Chemistry Exam  >  Chemistry Notes  >  Organic Chemistry  >  Organic Reactions With Mechanism and Applications (Part -2)

Organic Reactions With Mechanism and Applications (Part -2) | Organic Chemistry PDF Download

⇒Hofmann rearrangement:
The Hofmann rearrangement is the organic reaction of a primary amide to a primary amine with one fewer carbon atom.
The Hofmann rearrangement. The Hofmann rearrangement. 

Mechanism:
The reaction of bromine with sodium hydroxide forms sodium hypobromite in situ, which transforms the primary amide into an intermediate isocyanate. The formation of an intermediate nitrene is not possible because it implies also the formation of a hydroxamic acid as a byproduct, which has never been observed. The intermediate isocyanate is hydrolyzed to a primary amine, giving off carbon dioxide.
Organic Reactions With Mechanism and Applications (Part -2) | Organic Chemistry

  1. Base abstracts an acidic N-H proton, yielding an anion.
  2. The anion reacts with bromine in an α-substitution reaction to give an N-bromoamide.
  3. Base abstraction of the remaining amide proton gives a bromoamide anion.
  4. The bromoamide anion rearranges as the R group attached to the carbonyl carbon migrates to nitrogen at the same time the bromide ion leaves, giving an isocyanate.
  5. The isocyanate adds water in a nucleophilic addition step to yield a carbamic acid (aka urethane).
  6. The carbamic acid spontaneously loses CO2, yielding the amine product.

Variations:
Several reagents can be substituted for bromine. Sodium hypochlorite, lead tetraacetate, N-bromosuccinimide, (bis(trifluoroacetoxy)iodo)benzene, and 1, 8-diazabicyclo [5.4.0] undec-7-ene (DBU) can effect a Hofmann rearrangement. In the following example, the intermediate isocyanate is trapped by methanol, forming a carbamate.
The Hofmann rearrangement using NBS. The Hofmann rearrangement using NBS. 

In a similar fashion, the intermediate isocyanate can be trapped by tert-butyl alcohol, yielding the tert-butoxycarbonyl (Boc)-protected amine.
The Hofmann Rearrangement also can be used to yield carbamates from α,β-unsaturated or α-hydroxy amides or nitriles from α,β-acetylenic amides in good yields (≈70%).
For amiloride, hypobromous acid was used to effect a Hofmann rearrangement.

Applications

  • Aliphatic & aromatic amides are converted into aliphatic and aromatic amines, respectively
  • In the preparations of anthranilic acid from phthalimide
  • Nicotinic acid is converted into 3-Aminopyridine
  • The symmetrical structure of α-phenyl propanamide does not change after Hofmann reaction.
  • Gabapentin from mono-amidation 1, 1-cyclohexane diacetic acid anhydride with ammonia to 1, 1-cyclohexane diacetic acid mono-amide; followed by ‘Hoffmann’ rearrangement: U.S. Patent 20,080,103,334

Curtius rearrangement:
The Curtius rearrangement (or Curtius reaction or Curtius degradation), first defined by Theodor Curtius in 1885, is the thermal decomposition of an acyl azide to an isocyanate with loss of nitrogen gas. The isocyanate then undergoes attack by a variety of nucleophiles such as water, alcohols and amines, to yield a primary amine, carbamate or urea derivative respectively. Several reviews have been published.
Organic Reactions With Mechanism and Applications (Part -2) | Organic ChemistryPreparation of acyl azide:
The acyl azide is usually made from the reaction of acid chlorides or anydrides with sodium azide or trimethylsilyl azide. Acyl azides are also obtained from treating acylhydrazines with nitrous acid. Alternatively, the acyl azide can be formed by the direct reaction of a carboxylic acid with diphenylphosphoryl azide (DPPA).
Organic Reactions With Mechanism and Applications (Part -2) | Organic Chemistry

Reaction mechanism:
It was believed that the Curtius rearrangement was a two-step processes , with the loss of nitrogen gas forming an acyl nitrene, followed by migration of the R-group to give the isocyanate. However, recent research has indicated that the thermal decomposition is a concerted process, with both steps happening together, due to the absence of any nitrene insertion or addition byproducts observed or isolated in the reaction. Thermodynamic calculations also support a concerted mechanism.
Mechanism of the Curtius rearrangement Mechanism of the Curtius rearrangement The migration occurs with full retention of configuration at the R-group. The migratory aptitude of the R-group is roughly tertiary > secondary ~ aryl > primary. The isocyanate formed can then be hydrolyzed to give a primary amine, or undergo nucleophilic attack with alcohols and amines to form carbamates and urea derivatives respectively.

Synthetic applications:
The Curtius rearrangement is tolerant of a large variety of functional groups, and has significant synthetic utility, as many different groups can be incorporated depending on the choice of nucleophile used to attack the isocyanate.
For example, when carried out in the presence of tert-butanol, the reaction generates Boc-protected amines, useful intermediates in organic synthesis. Likewise, when the Curtius reaction is performed in the presence of benzyl alcohol, Cbz-protected amines are formed.
The Curtius rearrangement is used in the syntheses of the drugs tranylcypromine, candesartan, bromadol, terguride, benzydamine, gabapentin, igmesine and tecadenoson.

Triquinacene
R. B. Woodward et al. used the Curtius rearrangement as one of the steps in the total synthesis of the polyquinane triquinacene in 1964. Following hydrolysis of the ester in the intermediate (1), a Curtius rearrangement was effected to convert the carboxylic acid groups in (2) to the methyl carbamate groups (3) with 84% yield. Further steps then gave triquinacene (4).

Organic Reactions With Mechanism and Applications (Part -2) | Organic Chemistry

Oseltamivir
In their synthesis of the antiviral drug oseltamivir, also known as Tamiflu, Ishikawa et al. used the Curtius rearrangement in one of the key steps in converting the acyl azide to the amide group in the target molecule. In this case, the isocyanate formed by the rearrangement is attacked by a carboxylic acid to form the amide. Subsequent reactions could all be carried out in the same reaction vessel to give the final product with 57% overall yield. An important benefit of the Curtius reaction highlighted by the authors was that it could be carried out at room temperature, minimizing the hazard from heating. The scheme overall was highly efficient, requiring only three “one-pot” operations to produce this important and valuable drug used for the treatment of avian influenza.
Organic Reactions With Mechanism and Applications (Part -2) | Organic Chemistry

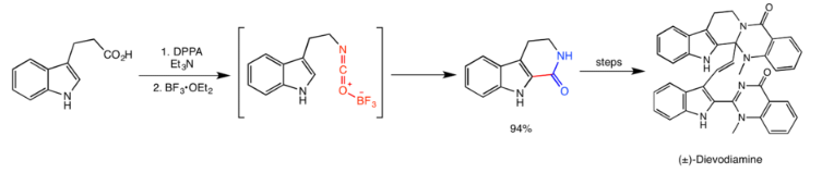
Dievodiamine
Dievodiamine is a natural product from the plant Evodia rutaecarpa, which is widely used in traditional Chinese medicine. Unsworth et al.’s protecting group-free total synthesis of dievodiamine utilizes the Curtius rearrangement in the first step of the synthesis, catalyzed by boron trifluoride. The activated isocyanate then quickly reacts with the indole ring in an electrophilic aromatic substitution reaction to give the amide in 94% yield, and subsequent steps give dievodamine.
Organic Reactions With Mechanism and Applications (Part -2) | Organic Chemistry

⇒ Lossen rearrangement:
The Lossen rearrangement is the conversion of a hydroxamic acid (1) to an isocyanate (3) via the formation of an O-acyl, sulfonyl, or phosphoryl intermediate hydroxamic acid O-derivative (2) and then conversion to its conjugate base. Here, 4-toluenesulfonyl chloride is used to form a sulfonyl O-derivative of hydroxamic acid.
Organic Reactions With Mechanism and Applications (Part -2) | Organic ChemistryThe isocyanate can be used further to generate ureas in the presence of amines (4) or generate amines in the presence of H2O (5).
Organic Reactions With Mechanism and Applications (Part -2) | Organic Chemistry

Reaction mechanism:
The mechanism below begins with an O-acylated hydroxamic acid derivative that is treated with base to form an isocyanate that generates an amine and CO2 gas in the presence of H2O. The hydroxamic acid derivative is first converted to its conjugate base by abstraction of a hydrogen by a base. Spontaneous rearrangement kicks off a carboxylate anion to produce the isocyanate intermediate. The isocyanate in the presence H2O hydrolyzes and then decarboxylation via abstraction of a hydrogen by a base generates an amine and CO2 gas.
Organic Reactions With Mechanism and Applications (Part -2) | Organic ChemistryHydroxamic acids are commonly synthesized from their corresponding esters.

⇒ Simmons–Smith reaction:

The Simmons–Smith reaction is an organic cheletropic reaction involving an organozinc carbenoid that reacts with an alkene (or alkyne) to form a cyclopropane. It is named after Howard Ensign Simmons, Jr. and Ronald D. Smith. It uses a methylene free radical intermediate that is delivered to both carbons of the alkene simultaneously, therefore the configuration of the double bond is preserved in the product and the reaction is stereospecific.
Organic Reactions With Mechanism and Applications (Part -2) | Organic ChemistryThus, cyclohexene, diiodomethane, and a zinc-copper couple (as iodomethylzinc iodide, ICH2ZnI) yield norcarane (bicyclo[4.1.0]heptane).
Organic Reactions With Mechanism and Applications (Part -2) | Organic Chemistry

The Simmons–Smith reaction is generally preferred over other methods of cyclopropanation, however it can be expensive due to the high cost of diiodomethane. Modifications involving cheaper alternatives have been developed, such as dibromomethane or diazomethane and zinc iodide. The reactivity of the system can also be increased by using the Furukawa modification, exchanging the zinc‑copper couple for diethylzinc.
The Simmons–Smith reaction is generally subject to steric effects, and thus cyclopropanation usually takes place on the less hindered face. However, when a hydroxy substituent is present in the substrate in proximity to the double bond, the zinc coordinates with the hydroxy substituent, directing cyclopropanation cis to the hydroxyl group (which may not correspond to cyclopropanation of the sterically most accessible face of the double bond): An interactive 3D model of this reaction can be seen at ChemTube3D
Organic Reactions With Mechanism and Applications (Part -2) | Organic Chemistry

Asymmetric Simmons–Smith reaction:
Although asymmetric cyclopropanation methods based on diazo compounds (see bisoxazoline ligand) exist since 1966, the asymmetric Simmons–Smith reaction was introduced in 1992 with a reaction of cinnamyl alcohol with diethylzinc, diiodomethane and a chiral disulfonamide in dichloromethane:
Organic Reactions With Mechanism and Applications (Part -2) | Organic ChemistryThe hydroxyl group is a prerequisite serving as an anchor for zinc. An interactive 3D model of a similar reaction.  In another version of this reaction the ligand is based on salen and Lewis acid DIBAL is added:
Organic Reactions With Mechanism and Applications (Part -2) | Organic Chemistry

Scope and Limitations:
Achiral Alkenes

The Simmons–Smith reaction can be used to cyclopropanate simple alkenes without complications. Unfunctionalized achiral alkenes are best cyclopropanated with the Furukawa modification (see below), using Et2Zn and CH2I2 in 1, 2-dichloroethane. Cyclopropanation of alkenes activated by electron donating groups proceed rapidly and easily. For example, enol ethers like trimethylsilyloxy-substituted olefins are often used because of the high yields obtained.
Organic Reactions With Mechanism and Applications (Part -2) | Organic ChemistryDespite the electron-withdrawing nature of halides, many vinyl halides are also easily cyclopropanated, yielding fluoro-, bromo-, and iodo-substituted cyclopropanes.
Organic Reactions With Mechanism and Applications (Part -2) | Organic ChemistryThe cyclopropanation of N-substituted alkenes is made complicated by N-alkylation as a competing pathway. This can be circumvented by adding a protecting group to nitrogen, however the addition of electron-withdrawing groups decreases the nucleophilicity of the alkene, lowering yield. The use of highly electrophilic reagents such as CHFI2, in place of CH2I2, has been shown to increase yield in these cases.
Organic Reactions With Mechanism and Applications (Part -2) | Organic Chemistry

Polyenes
Without the presence of a directing group on the olefin, very little chemoselectivity is observed. However, an alkene which is significantly more nucleophilic than any others will be highly favored. For example, cyclopropanation occurs highly selectively at enol ethers.
Organic Reactions With Mechanism and Applications (Part -2) | Organic Chemistry

Functional Group Compatibility
An important aspect of the Simmons–Smith reaction that contributes to its wide usage is its ability to be used in the presence of many functional groups. Among others, the haloalkylzinc-mediated reaction is compatible with alkynes, alcohols, ethers, aldehydes, ketones, carboxylic acids and derivatives, carbonates, sulfones, sulfonates, silanes, and stannanes. However, some side reactions are commonly observed.
Most side reactions occur due to the Lewis-acidity of the byproduct, ZnI2. In reactions that produce acid-sensitive products, excess Et2Zn can be added to scavenge the ZnI2 that is formed, forming the less acidic EtZnI. The reaction can also be quenched with pyridine, which will scavenge ZnI2 and excess reagents.
Methylation of heteroatoms is also observed in the Simmons–Smith reaction due to the electrophilicity of the zinc carbenoids. For example, the use of excess reagent for long reaction times almost always leads to the methylation of alcohols. Furthermore, Et2Zn and CH2I2 react with allylic thioethers to generate sulfur ylides, which can subsequently undergo a 2, 3-sigmatropic rearrangement, and will not cyclopropanate an alkene in the same molecule unless excess Simmons–Smith reagent is used.
Organic Reactions With Mechanism and Applications (Part -2) | Organic Chemistry

Uses in synthesis:
Most modern applications of the Simmons–Smith reaction use the Furukawa modification. Especially relevant and reliable applications are listed below.

Insertion to form γ-keto esters
A Furukawa-modified Simmons-Smith generated cyclopropane intermediate is formed in the synthesis of γ-keto esters from β-keto esters. The Simmons-Smith reagent binds first to the carbonyl group and subsequently to the α-carbon of the pseudo-enol that the first reaction forms. This second reagent forms the cyclopropyl intermediate which rapidly fragments into the product.
Organic Reactions With Mechanism and Applications (Part -2) | Organic Chemistry

Formation of amido-spiro [2.2] pentanes from allenamides
A Furukawa-modified Simmons–Smith reaction cyclopropanates both double bonds in an allenamide to form amido-spiro [2.2] pentanes, featuring two cyclopropyl rings which share one carbon. The product of monocyclopropanation is also formed.
Organic Reactions With Mechanism and Applications (Part -2) | Organic Chemistry

Natural Products Synthesis
Cyclopropanation reactions in natural products synthesis have been reviewed. The β-lactamase inhibitor Cilastatin provides an instructive example of Simmons-Smith reactivity in natural products synthesis. An allyl substituent on the starting material is Simmons-Smith cyclopropanated, and the carboxylic acid is subsequently deprotected via ozonolysis to form the precursor.
Organic Reactions With Mechanism and Applications (Part -2) | Organic Chemistry

The document Organic Reactions With Mechanism and Applications (Part -2) | Organic Chemistry is a part of the Chemistry Course Organic Chemistry.
All you need of Chemistry at this link: Chemistry
44 videos|102 docs|52 tests

FAQs on Organic Reactions With Mechanism and Applications (Part -2) - Organic Chemistry

1. What is the mechanism of an organic reaction?
Ans. The mechanism of an organic reaction refers to the step-by-step sequence of elementary reactions that occur during the transformation of reactants into products. It involves the breaking and formation of chemical bonds and the movement of electrons. Understanding the mechanism allows chemists to predict and control the outcome of a reaction.
2. What are some common organic reactions with their applications?
Ans. There are numerous organic reactions with various applications. Some examples include: - Substitution reactions: These reactions involve the replacement of one functional group with another. They are commonly used in the synthesis of pharmaceuticals and agrochemicals. - Addition reactions: These reactions involve the addition of one or more reactants to a molecule, resulting in the formation of a new functional group. They are frequently used in the production of polymers, such as polyethylene. - Elimination reactions: These reactions involve the removal of atoms or groups from a molecule, resulting in the formation of a double or triple bond. They are important in the synthesis of unsaturated compounds like alkenes and alkynes. - Oxidation-reduction reactions: These reactions involve the transfer of electrons between reactants. They are utilized in various industries, such as the production of organic solvents and the synthesis of fine chemicals. - Rearrangement reactions: These reactions involve the rearrangement of atoms within a molecule, leading to the formation of a different structural isomer. They are often employed in the synthesis of complex natural products.
3. How can the mechanism of an organic reaction be determined?
Ans. Determining the mechanism of an organic reaction can be challenging but can be achieved through various experimental techniques. Some common methods include: - Kinetic studies: By measuring the reaction rate under different conditions (e.g., temperature, concentration), valuable information about the reaction mechanism can be obtained. The rate equation can provide insights into the order of reaction and the involvement of intermediates. - Isotope labeling: By incorporating isotopes into the reactants or monitoring the fate of isotopes during the reaction, the path of atoms and the formation of intermediates can be traced. This technique helps in elucidating reaction mechanisms. - Spectroscopic methods: Techniques like nuclear magnetic resonance (NMR) spectroscopy and infrared (IR) spectroscopy can provide information about the structure and composition of intermediates and transition states, aiding in the determination of reaction mechanisms. - Computational methods: Theoretical calculations and computer simulations can predict reaction pathways and identify transition states and intermediates. These methods complement experimental observations and provide a deeper understanding of reaction mechanisms.
4. What are the applications of understanding organic reaction mechanisms?
Ans. Understanding organic reaction mechanisms has several important applications: - Drug discovery and development: Knowledge of reaction mechanisms helps in designing and optimizing the synthesis of pharmaceutical compounds. It enables medicinal chemists to modify specific functional groups or introduce desired structural changes to improve drug efficacy, reduce side effects, and enhance pharmacokinetic properties. - Catalyst design: Understanding reaction mechanisms aids in the development of efficient catalysts for various chemical processes. By identifying the rate-determining steps and key intermediates, catalysts can be tailored to accelerate specific reactions, increase selectivity, and minimize waste. - Materials science: Organic reactions play a crucial role in the synthesis of polymers, coatings, adhesives, and other materials. Understanding reaction mechanisms allows for the design of materials with desired properties, such as improved strength, flexibility, or heat resistance. - Environmental applications: Knowledge of organic reaction mechanisms helps in understanding the fate and transformation of pollutants in the environment. This information aids in developing strategies for pollution control, waste treatment, and environmental remediation. - Natural product synthesis: Elucidating reaction mechanisms is essential for synthesizing complex natural products, such as alkaloids, terpenes, and peptides. Understanding the key steps and intermediates involved in their biosynthesis allows chemists to develop efficient synthetic routes and produce these compounds for pharmaceutical or agricultural purposes.
5. What are the challenges in studying organic reaction mechanisms?
Ans. Studying organic reaction mechanisms presents several challenges: - Transient intermediates: Many reaction intermediates are highly reactive and short-lived, making their direct observation difficult. Their characterization often requires advanced spectroscopic techniques and trapping methods. - Complexity: Organic reactions can involve multiple steps and intermediates, making it challenging to identify the exact sequence of events. The presence of side reactions and competing pathways further complicates the determination of the true mechanism. - Solvent and temperature effects: Reaction mechanisms can be influenced by the choice of solvent and reaction conditions. Understanding the solvent's role and the effect of temperature on reaction rates often requires extensive experimental investigations. - Computational limitations: While computational methods provide valuable insights into reaction mechanisms, accurately simulating complex organic reactions can be computationally demanding. The size and complexity of the molecules involved can pose challenges in achieving accurate results. - Lack of direct evidence: In some cases, it may be challenging to obtain direct experimental evidence for proposed reaction mechanisms. Chemists often rely on indirect evidence, such as kinetic data, spectroscopic observations, and computational modeling, to support their proposed mechanisms.
Related Searches

Summary

,

Organic Reactions With Mechanism and Applications (Part -2) | Organic Chemistry

,

Organic Reactions With Mechanism and Applications (Part -2) | Organic Chemistry

,

practice quizzes

,

past year papers

,

pdf

,

Semester Notes

,

Viva Questions

,

Previous Year Questions with Solutions

,

Exam

,

Free

,

Organic Reactions With Mechanism and Applications (Part -2) | Organic Chemistry

,

Objective type Questions

,

Sample Paper

,

shortcuts and tricks

,

MCQs

,

ppt

,

study material

,

video lectures

,

Extra Questions

,

Important questions

,

mock tests for examination

;