Civil Engineering (CE) Exam  >  Civil Engineering (CE) Notes  >  Orthotropic Hooke’s Law

Orthotropic Hooke’s Law - Civil Engineering (CE) PDF Download

Orthotropic Hooke’s law
From the above exposition it would have been clear that isotropic Hooke’s law is an approximation to a more general theory. We could proceed in a similar fashion to obtain orthotropic Hooke’s law. On the other hand, as is done in many textbooks on linearized elasticity, we can begin by stating that the Cauchy stress is linearly related to the linearized strain, impose the restriction due to material symmetry on this constitutive relation and obtain isotropic or orthotropic Hooke’s law. However, there are some differences in the orthotropic Hooke’s law obtained by these two approaches. Without develing into these differences, in this section we obtain the orthotropic Hooke’s law by the second approach.
Since, we assume that the second order tensor stress is linearly related to another second order tensor, the strain, we say that the stress is obtained by the action of a fourth order tensor on strain,

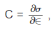
σ = C : ,                                   (6.120)

where C is the fourth order elasticity tensor. Equivalently, one may invert the equation (6.120) to write strain in terms of stress as,

∈ = D : σ,                                   (6.121)

where D is the fourth order elastic compliance tensor.

Recalling from chapter 2 (section 2.4) the fourth order tensor has 81 components. As discussed in section 2.4.1, for the following discussion it is easy to view second order tensors as column vectors with 9 components and fourth order tensors as 9 by 9 matrix. By virtue of the stress and strain being symmetric tensors, with only six independent components equation (6.120)
can be written as,

Orthotropic Hooke’s Law - Civil Engineering (CE)

Thus, of the 81 components only 36 are independent.
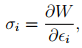
As stated before, since elastic process is non-dissipative, the stress is derivable from a potential called the stored (or strain) energy, W as,
 

Orthotropic Hooke’s Law - Civil Engineering (CE)                             (6.123)

where W =Ŵ (). The above equation in index notation is given by

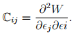
Orthotropic Hooke’s Law - Civil Engineering (CE)                                 (6.124)

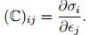
when the stress and strain tensors are represented as column vectors with six components. Now, σ1 = σxx, σ2 = σyy, σ= σzz, σ4 = σxy, σ5 = σxz, σ6 = σyz and ∈1 = ∈xx, ∈2 = ∈yy, ∈= ∈zz, 4 = ∈xy,5 = ∈xz, ∈6 = ∈yz. This is just a change in notation. It follows from (6.120) that the elasticity tensor could be obtained from

Orthotropic Hooke’s Law - Civil Engineering (CE)  in index notation  Orthotropic Hooke’s Law - Civil Engineering (CE)                   (6.125)

Substituting (6.124) in the above equation,

Orthotropic Hooke’s Law - Civil Engineering (CE)                         (6.126)

Thus, if W is a smooth function of strain, which it is, then the order of differentiation would not matter. Hence, elasticity tensor would be a symmetric fourth order tensor. This means that the number of independent components in C reduces from 36 to 21 components.

Further reduction in the number of independent components of the elasticity tensor cannot be done by restriction due to non-uniqueness of placers argument. Given that, due to equivalent placement of the body the displacement gradient transforms as given in equation (6.19) and Cauchy stress transforms as given in equation (6.25), it is evident that the restriction due to non-uniqueness of placers is not met by the constitutive relation (6.120). Then, due to changes in the coordinate basis, the elasticity tensor should transforms as
Orthotropic Hooke’s Law - Civil Engineering (CE)             (6.127)

according to the transformation law for fourth order tensor (see section 2.6). Ideally we should require that the components of the elasticity tensor be the same irrespective of the choice of the basis. In other words, this means, as discussed in section 2.6.3, that the elasticity tensor should be the isotropic fourth order tensor. Since, the elasticity fourth order tensor is symmetric, in the general representation for the isotropic fourth order tensor (2.165), γ = β = � and thus,
Orthotropic Hooke’s Law - Civil Engineering (CE)                          (6.128)

where we have replaced the constant α with λ. This λ and � are the same Lam`e constants. Writing (6.128) in matrix form,

Orthotropic Hooke’s Law - Civil Engineering (CE)                      (6.129)

Thus, we have obtained the isotropic form of the Hooke’s law.

Contrary to this ideal requirement, it is required that the components of the elasticity tensor be the same only for certain equivalent choices of the basis vectors. A material with three mutually perpendicular planes of symmetry is called orthotropic. This means that 180 degree rotation about each of the coordinate basis should not change the components of the elasticity tensor. Thus, for an orthotropic material the components of Orthotropic Hooke’s Law - Civil Engineering (CE) must be same as that of C in (6.127) for the following choices of

Orthotropic Hooke’s Law - Civil Engineering (CE)

It can be seen that as a result of this condition, the number of independent components in the elasticity tensor reduces from 21 to 9 for an orthotropic material and hence C for an orthotropic material is given by:

Orthotropic Hooke’s Law - Civil Engineering (CE)                        (6.131)

where C1, C2, . . ., C9 are material parameters. Similarly, for other equivalent choices of the basis vector, we obtain different forms for the elasticity tensor.

One can now define material parameters like Young’s modulus, Poisson’s ratio, shear modulus and elaborate on the experiments that needs to be done to estimate the 9 constants characterizing the orthotropic material. Then, one can look at restrictions on them. Instead of doing these, we now focus on solving boundary value problems involving isotropic materials that obey Hooke’s law.

The document Orthotropic Hooke’s Law - Civil Engineering (CE) is a part of Civil Engineering (CE) category.
All you need of Civil Engineering (CE) at this link: Civil Engineering (CE)

FAQs on Orthotropic Hooke’s Law - Civil Engineering (CE)

1. What is Hooke's Law?
Ans. Hooke's Law states that the stress on an elastic material is directly proportional to the strain produced in the material, as long as the material remains within its elastic limit.
2. What does orthotropic mean in the context of Hooke's Law?
Ans. In the context of Hooke's Law, orthotropic refers to a material that has different mechanical properties in different directions. It means that the material exhibits different stiffness or elasticity along different axes.
3. How is orthotropic Hooke's Law different from isotropic Hooke's Law?
Ans. Orthotropic Hooke's Law is different from isotropic Hooke's Law because isotropic materials have the same mechanical properties in all directions, while orthotropic materials have different mechanical properties in different directions.
4. What are some examples of orthotropic materials?
Ans. Some examples of orthotropic materials include wood, composites, and certain types of crystals. These materials have different mechanical properties depending on the direction in which they are stressed.
5. What are the applications of orthotropic Hooke's Law?
Ans. Orthotropic Hooke's Law is widely used in various engineering fields, such as aerospace, civil, and mechanical engineering. It is used to analyze and design structures made of orthotropic materials, such as aircraft wings, wind turbine blades, and bridges.
Download as PDF

Top Courses for Civil Engineering (CE)

Related Searches

practice quizzes

,

video lectures

,

shortcuts and tricks

,

Exam

,

past year papers

,

Sample Paper

,

study material

,

Semester Notes

,

pdf

,

Free

,

Summary

,

mock tests for examination

,

Objective type Questions

,

Orthotropic Hooke’s Law - Civil Engineering (CE)

,

Extra Questions

,

Previous Year Questions with Solutions

,

Viva Questions

,

Important questions

,

ppt

,

MCQs

,

Orthotropic Hooke’s Law - Civil Engineering (CE)

,

Orthotropic Hooke’s Law - Civil Engineering (CE)

;