Notes: Two Port Analysis | Network Theory (Electric Circuits) - Electrical Engineering (EE) PDF Download

In electronics, a two-port network (also known as a four-terminal network or quadripole) is an electrical circuit or device with two pairs of terminals for connecting to external circuits. A pair of terminals forms a port if the currents entering and exiting the terminals satisfy the port condition: the current entering one terminal must equal the current leaving the other terminal of the same port. These ports serve as the interfaces where the network connects to other networks, allowing signals to be applied or outputs to be taken. Typically, in a two-port network, port 1 is the input port and port 2 is the output port.

The first and second ports are called as port1 and port2 respectively.

One port network is a two terminal electrical network in which, current enters through one terminal and leaves through another terminal. Resistors, inductors and capacitors are the examples of one port network because each one has two terminals. One port network representation is shown in the following figure.
Notes: Two Port Analysis | Network Theory (Electric Circuits) - Electrical Engineering (EE)Here, the pair of terminals, 1 & 1’ represents a port. In this case, we are having only one port since it is a one port network.
Similarly, two port network is a pair of two terminal electrical network in which, current enters through one terminal and leaves through another terminal of each port. Two port network representation is shown in the following figure.
Notes: Two Port Analysis | Network Theory (Electric Circuits) - Electrical Engineering (EE)Here, one pair of terminals, 1 & 1’ represents one port, which is called as port1 and the other pair of terminals, 2 & 2’ represents another port, which is called as port2.
There are four variables V1, V2, I1 and I2 in a two port network as shown in the figure. Out of which, we can choose two variables as independent and another two variables as dependent. So, we will get six possible pairs of equations. These equations represent the dependent variables in terms of independent variables. The coefficients of independent variables are called as parameters. So, each pair of equations will give a set of four parameters.

Two Port Network Parameters

The parameters of a two port network are called as two port network parameters or simply, two port parameters. Following are the types of two port network parameters.

Now, let us discuss about these two port network parameters one by one.

Z parameters

We will get the following set of two equations by considering the variables V1 & V2 as dependent and I1 & I2 as independent. The coefficients of independent variables, I1 and I2 are called as Z parameters. 

Notes: Two Port Analysis | Network Theory (Electric Circuits) - Electrical Engineering (EE)

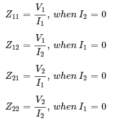
The Z parameters are

Notes: Two Port Analysis | Network Theory (Electric Circuits) - Electrical Engineering (EE)

Z parameters are called as impedance parameters because these are simply the ratios of voltages and currents. Units of Z parameters are Ohm (Ω).
We can calculate two Z parameters, Z11 and Z21, by doing open circuit of port2. Similarly, we can calculate the other two Z parameters, Z12 and Z22 by doing open circuit of port1. Hence, the Z parameters are also called as open-circuit impedance parameters.

Y parameters

We will get the following set of two equations by considering the variables I1 & I2 as dependent and V1 & V2 as independent. The coefficients of independent variables, V1 and V2 are called as Y parameters. 

Notes: Two Port Analysis | Network Theory (Electric Circuits) - Electrical Engineering (EE)

The Y parameters are

Notes: Two Port Analysis | Network Theory (Electric Circuits) - Electrical Engineering (EE)

Y parameters are called as admittance parameters because these are simply, the ratios of currents and voltages. Units of Y parameters are mho.
We can calculate two Y parameters, Y11 and Y21 by doing short circuit of port2. Similarly, we can calculate the other two Y parameters, Y12 and Y22 by doing short circuit of port1. Hence, the Y parameters are also called as short-circuit admittance parameters.

T parameter

We will get the following set of two equations by considering the variables V1 & I1 as dependent and V2 & I2 as independent. The coefficients of V2 and -I2 are called as T parameters.

Notes: Two Port Analysis | Network Theory (Electric Circuits) - Electrical Engineering (EE)

The T parameters are 
Notes: Two Port Analysis | Network Theory (Electric Circuits) - Electrical Engineering (EE)

T parameters are called as transmission parameters or ABCD parameters. The parameters, A and D do not have any units, since those are dimension less. The units of parameters, B and C are ohm and mho respectively.
We can calculate two parameters, A and C by doing open circuit of port2. Similarly, we can calculate the other two parameters, B and D by doing short circuit of port2.

T ’ parameters

We will get the following set of two equations by considering the variables V2 & I2 as dependent and V1 & I1 as independent. The coefficients of V1 and -I1 are called as T’ parameters. 

Notes: Two Port Analysis | Network Theory (Electric Circuits) - Electrical Engineering (EE)

The T’ parameters are 
Notes: Two Port Analysis | Network Theory (Electric Circuits) - Electrical Engineering (EE)

T’ parameters are called as inverse transmission parameters or A’B’C’D’ parameters. The parameters A’ and D’ do not have any units, since those are dimension less. The units of parameters, B’ and C’, are Ohm and Mho respectively.
We can calculate two parameters, A’ and C’, by doing an open circuit of port1. Similarly, we can calculate the other two parameters, B’ and D’, by doing a short circuit of port1.

h-parameters

We will get the following set of two equations by considering the variables V1 & I2 as dependent and I1 & V2 as independent. The coefficients of independent variables, I1 and V2, are called as h-parameters. 

Notes: Two Port Analysis | Network Theory (Electric Circuits) - Electrical Engineering (EE)The h-parameters are
Notes: Two Port Analysis | Network Theory (Electric Circuits) - Electrical Engineering (EE)

h-parameters are called as hybrid parameters. The parameters, h12 and h21, do not have any units, since those are dimension-less. The units of parameters, h11 and h22, are Ohm and Mho respectively. 
We can calculate two parameters, h11 and h21 by doing short circuit of port2. Similarly, we can calculate the other two parameters, h12 and h22 by doing open circuit of port1.
The h-parameters or hybrid parameters are useful in transistor modelling circuits (networks).

g-parameters

We will get the following set of two equations by considering the variables I1 & V2 as dependent and V1 & I2 as independent. The coefficients of independent variables, V1 and I2 are called as g-parameters. 
Notes: Two Port Analysis | Network Theory (Electric Circuits) - Electrical Engineering (EE)The g-parameters are
Notes: Two Port Analysis | Network Theory (Electric Circuits) - Electrical Engineering (EE)g-parameters are called as inverse hybrid parameters. The parameters, g12 and g21 do not have any units, since those are dimension less. The units of parameters, g11 and g22 are mho and ohm respectively. 
We can calculate two parameters, g11 and g21 by doing open circuit of port2. Similarly, we can calculate the other two parameters, g12 and g22 by doing short circuit of port1. 

Sometimes, it is easy to find one set of parameters of a given electrical network easily. In those situations, we can convert these parameters into the required set of parameters instead of calculating these parameters directly with more difficulty.

Procedure of two port parameter conversions

Follow these steps, while converting one set of two port network parameters into the other set of two port network parameters.

  • Step 1 − Write the equations of a two port network in terms of desired parameters.
  • Step 2 − Write the equations of a two port network in terms of given parameters.
  • Step 3 − Re-arrange the equations of Step2 in such a way that they should be similar to the equations of Step1.
  • Step 4 − By equating the similar equations of Step1 and Step3, we will get the desired parameters in terms of given parameters. We can represent these parameters in matrix form.

Z parameters to Y parameters

Here, we have to represent Y parameters in terms of Z parameters. So, in this case Y parameters are the desired parameters and Z parameters are the given parameters.
Step 1 − We know that the following set of two equations, which represents a two port network in terms of Y parameters.
Notes: Two Port Analysis | Network Theory (Electric Circuits) - Electrical Engineering (EE)We can represent the above two equations in matrix form as
Notes: Two Port Analysis | Network Theory (Electric Circuits) - Electrical Engineering (EE)
Step 2 − We know that the following set of two equations, which represents a two port network in terms of Z parameters. 
Notes: Two Port Analysis | Network Theory (Electric Circuits) - Electrical Engineering (EE)
We can represent the above two equations in matrix form as 
Notes: Two Port Analysis | Network Theory (Electric Circuits) - Electrical Engineering (EE)Step 3 − We can modify it as
Notes: Two Port Analysis | Network Theory (Electric Circuits) - Electrical Engineering (EE)Step 4 − By equating Equation 1 and Equation 2, we will get 
Notes: Two Port Analysis | Network Theory (Electric Circuits) - Electrical Engineering (EE)Where, 
Notes: Two Port Analysis | Network Theory (Electric Circuits) - Electrical Engineering (EE)So, just by doing the inverse of Z parameters matrix, we will get Y parameters matrix. 

Z parameters to T parameters

Here, we have to represent T parameters in terms of Z parameters. So, in this case T parameters are the desired parameters and Z parameters are the given parameters.
Step 1 − We know that, the following set of two equations, which represents a two port network in terms of T parameters.
Notes: Two Port Analysis | Network Theory (Electric Circuits) - Electrical Engineering (EE)

Step 2 − We know that the following set of two equations, which represents a two port network in terms of Z parameters.
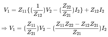
Notes: Two Port Analysis | Network Theory (Electric Circuits) - Electrical Engineering (EE)Step 3 − We can modify the above equation as
Notes: Two Port Analysis | Network Theory (Electric Circuits) - Electrical Engineering (EE)Step 4 − The above equation is in the form of I1=CV2−DI2 . Here,
Notes: Two Port Analysis | Network Theory (Electric Circuits) - Electrical Engineering (EE)Step 5 − Substitute I1 value of Step 3 in V1 equation of Step 2.
Notes: Two Port Analysis | Network Theory (Electric Circuits) - Electrical Engineering (EE)

Step 6 − The above equation is in the form of V1=AV2−BI2 . Here,
Notes: Two Port Analysis | Network Theory (Electric Circuits) - Electrical Engineering (EE)

Step 7 − Therefore, the T parameters matrix is
Notes: Two Port Analysis | Network Theory (Electric Circuits) - Electrical Engineering (EE)

Y parameters to Z parameters

Here, we have to represent Z parameters in terms of Y parameters. So, in this case Z parameters are the desired parameters and Y parameters are the given parameters.

Step 1 − We know that, the following matrix equation of two port network regarding Z parameters as
Notes: Two Port Analysis | Network Theory (Electric Circuits) - Electrical Engineering (EE)Step 2 − We know that, the following matrix equation of two port network regarding Y parameters as 
Notes: Two Port Analysis | Network Theory (Electric Circuits) - Electrical Engineering (EE)Step 3 − We can modify it as
Notes: Two Port Analysis | Network Theory (Electric Circuits) - Electrical Engineering (EE)Step 4 − By equating Equation 3 and Equation 4, we will get 
Notes: Two Port Analysis | Network Theory (Electric Circuits) - Electrical Engineering (EE)Where,
Notes: Two Port Analysis | Network Theory (Electric Circuits) - Electrical Engineering (EE)So, just by doing the inverse of Y parameters matrix, we will get the Z parameters matrix. 

Y parameters to T parameters

Here, we have to represent T parameters in terms of Y parameters. So, in this case, T parameters are the desired parameters and Y parameters are the given parameters.

Step 1 − We know that, the following set of two equations, which represents a two port network in terms of T parameters.
Notes: Two Port Analysis | Network Theory (Electric Circuits) - Electrical Engineering (EE)

Step 2 − We know that the following set of two equations of two port network regarding Y parameters.
Notes: Two Port Analysis | Network Theory (Electric Circuits) - Electrical Engineering (EE)

Step 3 − We can modify the above equation as
Notes: Two Port Analysis | Network Theory (Electric Circuits) - Electrical Engineering (EE)Step 4 − The above equation is in the form of V1=AV2−BI2 . Here,
Notes: Two Port Analysis | Network Theory (Electric Circuits) - Electrical Engineering (EE)Step 5 − Substitute V1 value of Step 3 in I1 equation of Step 2.
Notes: Two Port Analysis | Network Theory (Electric Circuits) - Electrical Engineering (EE)

Step 6 − The above equation is in the form of I1=CV2−DI2 . Here,
Notes: Two Port Analysis | Network Theory (Electric Circuits) - Electrical Engineering (EE)Step 7 − Therefore, the T parameters matrix is
Notes: Two Port Analysis | Network Theory (Electric Circuits) - Electrical Engineering (EE)

T parameters to h-parameters

Here, we have to represent h-parameters in terms of T parameters. So, in this case hparameters are the desired parameters and T parameters are the given parameters.
Step 1 − We know that, the following h-parameters of a two port network.
Notes: Two Port Analysis | Network Theory (Electric Circuits) - Electrical Engineering (EE)Step 2 − We know that the following set of two equations of two port network regarding T parameters.
Notes: Two Port Analysis | Network Theory (Electric Circuits) - Electrical Engineering (EE)Step 3 − Substitute V2=0 in the above equations in order to find the two h-parameters, h11 and h21 .
Notes: Two Port Analysis | Network Theory (Electric Circuits) - Electrical Engineering (EE)Substitute, V1 and I1 values in h-parameter, h11.
Notes: Two Port Analysis | Network Theory (Electric Circuits) - Electrical Engineering (EE)Substitute I1 value in h-parameter h21 .
Notes: Two Port Analysis | Network Theory (Electric Circuits) - Electrical Engineering (EE)

Step 4 − Substitute I1=0 in the second equation of step 2 in order to find the h-parameter h22 .
Notes: Two Port Analysis | Network Theory (Electric Circuits) - Electrical Engineering (EE)Step 5 − Substitute Notes: Two Port Analysis | Network Theory (Electric Circuits) - Electrical Engineering (EE)in the first equation of step 2 in order to find the h-parameter, h12 .
Notes: Two Port Analysis | Network Theory (Electric Circuits) - Electrical Engineering (EE)Step 6 − Therefore, the h-parameters matrix is 
Notes: Two Port Analysis | Network Theory (Electric Circuits) - Electrical Engineering (EE)

h-parameters to Z parameters

Here, we have to represent Z parameters in terms of h-parameters. So, in this case Z parameters are the desired parameters and h-parameters are the given parameters.

Step 1 − We know that, the following set of two equations of two port network regarding Z parameters.
Notes: Two Port Analysis | Network Theory (Electric Circuits) - Electrical Engineering (EE)Step 2 − We know that, the following set of two equations of two-port network regarding h-parameters.
Notes: Two Port Analysis | Network Theory (Electric Circuits) - Electrical Engineering (EE)Step 3 − We can modify the above equation as 
Notes: Two Port Analysis | Network Theory (Electric Circuits) - Electrical Engineering (EE)The above equation is in the form of  Notes: Two Port Analysis | Network Theory (Electric Circuits) - Electrical Engineering (EE)

Step 4 − Substitute V2 value in first equation of step 2.
Notes: Two Port Analysis | Network Theory (Electric Circuits) - Electrical Engineering (EE)

The above equation is in the form of V1=Z11I1+Z12I2 . Here,
Notes: Two Port Analysis | Network Theory (Electric Circuits) - Electrical Engineering (EE)Step 5 − Therefore, the Z parameters matrix is
Notes: Two Port Analysis | Network Theory (Electric Circuits) - Electrical Engineering (EE)

In this way, we can convert one set of parameters into other set of parameters.

Application of Two Port Analysis 

Purpose and Usage:

  • The two-port network model is utilized in mathematical circuit analysis to isolate specific parts of larger circuits.
  • It treats a portion of the circuit as a "black box," defined by a matrix of numbers.

Advantages:

  • Simplifies the calculation of the network's response to signals applied to the ports.
  • Eliminates the need to solve for all internal voltages and currents within the network.
  • Facilitates easy comparison of similar circuits or devices.

Applications:

  • Commonly applied to devices like transistors, which are characterized by parameters (e.g., h-parameters) provided by manufacturers.
  • Can be used for any linear circuit with four terminals, as long as it does not contain an independent source and satisfies the port conditions.

Examples of Analyzed Circuits:

  • Filters
  • Matching networks
  • Transmission lines
  • Transformers
  • Small-signal transistor models (e.g., hybrid-pi model)

Historical Context:

  • The analysis of passive two-port networks is based on reciprocity theorems first derived by Lorentz.

Mathematical Representation:

  • Described by a 2x2 matrix of complex numbers.
  • Various parameter models include z-parameters, y-parameters, h-parameters, g-parameters, and ABCD-parameters.
  • Each model differs based on which variables (voltage or current) are considered independent.

Parameters and Variables:

  • V1: Voltage across port 1
  • I1: Current into port 1
  • V2: Voltage across port 2
  • I2: Current into port 2

Model Differences:

  • Different models are used depending on which variables (voltage or current) are considered the independent variables.

Frequency Considerations:

  • Current and voltage variables are most useful at low-to-moderate frequencies.
  • At high frequencies (e.g., microwave frequencies), power and energy variables are more appropriate.
  • The traditional current-voltage approach is replaced by scattering parameters at high frequencies.
The document Notes: Two Port Analysis | Network Theory (Electric Circuits) - Electrical Engineering (EE) is a part of the Electrical Engineering (EE) Course Network Theory (Electric Circuits).
All you need of Electrical Engineering (EE) at this link: Electrical Engineering (EE)
73 videos|139 docs|62 tests

FAQs on Notes: Two Port Analysis - Network Theory (Electric Circuits) - Electrical Engineering (EE)

1. What are the different types of two-port network parameters?
Ans. The different types of two-port network parameters are Y parameters, T parameters, h-parameters, and g-parameters.
2. How can Z parameters be converted to Y parameters?
Ans. Z parameters can be converted to Y parameters using the formula: Y = Z^(-1).
3. What is the significance of two-port network analysis in electronic circuits?
Ans. Two-port network analysis is important in electronic circuits as it helps in analyzing the behavior of complex circuits and determining the relationship between input and output signals.
4. Can Y parameters be used to analyze the behavior of passive circuits?
Ans. Yes, Y parameters can be used to analyze the behavior of passive circuits as they provide information about the impedance and admittance of the circuit elements.
5. How do T parameters differ from h-parameters in two-port network analysis?
Ans. T parameters represent the transmission parameters of a two-port network, while h-parameters represent the hybrid parameters that describe the relationship between input and output voltages and currents.
Related Searches

shortcuts and tricks

,

Extra Questions

,

ppt

,

past year papers

,

Important questions

,

Objective type Questions

,

Sample Paper

,

practice quizzes

,

Semester Notes

,

Previous Year Questions with Solutions

,

Viva Questions

,

Free

,

mock tests for examination

,

MCQs

,

Notes: Two Port Analysis | Network Theory (Electric Circuits) - Electrical Engineering (EE)

,

Summary

,

Notes: Two Port Analysis | Network Theory (Electric Circuits) - Electrical Engineering (EE)

,

pdf

,

Exam

,

Notes: Two Port Analysis | Network Theory (Electric Circuits) - Electrical Engineering (EE)

,

study material

,

video lectures

;