ans. Linear equations in two variables are algebraic equations that involve two variables, typically represented as x and y, and have a degree of 1. They represent a straight line on a coordinate plane and have the general form: ax + by = c, where a, b, and c are constants.
2. How do you solve a pair of linear equations in two variables?
Ans. To solve a pair of linear equations in two variables, you can use various methods such as substitution method, elimination method, or graphical method. In the substitution method, you solve one equation for one variable and substitute it into the other equation. In the elimination method, you manipulate the equations to eliminate one variable and solve for the remaining variable. The graphical method involves plotting the equations on a coordinate plane and finding the intersection point, which represents the solution.
3. Are there different types of solutions for a pair of linear equations in two variables?
Ans. Yes, a pair of linear equations in two variables can have three types of solutions - unique solution, no solution, or infinitely many solutions. A unique solution means that the equations intersect at a single point, representing the values of the variables that satisfy both equations. No solution occurs when the equations are parallel and never intersect. Infinitely many solutions happen when the equations are equivalent and represent the same line.
4. What is the importance of solving linear equations in two variables?
Ans. Solving linear equations in two variables is vital in various real-life situations. It helps in finding the values of unknown quantities, understanding relationships between variables, and making predictions or calculations based on given conditions. It is extensively used in fields such as physics, economics, engineering, and finance to model and analyze different scenarios.
5. Can you provide an example of solving a pair of linear equations in two variables?
Ans. Certainly! Let's consider the following equations: 2x + 3y = 10 4x - y = 3 We can solve these equations using the elimination method. By multiplying the second equation by 3, we get: 12x - 3y = 9 Now, subtracting the first equation from this modified second equation, we have: (12x - 3y) - (2x + 3y) = 9 - 10 10x = -1 x = -1/10 Substituting this value of x into the first equation, we find: 2(-1/10) + 3y = 10 -1/5 + 3y = 10 3y = 10 + 1/5 3y = 51/5 y = 17/5 Therefore, the solution to the given pair of linear equations is x = -1/10 and y = 17/5.
Download as PDF

Top Courses for Class 9

Related Searches

Objective type Questions

,

Semester Notes

,

Previous Year Questions with Solutions

,

shortcuts and tricks

,

MCQs

,

practice quizzes

,

Pair of Linear Equations In Two Variables Notes - Class 9

,

Important questions

,

Summary

,

study material

,

Exam

,

mock tests for examination

,

Viva Questions

,

Free

,

Pair of Linear Equations In Two Variables Notes - Class 9

,

video lectures

,

Sample Paper

,

Pair of Linear Equations In Two Variables Notes - Class 9

,

past year papers

,

ppt

,

Extra Questions

,

pdf

;